创伤后应激障碍精神药理学算法更新-2024-2025。

IF 0.6 4区 医学 Q4 PHARMACOLOGY & PHARMACY
Laura A Bajor, Charmi Balsara, David N Osser
{"title":"创伤后应激障碍精神药理学算法更新-2024-2025。","authors":"Laura A Bajor, Charmi Balsara, David N Osser","doi":"10.5152/pcp.2025.241041","DOIUrl":null,"url":null,"abstract":"<p><p>Since the last publication of the Psychopharmacology Algorithm Project at the Harvard South Shore Program Posttraumatic Stress Disorder (PTSD) algorithm in 2022, additional evidence has reinforced key treatment recommendations. Prazosin remains the first-line treatment for PTSD-related sleep impairment, including nightmares and disturbed awakenings, and it may be useful for individuals with comorbid alcohol use disorder and comorbid headaches. After treating PTSD insomnia, if significant daytime symptoms remain, a selective serotonin reuptake inhibitor ( SSRI, sertraline or paroxetine are suggested), and this may be augmented by an antipsychotic (consider aripiprazole first) if psychotic symptoms, if any, do not respond to the SSRI. If results are still unsatisfactory, a second SSRI or a selective norepinephrine reuptake inhibitor (SNRI) could be considered, though they offer no benefit for hyperarousal symptoms, and prazosin may also be tried for residual daytime symptoms. This update also evaluates emerging treatments, including transcranial magnetic stimulation, direct current stimulation, stellate ganglion block, and pimavanserin, though concluding that current evidence does not yet warrant their inclusion in the core algorithm. This update provides clinicians with an evidenceinformed approach to pharmacological PTSD management based on the latest available data.</p>","PeriodicalId":20847,"journal":{"name":"Psychiatry and Clinical Psychopharmacology","volume":"35 Suppl 1","pages":"S135-S140"},"PeriodicalIF":0.6000,"publicationDate":"2025-08-11","publicationTypes":"Journal Article","fieldsOfStudy":null,"isOpenAccess":false,"openAccessPdf":"https://www.ncbi.nlm.nih.gov/pmc/articles/PMC12410238/pdf/","citationCount":"0","resultStr":"{\"title\":\"Posttraumatic Stress Disorder Psychopharmacology Algorithm Update-2024-2025.\",\"authors\":\"Laura A Bajor, Charmi Balsara, David N Osser\",\"doi\":\"10.5152/pcp.2025.241041\",\"DOIUrl\":null,\"url\":null,\"abstract\":\"<p><p>Since the last publication of the Psychopharmacology Algorithm Project at the Harvard South Shore Program Posttraumatic Stress Disorder (PTSD) algorithm in 2022, additional evidence has reinforced key treatment recommendations. Prazosin remains the first-line treatment for PTSD-related sleep impairment, including nightmares and disturbed awakenings, and it may be useful for individuals with comorbid alcohol use disorder and comorbid headaches. After treating PTSD insomnia, if significant daytime symptoms remain, a selective serotonin reuptake inhibitor ( SSRI, sertraline or paroxetine are suggested), and this may be augmented by an antipsychotic (consider aripiprazole first) if psychotic symptoms, if any, do not respond to the SSRI. If results are still unsatisfactory, a second SSRI or a selective norepinephrine reuptake inhibitor (SNRI) could be considered, though they offer no benefit for hyperarousal symptoms, and prazosin may also be tried for residual daytime symptoms. This update also evaluates emerging treatments, including transcranial magnetic stimulation, direct current stimulation, stellate ganglion block, and pimavanserin, though concluding that current evidence does not yet warrant their inclusion in the core algorithm. This update provides clinicians with an evidenceinformed approach to pharmacological PTSD management based on the latest available data.</p>\",\"PeriodicalId\":20847,\"journal\":{\"name\":\"Psychiatry and Clinical Psychopharmacology\",\"volume\":\"35 Suppl 1\",\"pages\":\"S135-S140\"},\"PeriodicalIF\":0.6000,\"publicationDate\":\"2025-08-11\",\"publicationTypes\":\"Journal Article\",\"fieldsOfStudy\":null,\"isOpenAccess\":false,\"openAccessPdf\":\"https://www.ncbi.nlm.nih.gov/pmc/articles/PMC12410238/pdf/\",\"citationCount\":\"0\",\"resultStr\":null,\"platform\":\"Semanticscholar\",\"paperid\":null,\"PeriodicalName\":\"Psychiatry and Clinical Psychopharmacology\",\"FirstCategoryId\":\"3\",\"ListUrlMain\":\"https://doi.org/10.5152/pcp.2025.241041\",\"RegionNum\":4,\"RegionCategory\":\"医学\",\"ArticlePicture\":[],\"TitleCN\":null,\"AbstractTextCN\":null,\"PMCID\":null,\"EPubDate\":\"\",\"PubModel\":\"\",\"JCR\":\"Q4\",\"JCRName\":\"PHARMACOLOGY & PHARMACY\",\"Score\":null,\"Total\":0}","platform":"Semanticscholar","paperid":null,"PeriodicalName":"Psychiatry and Clinical Psychopharmacology","FirstCategoryId":"3","ListUrlMain":"https://doi.org/10.5152/pcp.2025.241041","RegionNum":4,"RegionCategory":"医学","ArticlePicture":[],"TitleCN":null,"AbstractTextCN":null,"PMCID":null,"EPubDate":"","PubModel":"","JCR":"Q4","JCRName":"PHARMACOLOGY & PHARMACY","Score":null,"Total":0}
引用次数: 0

