成功的抗精神病药剂量逐渐减少导致精神病缓解患者更好的认知:引导抗精神病药减少到最低有效剂量(GARMED)试验的结果。

IF 5.5 2区 医学 Q1 PSYCHIATRY
Chun-I Liu, Chih-Min Liu, Ming H Hsieh, Yi-Ting Lin, Yi-Ling Chien, Tzung-Jeng Hwang, Ko Yen, Chen-Chung Liu
{"title":"成功的抗精神病药剂量逐渐减少导致精神病缓解患者更好的认知:引导抗精神病药减少到最低有效剂量(GARMED)试验的结果。","authors":"Chun-I Liu, Chih-Min Liu, Ming H Hsieh, Yi-Ting Lin, Yi-Ling Chien, Tzung-Jeng Hwang, Ko Yen, Chen-Chung Liu","doi":"10.1017/S0033291725101591","DOIUrl":null,"url":null,"abstract":"<p><strong>Background: </strong>In patients with remitted psychosis, the dosage of antipsychotics can be lowered without increased risk of relapse. Whether dose tapering can lead to improved cognition is unclear. We compared changes in cognitive performance between patients undergoing dose tapering and those receiving a fixed maintenance dose.</p><p><strong>Methods: </strong>A 2-year prospective trial of patients with stable schizophrenia-related psychotic disorders was conducted: one group received guided dose reduction (GDR) and one group received maintenance treatment. Cognitive function was assessed using the Wechsler Adult Intelligence Scale-Third Edition, Mandarin Chinese version, at baseline, 1, and 2 years. The relations between the ratio of reduced dose and the extent of cognitive improvement were examined by Spearman's correlation coefficient. We also examined cognitive performance between aripiprazole (ARI) users and non-ARI users.</p><p><strong>Results: </strong>GDR patients exhibited significantly greater improvements in total intellectual quotient (IQ), particularly working memory, and information and arithmetic subtest scores, with no significant difference in relapse rates between groups. Statistically significant dose-response correlations were found between the degree of dose reduction and improvements in total IQ (<i>n</i> = 72, <i>r</i> = 0.242, <i>p</i> = 0.041), Working Memory Index (<i>n</i> = 72, <i>r</i> = 0.284, <i>p</i> = 0.016), and Arithmetic subtest (<i>n</i> = 72, <i>r</i> = 0.295, <i>p</i> = 0.012). There were no differences in cognitive changes between ARI users and non-users.</p><p><strong>Conclusions: </strong>Lowering antipsychotic dosage may ameliorate patient performance in several cognitive domains. This finding is worthy of consideration while evaluating the risk-to-benefit ratio of tapering antipsychotics in patients with remitted psychosis.</p>","PeriodicalId":20891,"journal":{"name":"Psychological Medicine","volume":"55 ","pages":"e247"},"PeriodicalIF":5.5000,"publicationDate":"2025-08-27","publicationTypes":"Journal Article","fieldsOfStudy":null,"isOpenAccess":false,"openAccessPdf":"https://www.ncbi.nlm.nih.gov/pmc/articles/PMC12404327/pdf/","citationCount":"0","resultStr":"{\"title\":\"Successful antipsychotic dose tapering leading to better cognition in patients with remitted psychosis: Results of Guided Antipsychotic Reduction to Reach Minimum Effective Dose (GARMED) trial.\",\"authors\":\"Chun-I Liu, Chih-Min Liu, Ming H Hsieh, Yi-Ting Lin, Yi-Ling Chien, Tzung-Jeng Hwang, Ko Yen, Chen-Chung Liu\",\"doi\":\"10.1017/S0033291725101591\",\"DOIUrl\":null,\"url\":null,\"abstract\":\"<p><strong>Background: </strong>In patients with remitted psychosis, the dosage of antipsychotics can be lowered without increased risk of relapse. Whether dose tapering can lead to improved cognition is unclear. We compared changes in cognitive performance between patients undergoing dose tapering and those receiving a fixed maintenance dose.</p><p><strong>Methods: </strong>A 2-year prospective trial of patients with stable schizophrenia-related psychotic disorders was conducted: one group received guided dose reduction (GDR) and one group received maintenance treatment. Cognitive function was assessed using the Wechsler Adult Intelligence Scale-Third Edition, Mandarin Chinese version, at baseline, 1, and 2 years. The relations between the ratio of reduced dose and the extent of cognitive improvement were examined by Spearman's correlation coefficient. We also examined cognitive performance between aripiprazole (ARI) users and non-ARI users.</p><p><strong>Results: </strong>GDR patients exhibited significantly greater improvements in total intellectual quotient (IQ), particularly working memory, and information and arithmetic subtest scores, with no significant difference in relapse rates between groups. Statistically significant dose-response correlations were found between the degree of dose reduction and improvements in total IQ (<i>n</i> = 72, <i>r</i> = 0.242, <i>p</i> = 0.041), Working Memory Index (<i>n</i> = 72, <i>r</i> = 0.284, <i>p</i> = 0.016), and Arithmetic subtest (<i>n</i> = 72, <i>r</i> = 0.295, <i>p</i> = 0.012). There were no differences in cognitive changes between ARI users and non-users.</p><p><strong>Conclusions: </strong>Lowering antipsychotic dosage may ameliorate patient performance in several cognitive domains. This finding is worthy of consideration while evaluating the risk-to-benefit ratio of tapering antipsychotics in patients with remitted psychosis.</p>\",\"PeriodicalId\":20891,\"journal\":{\"name\":\"Psychological Medicine\",\"volume\":\"55 \",\"pages\":\"e247\"},\"PeriodicalIF\":5.5000,\"publicationDate\":\"2025-08-27\",\"publicationTypes\":\"Journal Article\",\"fieldsOfStudy\":null,\"isOpenAccess\":false,\"openAccessPdf\":\"https://www.ncbi.nlm.nih.gov/pmc/articles/PMC12404327/pdf/\",\"citationCount\":\"0\",\"resultStr\":null,\"platform\":\"Semanticscholar\",\"paperid\":null,\"PeriodicalName\":\"Psychological Medicine\",\"FirstCategoryId\":\"3\",\"ListUrlMain\":\"https://doi.org/10.1017/S0033291725101591\",\"RegionNum\":2,\"RegionCategory\":\"医学\",\"ArticlePicture\":[],\"TitleCN\":null,\"AbstractTextCN\":null,\"PMCID\":null,\"EPubDate\":\"\",\"PubModel\":\"\",\"JCR\":\"Q1\",\"JCRName\":\"PSYCHIATRY\",\"Score\":null,\"Total\":0}","platform":"Semanticscholar","paperid":null,"PeriodicalName":"Psychological Medicine","FirstCategoryId":"3","ListUrlMain":"https://doi.org/10.1017/S0033291725101591","RegionNum":2,"RegionCategory":"医学","ArticlePicture":[],"TitleCN":null,"AbstractTextCN":null,"PMCID":null,"EPubDate":"","PubModel":"","JCR":"Q1","JCRName":"PSYCHIATRY","Score":null,"Total":0}
引用次数: 0

