氯吡格雷在缺血性脑卒中中的病理生理,血小板微rna的作用。

IF 2 4区 医学 Q3 PHYSIOLOGY
Physiological research Pub Date : 2025-08-31
T Mičaník, O Slabý, T Kvasnička, P Bobčíková, J Vavrošová, E Augste, D Václavík
{"title":"氯吡格雷在缺血性脑卒中中的病理生理,血小板微rna的作用。","authors":"T Mičaník, O Slabý, T Kvasnička, P Bobčíková, J Vavrošová, E Augste, D Václavík","doi":"","DOIUrl":null,"url":null,"abstract":"<p><p>Variation in response to clopidogrel represents a significant clinical challenge in patients with ischemic stroke. Genetic polymorphisms cytochrome P450 2C19 (CYP2C19) are a known cause of resistance to clopidogrel. Platelet microRNAs (miRNAs) can modulate the efficacy of antiplatelet therapy. This study focuses solely on clopidogrel because it is the most widely used alternative to aspirin in patients with aspirin intolerance or contraindications. Our aim was to investigate its pharmacogenomic and epigenetic modulation in a targeted and homogeneous cohort. CYP2C19 genotypes are commonly reported as *1/*1 (wild type), *1/*2 (intermediate metabolizer), *2/*2 (poor metabolizer) and *2/*3 (poor metabolizer). These denote the number and type of loss-of-function alleles that affect clopidogrel metabolism. Clopidogrel treatment is typically a component of broader secondary prevention strategies, including lifestyle modifications, statins, and control of blood pressure. Relevant bibliographic references have been added to support the background statements provided in the introduction and methodology. To evaluate the expression of selected platelet miRNAs (miR-126-3p, miR-19a-3p, miR-19b-3p, miR-22-3p, miR-185-5p) in patients with ischemic stroke in relation to the CYP2C19 genotype (*1/*1 ,*1/*2, *2/*2) during clopidogrel treatment. Seventy patients treated with clopidogrel (75 mg daily) were enrolled. Patients were genotyped for the CYP2C19 *2 and *3 alleles by real-time polymerase chain reaction (polymerase chain reaction (PCR)) and miRNA expression was measured in plasma. All abbreviations used throughout the manuscript have been defined at their first appearance for the sake of clarity. No significant differences in miRNA expression were found between the genotypic groups (p > 0.05). Patients with genotype *2/*2 (poor metabolizer) showed a trend towards higher levels of miR-126-3p and miR-185-5p (approximately 1.5 to 1.7 times) compared to *1/*1 (wild type). The clinical parameters did not differ significantly between the groups. Poor clopidogrel metabolizers can exhibit upregulation of some platelet miRNAs as a potential compensatory mechanism. This pilot study suggests a possible epigenetic modulation of the response to antiplatelet therapy through platelet miRNAs.</p>","PeriodicalId":20235,"journal":{"name":"Physiological research","volume":"74 4","pages":"669-675"},"PeriodicalIF":2.0000,"publicationDate":"2025-08-31","publicationTypes":"Journal Article","fieldsOfStudy":null,"isOpenAccess":false,"openAccessPdf":"https://www.ncbi.nlm.nih.gov/pmc/articles/PMC12440378/pdf/","citationCount":"0","resultStr":"{\"title\":\"Pathophysiology of Clopidogrel in Ischemic Stroke, Role of Platelet microRNAs.\",\"authors\":\"T Mičaník, O Slabý, T Kvasnička, P Bobčíková, J Vavrošová, E Augste, D Václavík\",\"doi\":\"\",\"DOIUrl\":null,\"url\":null,\"abstract\":\"<p><p>Variation in response to clopidogrel represents a significant clinical challenge in patients with ischemic stroke. Genetic polymorphisms cytochrome P450 2C19 (CYP2C19) are a known cause of resistance to clopidogrel. Platelet microRNAs (miRNAs) can modulate the efficacy of antiplatelet therapy. This study focuses solely on clopidogrel because it is the most widely used alternative to aspirin in patients with aspirin intolerance or contraindications. Our aim was to investigate its pharmacogenomic and epigenetic modulation in a targeted and homogeneous cohort. CYP2C19 genotypes are commonly reported as *1/*1 (wild type), *1/*2 (intermediate metabolizer), *2/*2 (poor metabolizer) and *2/*3 (poor metabolizer). These denote the number and type of loss-of-function alleles that affect clopidogrel metabolism. Clopidogrel treatment is typically a component of broader secondary prevention strategies, including lifestyle modifications, statins, and control of blood pressure. Relevant bibliographic references have been added to support the background statements provided in the introduction and methodology. To evaluate the expression of selected platelet miRNAs (miR-126-3p, miR-19a-3p, miR-19b-3p, miR-22-3p, miR-185-5p) in patients with ischemic stroke in relation to the CYP2C19 genotype (*1/*1 ,*1/*2, *2/*2) during clopidogrel treatment. Seventy patients treated with clopidogrel (75 mg daily) were enrolled. Patients were genotyped for the CYP2C19 *2 and *3 alleles by real-time polymerase chain reaction (polymerase chain reaction (PCR)) and miRNA expression was measured in plasma. All abbreviations used throughout the manuscript have been defined at their first appearance for the sake of clarity. No significant differences in miRNA expression were found between the genotypic groups (p > 0.05). Patients with genotype *2/*2 (poor metabolizer) showed a trend towards higher levels of miR-126-3p and miR-185-5p (approximately 1.5 to 1.7 times) compared to *1/*1 (wild type). The clinical parameters did not differ significantly between the groups. Poor clopidogrel metabolizers can exhibit upregulation of some platelet miRNAs as a potential compensatory mechanism. This pilot study suggests a possible epigenetic modulation of the response to antiplatelet therapy through platelet miRNAs.</p>\",\"PeriodicalId\":20235,\"journal\":{\"name\":\"Physiological research\",\"volume\":\"74 4\",\"pages\":\"669-675\"},\"PeriodicalIF\":2.0000,\"publicationDate\":\"2025-08-31\",\"publicationTypes\":\"Journal Article\",\"fieldsOfStudy\":null,\"isOpenAccess\":false,\"openAccessPdf\":\"https://www.ncbi.nlm.nih.gov/pmc/articles/PMC12440378/pdf/\",\"citationCount\":\"0\",\"resultStr\":null,\"platform\":\"Semanticscholar\",\"paperid\":null,\"PeriodicalName\":\"Physiological research\",\"FirstCategoryId\":\"3\",\"ListUrlMain\":\"\",\"RegionNum\":4,\"RegionCategory\":\"医学\",\"ArticlePicture\":[],\"TitleCN\":null,\"AbstractTextCN\":null,\"PMCID\":null,\"EPubDate\":\"\",\"PubModel\":\"\",\"JCR\":\"Q3\",\"JCRName\":\"PHYSIOLOGY\",\"Score\":null,\"Total\":0}","platform":"Semanticscholar","paperid":null,"PeriodicalName":"Physiological research","FirstCategoryId":"3","ListUrlMain":"","RegionNum":4,"RegionCategory":"医学","ArticlePicture":[],"TitleCN":null,"AbstractTextCN":null,"PMCID":null,"EPubDate":"","PubModel":"","JCR":"Q3","JCRName":"PHYSIOLOGY","Score":null,"Total":0}
引用次数: 0

