认知脱离综合征、注意缺陷/多动障碍与情绪调节障碍的关系:儿童和青少年的一项双胞胎研究。

IF 2 Q3 BIOCHEMICAL RESEARCH METHODS
Simona Scaini, Stefano De Francesco, Ludovica Giani, Marco Battaglia, Emanuela Medda, Corrado Fagnani
{"title":"认知脱离综合征、注意缺陷/多动障碍与情绪调节障碍的关系:儿童和青少年的一项双胞胎研究。","authors":"Simona Scaini, Stefano De Francesco, Ludovica Giani, Marco Battaglia, Emanuela Medda, Corrado Fagnani","doi":"10.3390/mps8040094","DOIUrl":null,"url":null,"abstract":"<p><p>Data on the genetic and environmental factors underlying the co-occurrence of Cognitive Disengagement Syndrome (CDS), Attention Deficit Hyperactivity Disorder (ADHD), and Emotional Dysregulation (ED) are limited. This study aimed to explore the nature of the associations between CDS, ADHD with ED, and to assess the role of shared etiological factors in explaining their comorbidity. We analyzed a sample of 400 Italian twin pairs aged 8-18, from Northern Italy and enrolled in the Italian Twin Registry. Bivariate genetic analyses were conducted using parent-rated CBCL scores for CDS, ADHD, and ED. For both CDS-ED and ADHD-ED associations, the best-fitting models were Cholesky AE models (-2LL = -849.167 and -339.030, respectively; <i>p</i> > 0.05), suggesting that the covariation was mainly due to additive genetic factors (CDS-ED-A = 0.81, 95% CI [0.66-0.95]; ADHD-ED-A = 0.86, 95% CI [0.75-0.95]). More than half of the genes were shown to be shared among the phenotypes. Non-shared environmental contributions were smaller (CDS-ED-E = 0.19, 95% CI [0.05-0.34]; ADHD-ED-E = 0.14, 95% CI [0.05-0.25]), indicating interrelated but distinct constructs. Despite some limitations, particularly the exclusive use of the CBCL, findings highlight the importance of monitoring ED symptoms in individuals with CDS or ADHD, and vice versa.</p>","PeriodicalId":18715,"journal":{"name":"Methods and Protocols","volume":"8 4","pages":""},"PeriodicalIF":2.0000,"publicationDate":"2025-08-11","publicationTypes":"Journal Article","fieldsOfStudy":null,"isOpenAccess":false,"openAccessPdf":"https://www.ncbi.nlm.nih.gov/pmc/articles/PMC12388083/pdf/","citationCount":"0","resultStr":"{\"title\":\"Exploring the Relationship of Cognitive Disengagement Syndrome and Attention Deficit/Hyperactivity Disorder with Emotional Dysregulation: A Twin Study in Childhood and Adolescence.\",\"authors\":\"Simona Scaini, Stefano De Francesco, Ludovica Giani, Marco Battaglia, Emanuela Medda, Corrado Fagnani\",\"doi\":\"10.3390/mps8040094\",\"DOIUrl\":null,\"url\":null,\"abstract\":\"<p><p>Data on the genetic and environmental factors underlying the co-occurrence of Cognitive Disengagement Syndrome (CDS), Attention Deficit Hyperactivity Disorder (ADHD), and Emotional Dysregulation (ED) are limited. This study aimed to explore the nature of the associations between CDS, ADHD with ED, and to assess the role of shared etiological factors in explaining their comorbidity. We analyzed a sample of 400 Italian twin pairs aged 8-18, from Northern Italy and enrolled in the Italian Twin Registry. Bivariate genetic analyses were conducted using parent-rated CBCL scores for CDS, ADHD, and ED. For both CDS-ED and ADHD-ED associations, the best-fitting models were Cholesky AE models (-2LL = -849.167 and -339.030, respectively; <i>p</i> > 0.05), suggesting that the covariation was mainly due to additive genetic factors (CDS-ED-A = 0.81, 95% CI [0.66-0.95]; ADHD-ED-A = 0.86, 95% CI [0.75-0.95]). More than half of the genes were shown to be shared among the phenotypes. Non-shared environmental contributions were smaller (CDS-ED-E = 0.19, 95% CI [0.05-0.34]; ADHD-ED-E = 0.14, 95% CI [0.05-0.25]), indicating interrelated but distinct constructs. Despite some limitations, particularly the exclusive use of the CBCL, findings highlight the importance of monitoring ED symptoms in individuals with CDS or ADHD, and vice versa.</p>\",\"PeriodicalId\":18715,\"journal\":{\"name\":\"Methods and Protocols\",\"volume\":\"8 4\",\"pages\":\"\"},\"PeriodicalIF\":2.0000,\"publicationDate\":\"2025-08-11\",\"publicationTypes\":\"Journal Article\",\"fieldsOfStudy\":null,\"isOpenAccess\":false,\"openAccessPdf\":\"https://www.ncbi.nlm.nih.gov/pmc/articles/PMC12388083/pdf/\",\"citationCount\":\"0\",\"resultStr\":null,\"platform\":\"Semanticscholar\",\"paperid\":null,\"PeriodicalName\":\"Methods and Protocols\",\"FirstCategoryId\":\"1085\",\"ListUrlMain\":\"https://doi.org/10.3390/mps8040094\",\"RegionNum\":0,\"RegionCategory\":null,\"ArticlePicture\":[],\"TitleCN\":null,\"AbstractTextCN\":null,\"PMCID\":null,\"EPubDate\":\"\",\"PubModel\":\"\",\"JCR\":\"Q3\",\"JCRName\":\"BIOCHEMICAL RESEARCH METHODS\",\"Score\":null,\"Total\":0}","platform":"Semanticscholar","paperid":null,"PeriodicalName":"Methods and Protocols","FirstCategoryId":"1085","ListUrlMain":"https://doi.org/10.3390/mps8040094","RegionNum":0,"RegionCategory":null,"ArticlePicture":[],"TitleCN":null,"AbstractTextCN":null,"PMCID":null,"EPubDate":"","PubModel":"","JCR":"Q3","JCRName":"BIOCHEMICAL RESEARCH METHODS","Score":null,"Total":0}
引用次数: 0

