横膈膜呼吸运动、雅各布森放松技术和动态神经肌肉稳定对非心源性胸痛的胃肠道和心理原因的影响:一项随机对照试验。

IF 3 3区 医学 Q2 CLINICAL NEUROLOGY
Pain Research & Management Pub Date : 2025-08-14 eCollection Date: 2025-01-01 DOI:10.1155/prm/8124858
Anusha Rajesh Suryavanshi, Prem Venkatesan, Ranjan Shetty, Mrudula Pawar
{"title":"横膈膜呼吸运动、雅各布森放松技术和动态神经肌肉稳定对非心源性胸痛的胃肠道和心理原因的影响:一项随机对照试验。","authors":"Anusha Rajesh Suryavanshi, Prem Venkatesan, Ranjan Shetty, Mrudula Pawar","doi":"10.1155/prm/8124858","DOIUrl":null,"url":null,"abstract":"<p><p><b>Objective:</b> Despite the availability of studies, there is a lack of available literature on the treatment of psychological and gastrointestinal causes of noncardiac chest pain (NCCP). Physiotherapeutic techniques involving diaphragmatic breathing, Jacobson's relaxation and dynamic neuromuscular stabilization (DNS) could address these causes through the activation of parasympathetic system. Hence, this study aims to evaluate the combined effect of diaphragmatic breathing, Jacobson's relaxation and DNS along with pharmacological therapy on patients with gastrointestinal and psychological causes of NCCP. <b>Design:</b> Randomized controlled trial. <b>Setting:</b> Cardiology OPD of a tertiary care hospital. <b>Subjects:</b> Eighty-eight subjects with NCCP. <b>Methods:</b> The intervention group received diaphragmatic breathing, Jacobson's relaxation technique, DNS and pharmacological treatment for 4 weeks. The control group was given pharmacological treatment with patient education. The Beck Depression Inventory (BDI) score, Hamilton Depression Rating Scale (HDRS) score, gastroesophageal reflux disease (GERD) questionnaire score and Numerical Pain Rating Scale (NPRS) score were measured at baseline and after 4 weeks of intervention. <b>Results:</b> The baseline characteristics and outcome measures were assessed, and no significant differences were noted in their mean values (<i>p</i> > 0.05). After 4 weeks of intervention, a statistically significant difference was observed in BDI, HDRS, GERD questionnaire score and NPRS in both the groups (<i>p</i> < 0.001). However, the GERD questionnaire and NPRS showed statistically significant decrease in the intervention group (GERD questionnaire: 28.39 ± 9.74 and NPRS: 4.57 ± 0.91) compared with the control group (GERD questionnaire: 35.54 ± 12.23 and NPRS: 4.95 ± 0.96) with <i>p</i> < 0.05. <b>Conclusion:</b> The diaphragmatic breathing exercises, Jacobson's relaxation technique and DNS are beneficial for reducing GERD symptoms and pain in patients with NCCP. These techniques are safe and cost-effective treatment for addressing the psychological and gastrointestinal causes of NCCP. These can be incorporated along with the pharmacological treatment to enhance the outcomes. However, future researches with long-term follow-ups are required. <b>Trial Registration:</b> Clinical Trials Registry - India: CTRI/2025/02/081294.</p>","PeriodicalId":19913,"journal":{"name":"Pain Research & Management","volume":"2025 ","pages":"8124858"},"PeriodicalIF":3.0000,"publicationDate":"2025-08-14","publicationTypes":"Journal Article","fieldsOfStudy":null,"isOpenAccess":false,"openAccessPdf":"https://www.ncbi.nlm.nih.gov/pmc/articles/PMC12373466/pdf/","citationCount":"0","resultStr":"{\"title\":\"Effect of Diaphragmatic Breathing Exercise, Jacobson's Relaxation Technique and Dynamic Neuromuscular Stabilization on Gastrointestinal and Psychological Causes of Noncardiac Chest Pain: A Randomized Controlled Trial.\",\"authors\":\"Anusha Rajesh Suryavanshi, Prem Venkatesan, Ranjan Shetty, Mrudula Pawar\",\"doi\":\"10.1155/prm/8124858\",\"DOIUrl\":null,\"url\":null,\"abstract\":\"<p><p><b>Objective:</b> Despite the availability of studies, there is a lack of available literature on the treatment of psychological and gastrointestinal causes of noncardiac chest pain (NCCP). Physiotherapeutic techniques involving diaphragmatic breathing, Jacobson's relaxation and dynamic neuromuscular stabilization (DNS) could address these causes through the activation of parasympathetic system. Hence, this study aims to evaluate the combined effect of diaphragmatic breathing, Jacobson's relaxation and DNS along with pharmacological therapy on patients with gastrointestinal and psychological causes of NCCP. <b>Design:</b> Randomized controlled trial. <b>Setting:</b> Cardiology OPD of a tertiary care hospital. <b>Subjects:</b> Eighty-eight subjects with NCCP. <b>Methods:</b> The intervention group received diaphragmatic breathing, Jacobson's relaxation technique, DNS and pharmacological treatment for 4 weeks. The control group was given pharmacological treatment with patient education. The Beck Depression Inventory (BDI) score, Hamilton Depression Rating Scale (HDRS) score, gastroesophageal reflux disease (GERD) questionnaire score and Numerical Pain Rating Scale (NPRS) score were measured at baseline and after 4 weeks of intervention. <b>Results:</b> The baseline characteristics and outcome measures were assessed, and no significant differences were noted in their mean values (<i>p</i> > 0.05). After 4 weeks of intervention, a statistically significant difference was observed in BDI, HDRS, GERD questionnaire score and NPRS in both the groups (<i>p</i> < 0.001). However, the GERD questionnaire and NPRS showed statistically significant decrease in the intervention group (GERD questionnaire: 28.39 ± 9.74 and NPRS: 4.57 ± 0.91) compared with the control group (GERD questionnaire: 35.54 ± 12.23 and NPRS: 4.95 ± 0.96) with <i>p</i> < 0.05. <b>Conclusion:</b> The diaphragmatic breathing exercises, Jacobson's relaxation technique and DNS are beneficial for reducing GERD symptoms and pain in patients with NCCP. These techniques are safe and cost-effective treatment for addressing the psychological and gastrointestinal causes of NCCP. These can be incorporated along with the pharmacological treatment to enhance the outcomes. However, future researches with long-term follow-ups are required. <b>Trial Registration:</b> Clinical Trials Registry - India: CTRI/2025/02/081294.</p>\",\"PeriodicalId\":19913,\"journal\":{\"name\":\"Pain Research & Management\",\"volume\":\"2025 \",\"pages\":\"8124858\"},\"PeriodicalIF\":3.0000,\"publicationDate\":\"2025-08-14\",\"publicationTypes\":\"Journal Article\",\"fieldsOfStudy\":null,\"isOpenAccess\":false,\"openAccessPdf\":\"https://www.ncbi.nlm.nih.gov/pmc/articles/PMC12373466/pdf/\",\"citationCount\":\"0\",\"resultStr\":null,\"platform\":\"Semanticscholar\",\"paperid\":null,\"PeriodicalName\":\"Pain Research & Management\",\"FirstCategoryId\":\"3\",\"ListUrlMain\":\"https://doi.org/10.1155/prm/8124858\",\"RegionNum\":3,\"RegionCategory\":\"医学\",\"ArticlePicture\":[],\"TitleCN\":null,\"AbstractTextCN\":null,\"PMCID\":null,\"EPubDate\":\"2025/1/1 0:00:00\",\"PubModel\":\"eCollection\",\"JCR\":\"Q2\",\"JCRName\":\"CLINICAL NEUROLOGY\",\"Score\":null,\"Total\":0}","platform":"Semanticscholar","paperid":null,"PeriodicalName":"Pain Research & Management","FirstCategoryId":"3","ListUrlMain":"https://doi.org/10.1155/prm/8124858","RegionNum":3,"RegionCategory":"医学","ArticlePicture":[],"TitleCN":null,"AbstractTextCN":null,"PMCID":null,"EPubDate":"2025/1/1 0:00:00","PubModel":"eCollection","JCR":"Q2","JCRName":"CLINICAL NEUROLOGY","Score":null,"Total":0}
引用次数: 0

