气管手术后超说明书雾化环丙沙星-地塞米松的社会经济和成本分析。

IF 1.8 Q2 OTORHINOLARYNGOLOGY
OTO Open Pub Date : 2025-08-19 eCollection Date: 2025-07-01 DOI:10.1002/oto2.70156
Abbey L Landini, Cyrus W Abrahamson, Jonathan P Kuriakose, Jasmine Stewart, James A Burns, Andrew P Stein
{"title":"气管手术后超说明书雾化环丙沙星-地塞米松的社会经济和成本分析。","authors":"Abbey L Landini, Cyrus W Abrahamson, Jonathan P Kuriakose, Jasmine Stewart, James A Burns, Andrew P Stein","doi":"10.1002/oto2.70156","DOIUrl":null,"url":null,"abstract":"<p><strong>Objective: </strong>Nebulized ciprofloxacin-dexamethasone (CPD) is an adjuvant, off-label treatment used to optimize healing after airway surgery, but there is limited data regarding its accessibility. This study examined socioeconomic factors influencing CPD utilization and assessed its cost.</p><p><strong>Study design: </strong>Retrospective chart review.</p><p><strong>Setting: </strong>Single institution tertiary care center.</p><p><strong>Methods: </strong>All patients prescribed nebulized CPD after endoscopic airway surgery from 2021 to 24 by a single surgeon were analyzed for associations between CPD access and socioeconomic factors including insurance type and Area Deprivation Index (ADI). The typical regimen was 2 mL CPD ophthalmic solution nebulized twice daily for 4 weeks. A model to estimate CPD cost combined retail pricing from GoodRx with cost-sharing calculations from Medicare plans including Aetna, Blue Cross Blue Shield (BCBS), and Cigna, incorporating co-pays, coinsurance, and deductibles.</p><p><strong>Results: </strong>Out of 59 patients prescribed CPD postoperatively, 52 (88.1%) filled their prescription. Patients with Medicaid and Medicare were less likely to access CPD than those with commercial insurance (<i>P</i> = .037). There was no association between ADI and CPD utilization (<i>P</i> = .514). CPD otic and ophthalmic solutions cost $420 and $255, respectively, utilizing GoodRx without insurance. The estimated price of CPD otic solution for patients with Medicare Advantage PPO plans was $340 (Aetna), $1362 (BCBS), and $47 (Cigna), whereas the ophthalmic solution cost $53, $51, and $40, respectively.</p><p><strong>Conclusion: </strong>Nebulized CPD was utilized by most patients regardless of ADI, but less accessible for those with Medicaid and Medicare. Prescribing the ophthalmic formulation instead of otic may significantly reduce cost and promote more equitable care postoperatively.</p>","PeriodicalId":19697,"journal":{"name":"OTO Open","volume":"9 3","pages":"e70156"},"PeriodicalIF":1.8000,"publicationDate":"2025-08-19","publicationTypes":"Journal Article","fieldsOfStudy":null,"isOpenAccess":false,"openAccessPdf":"https://www.ncbi.nlm.nih.gov/pmc/articles/PMC12362295/pdf/","citationCount":"0","resultStr":"{\"title\":\"Socioeconomic and Cost Analysis of Off-Label Nebulized Ciprofloxacin-Dexamethasone Use Following Airway Surgery.\",\"authors\":\"Abbey L Landini, Cyrus W Abrahamson, Jonathan P Kuriakose, Jasmine Stewart, James A Burns, Andrew P Stein\",\"doi\":\"10.1002/oto2.70156\",\"DOIUrl\":null,\"url\":null,\"abstract\":\"<p><strong>Objective: </strong>Nebulized ciprofloxacin-dexamethasone (CPD) is an adjuvant, off-label treatment used to optimize healing after airway surgery, but there is limited data regarding its accessibility. This study examined socioeconomic factors influencing CPD utilization and assessed its cost.</p><p><strong>Study design: </strong>Retrospective chart review.</p><p><strong>Setting: </strong>Single institution tertiary care center.</p><p><strong>Methods: </strong>All patients prescribed nebulized CPD after endoscopic airway surgery from 2021 to 24 by a single surgeon were analyzed for associations between CPD access and socioeconomic factors including insurance type and Area Deprivation Index (ADI). The typical regimen was 2 mL CPD ophthalmic solution nebulized twice daily for 4 weeks. A model to estimate CPD cost combined retail pricing from GoodRx with cost-sharing calculations from Medicare plans including Aetna, Blue Cross Blue Shield (BCBS), and Cigna, incorporating co-pays, coinsurance, and deductibles.</p><p><strong>Results: </strong>Out of 59 patients prescribed CPD postoperatively, 52 (88.1%) filled their prescription. Patients with Medicaid and Medicare were less likely to access CPD than those with commercial insurance (<i>P</i> = .037). There was no association between ADI and CPD utilization (<i>P</i> = .514). CPD otic and ophthalmic solutions cost $420 and $255, respectively, utilizing GoodRx without insurance. The estimated price of CPD otic solution for patients with Medicare Advantage PPO plans was $340 (Aetna), $1362 (BCBS), and $47 (Cigna), whereas the ophthalmic solution cost $53, $51, and $40, respectively.</p><p><strong>Conclusion: </strong>Nebulized CPD was utilized by most patients regardless of ADI, but less accessible for those with Medicaid and Medicare. Prescribing the ophthalmic formulation instead of otic may significantly reduce cost and promote more equitable care postoperatively.</p>\",\"PeriodicalId\":19697,\"journal\":{\"name\":\"OTO Open\",\"volume\":\"9 3\",\"pages\":\"e70156\"},\"PeriodicalIF\":1.8000,\"publicationDate\":\"2025-08-19\",\"publicationTypes\":\"Journal Article\",\"fieldsOfStudy\":null,\"isOpenAccess\":false,\"openAccessPdf\":\"https://www.ncbi.nlm.nih.gov/pmc/articles/PMC12362295/pdf/\",\"citationCount\":\"0\",\"resultStr\":null,\"platform\":\"Semanticscholar\",\"paperid\":null,\"PeriodicalName\":\"OTO Open\",\"FirstCategoryId\":\"1085\",\"ListUrlMain\":\"https://doi.org/10.1002/oto2.70156\",\"RegionNum\":0,\"RegionCategory\":null,\"ArticlePicture\":[],\"TitleCN\":null,\"AbstractTextCN\":null,\"PMCID\":null,\"EPubDate\":\"2025/7/1 0:00:00\",\"PubModel\":\"eCollection\",\"JCR\":\"Q2\",\"JCRName\":\"OTORHINOLARYNGOLOGY\",\"Score\":null,\"Total\":0}","platform":"Semanticscholar","paperid":null,"PeriodicalName":"OTO Open","FirstCategoryId":"1085","ListUrlMain":"https://doi.org/10.1002/oto2.70156","RegionNum":0,"RegionCategory":null,"ArticlePicture":[],"TitleCN":null,"AbstractTextCN":null,"PMCID":null,"EPubDate":"2025/7/1 0:00:00","PubModel":"eCollection","JCR":"Q2","JCRName":"OTORHINOLARYNGOLOGY","Score":null,"Total":0}
引用次数: 0