摘要

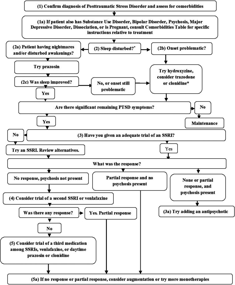
自2022年哈佛大学南岸项目创伤后应激障碍(PTSD)算法的精神药理学算法项目最后一次发表以来,更多的证据加强了关键治疗建议。哌唑嗪仍然是ptsd相关睡眠障碍的一线治疗方法,包括噩梦和觉醒障碍,它可能对患有共病性酒精使用障碍和共病性头痛的个体有用。在治疗创伤后应激障碍失眠后,如果明显的白天症状仍然存在,建议使用选择性血清素再摄取抑制剂(SSRI,舍曲林或帕罗西汀),如果精神病症状(如果有的话)对SSRI没有反应,可以使用抗精神病药物(首先考虑阿立哌唑)。如果结果仍然不令人满意,可以考虑使用第二种SSRI或选择性去甲肾上腺素再摄取抑制剂(SNRI),尽管它们对高觉醒症状没有任何益处,也可以尝试哌唑嗪治疗残留的白天症状。这次更新还评估了新兴的治疗方法,包括经颅磁刺激、直流电刺激、星状神经节阻滞和匹马万色林,尽管目前的证据还不能保证将它们纳入核心算法。这一更新为临床医生提供了基于最新可用数据的PTSD药理学管理的循证方法。
本文章由计算机程序翻译,如有差异,请以英文原文为准。

Posttraumatic Stress Disorder Psychopharmacology Algorithm Update-2024-2025.

Posttraumatic Stress Disorder Psychopharmacology Algorithm Update-2024-2025.

Posttraumatic Stress Disorder Psychopharmacology Algorithm Update-2024-2025.

Since the last publication of the Psychopharmacology Algorithm Project at the Harvard South Shore Program Posttraumatic Stress Disorder (PTSD) algorithm in 2022, additional evidence has reinforced key treatment recommendations. Prazosin remains the first-line treatment for PTSD-related sleep impairment, including nightmares and disturbed awakenings, and it may be useful for individuals with comorbid alcohol use disorder and comorbid headaches. After treating PTSD insomnia, if significant daytime symptoms remain, a selective serotonin reuptake inhibitor ( SSRI, sertraline or paroxetine are suggested), and this may be augmented by an antipsychotic (consider aripiprazole first) if psychotic symptoms, if any, do not respond to the SSRI. If results are still unsatisfactory, a second SSRI or a selective norepinephrine reuptake inhibitor (SNRI) could be considered, though they offer no benefit for hyperarousal symptoms, and prazosin may also be tried for residual daytime symptoms. This update also evaluates emerging treatments, including transcranial magnetic stimulation, direct current stimulation, stellate ganglion block, and pimavanserin, though concluding that current evidence does not yet warrant their inclusion in the core algorithm. This update provides clinicians with an evidenceinformed approach to pharmacological PTSD management based on the latest available data.

求助全文
通过发布文献求助,成功后即可免费获取论文全文。 去求助
来源期刊
Psychiatry and Clinical Psychopharmacology
Psychiatry and Clinical Psychopharmacology Medicine-Psychiatry and Mental Health
CiteScore
1.00
自引率
14.30%
发文量
0
期刊介绍: Psychiatry and Clinical Psychopharmacology aims to reach a national and international audience and will accept submissions from authors worldwide. It gives high priority to original studies of interest to clinicians and scientists in applied and basic neurosciences and related disciplines. Psychiatry and Clinical Psychopharmacology publishes high quality research targeted to specialists, residents and scientists in psychiatry, psychology, neurology, pharmacology, molecular biology, genetics, physiology, neurochemistry, and related sciences.
×
引用
GB/T 7714-2015
复制
MLA
复制
APA
复制
导出至
BibTeX EndNote RefMan NoteFirst NoteExpress
×
提示
您的信息不完整,为了账户安全,请先补充。
现在去补充
×
提示
您因"违规操作"
具体请查看互助需知
我知道了
×
提示
确定
请完成安全验证×
copy
已复制链接
快去分享给好友吧!
我知道了
右上角分享
点击右上角分享
0
联系我们:info@booksci.cn Book学术提供免费学术资源搜索服务,方便国内外学者检索中英文文献。致力于提供最便捷和优质的服务体验。 Copyright © 2023 布克学术 All rights reserved.
京ICP备2023020795号-1
ghs 京公网安备 11010802042870号
Book学术文献互助
Book学术文献互助群
群 号:604180095
Book学术官方微信