摘要

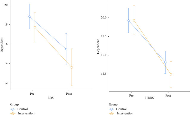
目的:尽管有相关研究,但关于心理和胃肠道原因引起的非心源性胸痛(NCCP)治疗的文献缺乏。包括横膈膜呼吸、雅各布森放松和动态神经肌肉稳定(DNS)在内的物理治疗技术可以通过激活副交感神经系统来解决这些原因。因此,本研究旨在评价膈呼吸、Jacobson松弛和DNS联合药物治疗对胃肠道和心理原因的NCCP患者的影响。设计:随机对照试验。环境:三级护理医院心脏病科门诊。研究对象:88例NCCP患者。方法:干预组采用横膈膜呼吸法、Jacobson松法、DNS及药物治疗4周。对照组患者给予药物治疗并进行患者教育。在基线和干预4周后分别测量贝克抑郁量表(BDI)评分、汉密尔顿抑郁评定量表(HDRS)评分、胃食管反流病(GERD)问卷评分和数值疼痛评定量表(NPRS)评分。结果:对基线特征和结局指标进行了评估,其平均值无显著差异(p < 0.05)。干预4周后,两组患者BDI、HDRS、GERD问卷评分、NPRS比较,差异均有统计学意义(p < 0.001)。但干预组GERD问卷和NPRS (GERD问卷:28.39±9.74,NPRS: 4.57±0.91)较对照组(GERD问卷:35.54±12.23,NPRS: 4.95±0.96)均有统计学意义(p < 0.05)。结论:膈肌呼吸练习、Jacobson放松法和DNS有利于减轻NCCP患者的胃反流症状和疼痛。这些技术对于解决NCCP的心理和胃肠道原因是安全且经济有效的治疗方法。这些可以与药物治疗结合使用,以提高疗效。然而,未来的研究需要长期的随访。试验注册:印度临床试验注册中心:CTRI/2025/02/081294。
本文章由计算机程序翻译,如有差异,请以英文原文为准。

Effect of Diaphragmatic Breathing Exercise, Jacobson's Relaxation Technique and Dynamic Neuromuscular Stabilization on Gastrointestinal and Psychological Causes of Noncardiac Chest Pain: A Randomized Controlled Trial.