摘要

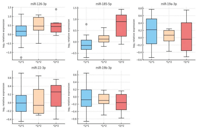
对氯吡格雷反应的变化是缺血性脑卒中患者的一个重大临床挑战。遗传多态性细胞色素P450 2C19 (CYP2C19)是氯吡格雷耐药的已知原因。血小板microRNAs (miRNAs)可以调节抗血小板治疗的疗效。本研究仅关注氯吡格雷,因为它是阿司匹林不耐受或禁忌症患者最广泛使用的阿司匹林替代品。我们的目的是在一个有针对性的同质队列中研究其药物基因组学和表观遗传学调节。CYP2C19基因型通常报道为*1/*1(野生型)、*1/*2(中间代谢型)、*2/*2(差代谢型)和*2/*3(差代谢型)。这些表示影响氯吡格雷代谢的功能丧失等位基因的数量和类型。氯吡格雷治疗通常是更广泛的二级预防策略的一个组成部分,包括改变生活方式、他汀类药物和控制血压。增加了相关的参考书目,以支持引言和方法中提供的背景说明。评价氯吡格雷治疗期间缺血性脑卒中患者血小板mirna (miR-126-3p、miR-19a-3p、miR-19b-3p、miR-22-3p、miR-185-5p)表达与CYP2C19基因型(*1/*1、*1/*2、*2/*2)的关系。70例患者接受氯吡格雷治疗(每日75mg)。采用实时聚合酶链式反应(polymerase chain reaction, PCR)对患者CYP2C19 *2和*3等位基因进行分型,并检测血浆中miRNA的表达。为了清晰起见,整个手稿中使用的所有缩写都在首次出现时进行了定义。miRNA在基因型组间表达差异无统计学意义(p < 0.05)。与*1/*1(野生型)相比,*2/*2基因型(代谢不良)患者miR-126-3p和miR-185-5p水平有升高的趋势(约为1.5 ~ 1.7倍)。两组临床参数差异无统计学意义。氯吡格雷代谢不良者可以表现出一些血小板mirna的上调,这是一种潜在的代偿机制。这项初步研究表明,通过血小板miRNAs可能对抗血小板治疗的反应进行表观遗传调节。
本文章由计算机程序翻译,如有差异,请以英文原文为准。

Pathophysiology of Clopidogrel in Ischemic Stroke, Role of Platelet microRNAs.