摘要

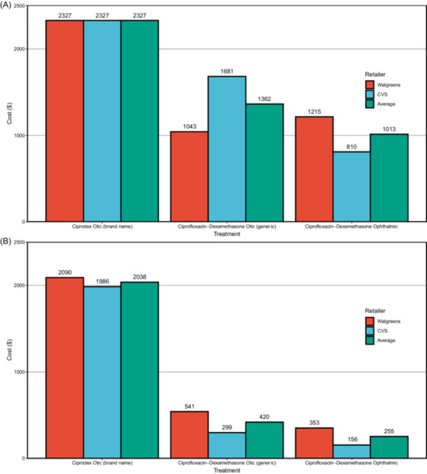
目的:雾化环丙沙星-地塞米松(CPD)是一种辅助治疗,用于优化气道手术后的愈合,但关于其可及性的数据有限。本研究考察了影响CPD利用的社会经济因素,并评估了其成本。研究设计:回顾性图表回顾。环境:单一机构三级保健中心。方法:分析2021年至2024年由单一外科医生在内镜气道手术后处方雾化CPD的所有患者获得CPD与社会经济因素(包括保险类型和区域剥夺指数(ADI))的关系。典型治疗方案为CPD眼液2ml,每日雾化两次,连续4周。该模型将GoodRx的零售定价与安泰保险(Aetna)、蓝十字蓝盾(Blue Cross Blue Shield)和信诺(Cigna)等医疗保险计划的成本分摊计算结合起来,包括自付、共同保险和免赔额。结果:59例术后使用CPD的患者中,52例(88.1%)遵医嘱服药。有医疗补助和医疗保险的患者比有商业保险的患者更不可能获得CPD (P = 0.037)。ADI与CPD使用无相关性(P = .514)。CPD眼科和眼科解决方案分别花费420美元和255美元,使用GoodRx没有保险。对于医疗保险优势PPO计划的患者,CPD眼科溶液的估计价格分别为340美元(Aetna)、1362美元(BCBS)和47美元(Cigna),而眼科溶液的价格分别为53美元、51美元和40美元。结论:雾化CPD被大多数患者使用,而不考虑ADI,但对于那些有医疗补助和医疗保险的患者来说,可获得性较低。处方眼科配方代替眼科处方可显著降低成本,促进术后更公平的护理。
本文章由计算机程序翻译,如有差异,请以英文原文为准。