Effect of Diaphragmatic Breathing Exercise, Jacobson's Relaxation Technique and Dynamic Neuromuscular Stabilization on Gastrointestinal and Psychological Causes of Noncardiac Chest Pain: A Randomized Controlled Trial.

Effect of Diaphragmatic Breathing Exercise, Jacobson's Relaxation Technique and Dynamic Neuromuscular Stabilization on Gastrointestinal and Psychological Causes of Noncardiac Chest Pain: A Randomized Controlled Trial.

Effect of Diaphragmatic Breathing Exercise, Jacobson's Relaxation Technique and Dynamic Neuromuscular Stabilization on Gastrointestinal and Psychological Causes of Noncardiac Chest Pain: A Randomized Controlled Trial.

Objective: Despite the availability of studies, there is a lack of available literature on the treatment of psychological and gastrointestinal causes of noncardiac chest pain (NCCP). Physiotherapeutic techniques involving diaphragmatic breathing, Jacobson's relaxation and dynamic neuromuscular stabilization (DNS) could address these causes through the activation of parasympathetic system. Hence, this study aims to evaluate the combined effect of diaphragmatic breathing, Jacobson's relaxation and DNS along with pharmacological therapy on patients with gastrointestinal and psychological causes of NCCP. Design: Randomized controlled trial. Setting: Cardiology OPD of a tertiary care hospital. Subjects: Eighty-eight subjects with NCCP. Methods: The intervention group received diaphragmatic breathing, Jacobson's relaxation technique, DNS and pharmacological treatment for 4 weeks. The control group was given pharmacological treatment with patient education. The Beck Depression Inventory (BDI) score, Hamilton Depression Rating Scale (HDRS) score, gastroesophageal reflux disease (GERD) questionnaire score and Numerical Pain Rating Scale (NPRS) score were measured at baseline and after 4 weeks of intervention. Results: The baseline characteristics and outcome measures were assessed, and no significant differences were noted in their mean values (p > 0.05). After 4 weeks of intervention, a statistically significant difference was observed in BDI, HDRS, GERD questionnaire score and NPRS in both the groups (p < 0.001). However, the GERD questionnaire and NPRS showed statistically significant decrease in the intervention group (GERD questionnaire: 28.39 ± 9.74 and NPRS: 4.57 ± 0.91) compared with the control group (GERD questionnaire: 35.54 ± 12.23 and NPRS: 4.95 ± 0.96) with p < 0.05. Conclusion: The diaphragmatic breathing exercises, Jacobson's relaxation technique and DNS are beneficial for reducing GERD symptoms and pain in patients with NCCP. These techniques are safe and cost-effective treatment for addressing the psychological and gastrointestinal causes of NCCP. These can be incorporated along with the pharmacological treatment to enhance the outcomes. However, future researches with long-term follow-ups are required. Trial Registration: Clinical Trials Registry - India: CTRI/2025/02/081294.

求助全文
通过发布文献求助,成功后即可免费获取论文全文。 去求助
来源期刊
Pain Research & Management
Pain Research & Management CLINICAL NEUROLOGY-
CiteScore
5.30
自引率
0.00%
发文量
109
审稿时长
>12 weeks
期刊介绍: Pain Research and Management is a peer-reviewed, Open Access journal that publishes original research articles, review articles, and clinical studies in all areas of pain management. The most recent Impact Factor for Pain Research and Management is 1.685 according to the 2015 Journal Citation Reports released by Thomson Reuters in 2016.
×
引用
GB/T 7714-2015
复制
MLA
复制
APA
复制
导出至
BibTeX EndNote RefMan NoteFirst NoteExpress
×
提示
您的信息不完整,为了账户安全,请先补充。
现在去补充
×
提示
您因"违规操作"
具体请查看互助需知
我知道了
×
提示
确定
请完成安全验证×
copy
已复制链接
快去分享给好友吧!
我知道了
右上角分享
点击右上角分享
0
联系我们:info@booksci.cn Book学术提供免费学术资源搜索服务,方便国内外学者检索中英文文献。致力于提供最便捷和优质的服务体验。 Copyright © 2023 布克学术 All rights reserved.
京ICP备2023020795号-1
ghs 京公网安备 11010802042870号
Book学术文献互助
Book学术文献互助群
群 号:604180095
Book学术官方微信