摘要

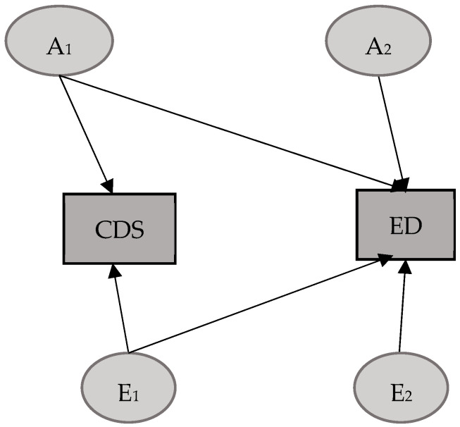
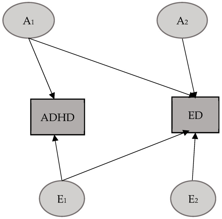
关于认知脱离综合征(CDS)、注意缺陷多动障碍(ADHD)和情绪调节障碍(ED)共同发生的遗传和环境因素的数据有限。本研究旨在探讨CDS、ADHD与ED之间关联的本质,并评估共同病因因素在解释其合并症中的作用。我们分析了400对8-18岁的意大利双胞胎样本,他们来自意大利北部,并登记在意大利双胞胎登记处。双变量遗传分析使用父母评定的cd、ADHD和ED的CBCL评分进行。对于CDS-ED和ADHD-ED的关联,最佳拟合模型均为Cholesky AE模型(-2LL = -849.167和-339.030,p > 0.05),表明协变主要是由于加性遗传因素(CDS-ED- a = 0.81, 95% CI [0.66-0.95]; ADHD-ED- a = 0.86, 95% CI[0.75-0.95])。超过一半的基因在表现型中是共享的。非共享环境的贡献较小(CDS-ED-E = 0.19, 95% CI [0.05-0.34]; ADHD-ED-E = 0.14, 95% CI[0.05-0.25]),表明相关但不同的结构。尽管存在一些局限性,特别是CBCL的单独使用,但研究结果强调了监测CDS或ADHD患者ED症状的重要性,反之亦然。
本文章由计算机程序翻译,如有差异,请以英文原文为准。

Exploring the Relationship of Cognitive Disengagement Syndrome and Attention Deficit/Hyperactivity Disorder with Emotional Dysregulation: A Twin Study in Childhood and Adolescence.

Exploring the Relationship of Cognitive Disengagement Syndrome and Attention Deficit/Hyperactivity Disorder with Emotional Dysregulation: A Twin Study in Childhood and Adolescence.

Exploring the Relationship of Cognitive Disengagement Syndrome and Attention Deficit/Hyperactivity Disorder with Emotional Dysregulation: A Twin Study in Childhood and Adolescence.

Data on the genetic and environmental factors underlying the co-occurrence of Cognitive Disengagement Syndrome (CDS), Attention Deficit Hyperactivity Disorder (ADHD), and Emotional Dysregulation (ED) are limited. This study aimed to explore the nature of the associations between CDS, ADHD with ED, and to assess the role of shared etiological factors in explaining their comorbidity. We analyzed a sample of 400 Italian twin pairs aged 8-18, from Northern Italy and enrolled in the Italian Twin Registry. Bivariate genetic analyses were conducted using parent-rated CBCL scores for CDS, ADHD, and ED. For both CDS-ED and ADHD-ED associations, the best-fitting models were Cholesky AE models (-2LL = -849.167 and -339.030, respectively; p > 0.05), suggesting that the covariation was mainly due to additive genetic factors (CDS-ED-A = 0.81, 95% CI [0.66-0.95]; ADHD-ED-A = 0.86, 95% CI [0.75-0.95]). More than half of the genes were shown to be shared among the phenotypes. Non-shared environmental contributions were smaller (CDS-ED-E = 0.19, 95% CI [0.05-0.34]; ADHD-ED-E = 0.14, 95% CI [0.05-0.25]), indicating interrelated but distinct constructs. Despite some limitations, particularly the exclusive use of the CBCL, findings highlight the importance of monitoring ED symptoms in individuals with CDS or ADHD, and vice versa.

求助全文
通过发布文献求助,成功后即可免费获取论文全文。 去求助
来源期刊
Methods and Protocols
Methods and Protocols Biochemistry, Genetics and Molecular Biology-Biochemistry, Genetics and Molecular Biology (miscellaneous)
CiteScore
3.60
自引率
0.00%
发文量
85
审稿时长
8 weeks
×
引用
GB/T 7714-2015
复制
MLA
复制
APA
复制
导出至
BibTeX EndNote RefMan NoteFirst NoteExpress
×
提示
您的信息不完整,为了账户安全,请先补充。
现在去补充
×
提示
您因"违规操作"
具体请查看互助需知
我知道了
×
提示
确定
请完成安全验证×
copy
已复制链接
快去分享给好友吧!
我知道了
右上角分享
点击右上角分享
0
联系我们:info@booksci.cn Book学术提供免费学术资源搜索服务,方便国内外学者检索中英文文献。致力于提供最便捷和优质的服务体验。 Copyright © 2023 布克学术 All rights reserved.
京ICP备2023020795号-1
ghs 京公网安备 11010802042870号
Book学术文献互助
Book学术文献互助群
群 号:604180095
Book学术官方微信