Pathophysiology of Clopidogrel in Ischemic Stroke, Role of Platelet microRNAs.

Variation in response to clopidogrel represents a significant clinical challenge in patients with ischemic stroke. Genetic polymorphisms cytochrome P450 2C19 (CYP2C19) are a known cause of resistance to clopidogrel. Platelet microRNAs (miRNAs) can modulate the efficacy of antiplatelet therapy. This study focuses solely on clopidogrel because it is the most widely used alternative to aspirin in patients with aspirin intolerance or contraindications. Our aim was to investigate its pharmacogenomic and epigenetic modulation in a targeted and homogeneous cohort. CYP2C19 genotypes are commonly reported as *1/*1 (wild type), *1/*2 (intermediate metabolizer), *2/*2 (poor metabolizer) and *2/*3 (poor metabolizer). These denote the number and type of loss-of-function alleles that affect clopidogrel metabolism. Clopidogrel treatment is typically a component of broader secondary prevention strategies, including lifestyle modifications, statins, and control of blood pressure. Relevant bibliographic references have been added to support the background statements provided in the introduction and methodology. To evaluate the expression of selected platelet miRNAs (miR-126-3p, miR-19a-3p, miR-19b-3p, miR-22-3p, miR-185-5p) in patients with ischemic stroke in relation to the CYP2C19 genotype (*1/*1 ,*1/*2, *2/*2) during clopidogrel treatment. Seventy patients treated with clopidogrel (75 mg daily) were enrolled. Patients were genotyped for the CYP2C19 *2 and *3 alleles by real-time polymerase chain reaction (polymerase chain reaction (PCR)) and miRNA expression was measured in plasma. All abbreviations used throughout the manuscript have been defined at their first appearance for the sake of clarity. No significant differences in miRNA expression were found between the genotypic groups (p > 0.05). Patients with genotype *2/*2 (poor metabolizer) showed a trend towards higher levels of miR-126-3p and miR-185-5p (approximately 1.5 to 1.7 times) compared to *1/*1 (wild type). The clinical parameters did not differ significantly between the groups. Poor clopidogrel metabolizers can exhibit upregulation of some platelet miRNAs as a potential compensatory mechanism. This pilot study suggests a possible epigenetic modulation of the response to antiplatelet therapy through platelet miRNAs.

求助全文
通过发布文献求助,成功后即可免费获取论文全文。 去求助
来源期刊
Physiological research
Physiological research 医学-生理学
CiteScore
4.00
自引率
4.80%
发文量
108
审稿时长
3 months
期刊介绍: Physiological Research is a peer reviewed Open Access journal that publishes articles on normal and pathological physiology, biochemistry, biophysics, and pharmacology. Authors can submit original, previously unpublished research articles, review articles, rapid or short communications. Instructions for Authors - Respect the instructions carefully when submitting your manuscript. Submitted manuscripts or revised manuscripts that do not follow these Instructions will not be included into the peer-review process. The articles are available in full versions as pdf files beginning with volume 40, 1991. The journal publishes the online Ahead of Print /Pre-Press version of the articles that are searchable in Medline and can be cited.
×
引用
GB/T 7714-2015
复制
MLA
复制
APA
复制
导出至
BibTeX EndNote RefMan NoteFirst NoteExpress
×
提示
您的信息不完整,为了账户安全,请先补充。
现在去补充
×
提示
您因"违规操作"
具体请查看互助需知
我知道了
×
提示
确定
请完成安全验证×
copy
已复制链接
快去分享给好友吧!
我知道了
右上角分享
点击右上角分享
0
联系我们:info@booksci.cn Book学术提供免费学术资源搜索服务,方便国内外学者检索中英文文献。致力于提供最便捷和优质的服务体验。 Copyright © 2023 布克学术 All rights reserved.
京ICP备2023020795号-1
ghs 京公网安备 11010802042870号
Book学术文献互助
Book学术文献互助群
群 号:604180095
Book学术官方微信