瑞典切尔诺贝利核电站事故后癌症发病率的剂量反应与原子弹幸存者寿命研究的比较。

IF 0.7 4区 环境科学与生态学 Q4 ENVIRONMENTAL SCIENCES
Martin Tondel, Tobias Nordquist, Mats Isaksson, Christopher Rääf, Robert Wålinder
{"title":"瑞典切尔诺贝利核电站事故后癌症发病率的剂量反应与原子弹幸存者寿命研究的比较。","authors":"Martin Tondel, Tobias Nordquist, Mats Isaksson, Christopher Rääf, Robert Wålinder","doi":"10.1093/rpd/ncaf097","DOIUrl":null,"url":null,"abstract":"<p><p>Follow-up of the atomic bomb survivors in Japan in the Life Span Study (LSS) has been fundamental for the understanding of the dose-response curve. We compare our risk estimates from a newly published epidemiological study on cancer in Sweden after the Chernobyl Nuclear Power Plant accident with the LSS data. Hazard ratios (HRs) with 95% confidence intervals (95% CIs) were calculated using conditional logistic regression adjusted for rural/nonrural habitat, education level, and pre-Chernobyl cancer incidence from 1980 to 1985, respectively. Adjusted HRs by sex were calculated in deciles for all cancer sites combined for 1986 to 2020. These risk estimates were translated to excess relative risk (ERR) to allow comparison with LSS incidence data. ERRs per decile were compatible with ERR in the low-dose range <100 mGy for both sexes. The CIs in each decile need to be taken into account when interpreting the dose-response curve. Risk estimates in dose categories add important information at very low doses on the dose-response curve when compared to LSS data.</p>","PeriodicalId":20795,"journal":{"name":"Radiation protection dosimetry","volume":" ","pages":"1125-1130"},"PeriodicalIF":0.7000,"publicationDate":"2025-10-06","publicationTypes":"Journal Article","fieldsOfStudy":null,"isOpenAccess":false,"openAccessPdf":"https://www.ncbi.nlm.nih.gov/pmc/articles/PMC12498092/pdf/","citationCount":"0","resultStr":"{\"title\":\"Comparing dose response of cancer incidence in Sweden after the Chernobyl Nuclear Power Plant accident with Life Span Study of atomic bomb survivors.\",\"authors\":\"Martin Tondel, Tobias Nordquist, Mats Isaksson, Christopher Rääf, Robert Wålinder\",\"doi\":\"10.1093/rpd/ncaf097\",\"DOIUrl\":null,\"url\":null,\"abstract\":\"<p><p>Follow-up of the atomic bomb survivors in Japan in the Life Span Study (LSS) has been fundamental for the understanding of the dose-response curve. We compare our risk estimates from a newly published epidemiological study on cancer in Sweden after the Chernobyl Nuclear Power Plant accident with the LSS data. Hazard ratios (HRs) with 95% confidence intervals (95% CIs) were calculated using conditional logistic regression adjusted for rural/nonrural habitat, education level, and pre-Chernobyl cancer incidence from 1980 to 1985, respectively. Adjusted HRs by sex were calculated in deciles for all cancer sites combined for 1986 to 2020. These risk estimates were translated to excess relative risk (ERR) to allow comparison with LSS incidence data. ERRs per decile were compatible with ERR in the low-dose range <100 mGy for both sexes. The CIs in each decile need to be taken into account when interpreting the dose-response curve. Risk estimates in dose categories add important information at very low doses on the dose-response curve when compared to LSS data.</p>\",\"PeriodicalId\":20795,\"journal\":{\"name\":\"Radiation protection dosimetry\",\"volume\":\" \",\"pages\":\"1125-1130\"},\"PeriodicalIF\":0.7000,\"publicationDate\":\"2025-10-06\",\"publicationTypes\":\"Journal Article\",\"fieldsOfStudy\":null,\"isOpenAccess\":false,\"openAccessPdf\":\"https://www.ncbi.nlm.nih.gov/pmc/articles/PMC12498092/pdf/\",\"citationCount\":\"0\",\"resultStr\":null,\"platform\":\"Semanticscholar\",\"paperid\":null,\"PeriodicalName\":\"Radiation protection dosimetry\",\"FirstCategoryId\":\"93\",\"ListUrlMain\":\"https://doi.org/10.1093/rpd/ncaf097\",\"RegionNum\":4,\"RegionCategory\":\"环境科学与生态学\",\"ArticlePicture\":[],\"TitleCN\":null,\"AbstractTextCN\":null,\"PMCID\":null,\"EPubDate\":\"\",\"PubModel\":\"\",\"JCR\":\"Q4\",\"JCRName\":\"ENVIRONMENTAL SCIENCES\",\"Score\":null,\"Total\":0}","platform":"Semanticscholar","paperid":null,"PeriodicalName":"Radiation protection dosimetry","FirstCategoryId":"93","ListUrlMain":"https://doi.org/10.1093/rpd/ncaf097","RegionNum":4,"RegionCategory":"环境科学与生态学","ArticlePicture":[],"TitleCN":null,"AbstractTextCN":null,"PMCID":null,"EPubDate":"","PubModel":"","JCR":"Q4","JCRName":"ENVIRONMENTAL SCIENCES","Score":null,"Total":0}
引用次数: 0