摘要

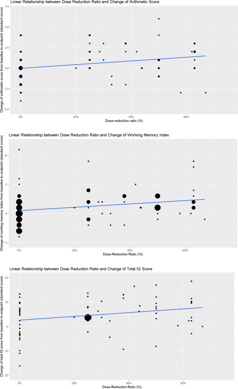
背景:在精神病缓解的患者中,可以降低抗精神病药物的剂量而不增加复发的风险。剂量逐渐减少是否能改善认知能力尚不清楚。我们比较了接受剂量递减和接受固定维持剂量的患者在认知能力方面的变化。方法:对稳定型精神分裂症相关精神障碍患者进行为期2年的前瞻性试验,一组患者接受引导剂量减少(GDR)治疗,一组患者接受维持治疗。在基线、1岁和2岁时,使用韦氏成人智力量表第三版(普通话中文版)评估认知功能。用Spearman相关系数检验减少剂量比例与认知改善程度的关系。我们还检查了阿立哌唑(ARI)使用者和非ARI使用者之间的认知表现。结果:GDR患者在总智商(IQ),特别是工作记忆、信息和算术亚测试得分方面表现出明显更大的改善,两组复发率无显著差异。剂量减少程度与总智商(n = 72, r = 0.242, p = 0.041)、工作记忆指数(n = 72, r = 0.284, p = 0.016)和算术子测试(n = 72, r = 0.295, p = 0.012)的改善有统计学意义的剂量-反应相关性。ARI使用者和非使用者之间的认知变化没有差异。结论:降低抗精神病药物剂量可以改善患者在几个认知领域的表现。这一发现在评估精神病缓解患者减量抗精神病药物的风险-收益比时值得考虑。
本文章由计算机程序翻译,如有差异,请以英文原文为准。