Socioeconomic and Cost Analysis of Off-Label Nebulized Ciprofloxacin-Dexamethasone Use Following Airway Surgery.

Socioeconomic and Cost Analysis of Off-Label Nebulized Ciprofloxacin-Dexamethasone Use Following Airway Surgery.

Socioeconomic and Cost Analysis of Off-Label Nebulized Ciprofloxacin-Dexamethasone Use Following Airway Surgery.

Objective: Nebulized ciprofloxacin-dexamethasone (CPD) is an adjuvant, off-label treatment used to optimize healing after airway surgery, but there is limited data regarding its accessibility. This study examined socioeconomic factors influencing CPD utilization and assessed its cost.

Study design: Retrospective chart review.

Setting: Single institution tertiary care center.

Methods: All patients prescribed nebulized CPD after endoscopic airway surgery from 2021 to 24 by a single surgeon were analyzed for associations between CPD access and socioeconomic factors including insurance type and Area Deprivation Index (ADI). The typical regimen was 2 mL CPD ophthalmic solution nebulized twice daily for 4 weeks. A model to estimate CPD cost combined retail pricing from GoodRx with cost-sharing calculations from Medicare plans including Aetna, Blue Cross Blue Shield (BCBS), and Cigna, incorporating co-pays, coinsurance, and deductibles.

Results: Out of 59 patients prescribed CPD postoperatively, 52 (88.1%) filled their prescription. Patients with Medicaid and Medicare were less likely to access CPD than those with commercial insurance (P = .037). There was no association between ADI and CPD utilization (P = .514). CPD otic and ophthalmic solutions cost $420 and $255, respectively, utilizing GoodRx without insurance. The estimated price of CPD otic solution for patients with Medicare Advantage PPO plans was $340 (Aetna), $1362 (BCBS), and $47 (Cigna), whereas the ophthalmic solution cost $53, $51, and $40, respectively.

Conclusion: Nebulized CPD was utilized by most patients regardless of ADI, but less accessible for those with Medicaid and Medicare. Prescribing the ophthalmic formulation instead of otic may significantly reduce cost and promote more equitable care postoperatively.

求助全文
通过发布文献求助,成功后即可免费获取论文全文。 去求助
来源期刊
OTO Open
OTO Open Medicine-Surgery
CiteScore
2.70
自引率
0.00%
发文量
115
审稿时长
15 weeks
×
引用
GB/T 7714-2015
复制
MLA
复制
APA
复制
导出至
BibTeX EndNote RefMan NoteFirst NoteExpress
×
提示
您的信息不完整,为了账户安全,请先补充。
现在去补充
×
提示
您因"违规操作"
具体请查看互助需知
我知道了
×
提示
确定
请完成安全验证×
copy
已复制链接
快去分享给好友吧!
我知道了
右上角分享
点击右上角分享
0
联系我们:info@booksci.cn Book学术提供免费学术资源搜索服务,方便国内外学者检索中英文文献。致力于提供最便捷和优质的服务体验。 Copyright © 2023 布克学术 All rights reserved.
京ICP备2023020795号-1
ghs 京公网安备 11010802042870号
Book学术文献互助
Book学术文献互助群
群 号:604180095
Book学术官方微信