摘要

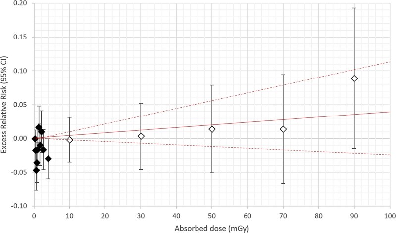
在寿命研究(LSS)中对日本原子弹幸存者的随访是了解剂量-反应曲线的基础。我们将切尔诺贝利核电站事故后瑞典最新发表的癌症流行病学研究的风险估计与LSS的数据进行了比较。分别利用1980 - 1985年农村/非农村生境、教育水平和切尔诺贝利前癌症发病率调整后的条件logistic回归计算95%置信区间(95% ci)的风险比(hr)。按性别调整后的hr以十分位数计算1986年至2020年所有癌症部位的总和。这些风险估计被转化为超额相对风险(ERR),以便与LSS发生率数据进行比较。每十分位误差与低剂量范围内的误差一致
本文章由计算机程序翻译,如有差异,请以英文原文为准。

Comparing dose response of cancer incidence in Sweden after the Chernobyl Nuclear Power Plant accident with Life Span Study of atomic bomb survivors.

Comparing dose response of cancer incidence in Sweden after the Chernobyl Nuclear Power Plant accident with Life Span Study of atomic bomb survivors.

Comparing dose response of cancer incidence in Sweden after the Chernobyl Nuclear Power Plant accident with Life Span Study of atomic bomb survivors.

Comparing dose response of cancer incidence in Sweden after the Chernobyl Nuclear Power Plant accident with Life Span Study of atomic bomb survivors.

Follow-up of the atomic bomb survivors in Japan in the Life Span Study (LSS) has been fundamental for the understanding of the dose-response curve. We compare our risk estimates from a newly published epidemiological study on cancer in Sweden after the Chernobyl Nuclear Power Plant accident with the LSS data. Hazard ratios (HRs) with 95% confidence intervals (95% CIs) were calculated using conditional logistic regression adjusted for rural/nonrural habitat, education level, and pre-Chernobyl cancer incidence from 1980 to 1985, respectively. Adjusted HRs by sex were calculated in deciles for all cancer sites combined for 1986 to 2020. These risk estimates were translated to excess relative risk (ERR) to allow comparison with LSS incidence data. ERRs per decile were compatible with ERR in the low-dose range <100 mGy for both sexes. The CIs in each decile need to be taken into account when interpreting the dose-response curve. Risk estimates in dose categories add important information at very low doses on the dose-response curve when compared to LSS data.

求助全文
通过发布文献求助,成功后即可免费获取论文全文。 去求助
来源期刊
Radiation protection dosimetry
Radiation protection dosimetry 环境科学-公共卫生、环境卫生与职业卫生
CiteScore
1.40
自引率
10.00%
发文量
223
审稿时长
6-12 weeks
期刊介绍: Radiation Protection Dosimetry covers all aspects of personal and environmental dosimetry and monitoring, for both ionising and non-ionising radiations. This includes biological aspects, physical concepts, biophysical dosimetry, external and internal personal dosimetry and monitoring, environmental and workplace monitoring, accident dosimetry, and dosimetry related to the protection of patients. Particular emphasis is placed on papers covering the fundamentals of dosimetry; units, radiation quantities and conversion factors. Papers covering archaeological dating are included only if the fundamental measurement method or technique, such as thermoluminescence, has direct application to personal dosimetry measurements. Papers covering the dosimetric aspects of radon or other naturally occurring radioactive materials and low level radiation are included. Animal experiments and ecological sample measurements are not included unless there is a significant relevant content reason.
×
引用
GB/T 7714-2015
复制
MLA
复制
APA
复制
导出至
BibTeX EndNote RefMan NoteFirst NoteExpress
×
提示
您的信息不完整,为了账户安全,请先补充。
现在去补充
×
提示
您因"违规操作"
具体请查看互助需知
我知道了
×
提示
确定
请完成安全验证×
copy
已复制链接
快去分享给好友吧!
我知道了
右上角分享
点击右上角分享
0
联系我们:info@booksci.cn Book学术提供免费学术资源搜索服务,方便国内外学者检索中英文文献。致力于提供最便捷和优质的服务体验。 Copyright © 2023 布克学术 All rights reserved.
京ICP备2023020795号-1
ghs 京公网安备 11010802042870号
Book学术文献互助
Book学术文献互助群
群 号:604180095
Book学术官方微信