Successful antipsychotic dose tapering leading to better cognition in patients with remitted psychosis: Results of Guided Antipsychotic Reduction to Reach Minimum Effective Dose (GARMED) trial.

Successful antipsychotic dose tapering leading to better cognition in patients with remitted psychosis: Results of Guided Antipsychotic Reduction to Reach Minimum Effective Dose (GARMED) trial.

Successful antipsychotic dose tapering leading to better cognition in patients with remitted psychosis: Results of Guided Antipsychotic Reduction to Reach Minimum Effective Dose (GARMED) trial.

Successful antipsychotic dose tapering leading to better cognition in patients with remitted psychosis: Results of Guided Antipsychotic Reduction to Reach Minimum Effective Dose (GARMED) trial.

Background: In patients with remitted psychosis, the dosage of antipsychotics can be lowered without increased risk of relapse. Whether dose tapering can lead to improved cognition is unclear. We compared changes in cognitive performance between patients undergoing dose tapering and those receiving a fixed maintenance dose.

Methods: A 2-year prospective trial of patients with stable schizophrenia-related psychotic disorders was conducted: one group received guided dose reduction (GDR) and one group received maintenance treatment. Cognitive function was assessed using the Wechsler Adult Intelligence Scale-Third Edition, Mandarin Chinese version, at baseline, 1, and 2 years. The relations between the ratio of reduced dose and the extent of cognitive improvement were examined by Spearman's correlation coefficient. We also examined cognitive performance between aripiprazole (ARI) users and non-ARI users.

Results: GDR patients exhibited significantly greater improvements in total intellectual quotient (IQ), particularly working memory, and information and arithmetic subtest scores, with no significant difference in relapse rates between groups. Statistically significant dose-response correlations were found between the degree of dose reduction and improvements in total IQ (n = 72, r = 0.242, p = 0.041), Working Memory Index (n = 72, r = 0.284, p = 0.016), and Arithmetic subtest (n = 72, r = 0.295, p = 0.012). There were no differences in cognitive changes between ARI users and non-users.

Conclusions: Lowering antipsychotic dosage may ameliorate patient performance in several cognitive domains. This finding is worthy of consideration while evaluating the risk-to-benefit ratio of tapering antipsychotics in patients with remitted psychosis.

求助全文
通过发布文献求助,成功后即可免费获取论文全文。 去求助
来源期刊
Psychological Medicine
Psychological Medicine 医学-精神病学
CiteScore
11.30
自引率
4.30%
发文量
711
审稿时长
3-6 weeks
期刊介绍: Now in its fifth decade of publication, Psychological Medicine is a leading international journal in the fields of psychiatry, related aspects of psychology and basic sciences. From 2014, there are 16 issues a year, each featuring original articles reporting key research being undertaken worldwide, together with shorter editorials by distinguished scholars and an important book review section. The journal''s success is clearly demonstrated by a consistently high impact factor.
×
引用
GB/T 7714-2015
复制
MLA
复制
APA
复制
导出至
BibTeX EndNote RefMan NoteFirst NoteExpress
×
提示
您的信息不完整,为了账户安全,请先补充。
现在去补充
×
提示
您因"违规操作"
具体请查看互助需知
我知道了
×
提示
确定
请完成安全验证×
copy
已复制链接
快去分享给好友吧!
我知道了
右上角分享
点击右上角分享
0
联系我们:info@booksci.cn Book学术提供免费学术资源搜索服务,方便国内外学者检索中英文文献。致力于提供最便捷和优质的服务体验。 Copyright © 2023 布克学术 All rights reserved.
京ICP备2023020795号-1
ghs 京公网安备 11010802042870号
Book学术文献互助
Book学术文献互助群
群 号:604180095
Book学术官方微信