优化细胞密度和揭示DMSO和乙醇在六种癌细胞系的细胞毒性谱:实验和硅的见解。

IF 2 Q3 BIOCHEMICAL RESEARCH METHODS
Abutaleb Asiri, Munazzah Tasleem, Muwadah Al Said, Abdulaziz Asiri, Ali Ahmed Al Qarni, Ahmed Bakillah
{"title":"优化细胞密度和揭示DMSO和乙醇在六种癌细胞系的细胞毒性谱:实验和硅的见解。","authors":"Abutaleb Asiri, Munazzah Tasleem, Muwadah Al Said, Abdulaziz Asiri, Ali Ahmed Al Qarni, Ahmed Bakillah","doi":"10.3390/mps8040093","DOIUrl":null,"url":null,"abstract":"<p><p><b>Background:</b> Accurate assessment of drug cytotoxicity in vitro is essential for preclinical evaluation of anticancer agents. Methodological parameters such as cell density and solvent concentrations can significantly influence the reproducibility and reliability of cell-based assay results. <b>Objective:</b> This study aims to optimize cell seeding density and evaluate the cytotoxic effects of common solvents (DMSO and ethanol) on different cancer cell lines, complemented by in silico analysis to elucidate underlying mechanisms. <b>Materials and Methods:</b> Six cancer cell lines (HepG2, Huh7, HT29, SW480, MCF-7, and MDA-MB-231) were seeded at different densities to determine the optimal cell seeding number ideal for cell viability assay at 24, 48, and 72 h. The cytotoxicity of DMSO and ethanol was assessed in these cell lines using an MTT assay at multiple time points. In silico docking studies were conducted to investigate the interactions between solvents and key proteins involved in apoptosis, membrane function, and metabolism. <b>Results:</b> A cell density of 2000 cells per well yielded consistent linear viability across cell lines and time points. DMSO at 0.3125% showed minimal cytotoxicity across all cell lines (except MCF-7) and time points; the cytotoxic effect at higher concentrations is variable depending on cell type and exposure duration. Ethanol exhibited rapid and concentration-dependent cytotoxicity, reducing viability by more than 30% at as low as 0.3125% concentration after 24 h. Docking analyses revealed that DMSO binds specifically to apoptotic and membrane proteins, suggesting a role in inducing apoptosis. In contrast, ethanol primarily interacts with metabolic proteins, consistent with its effect on membrane disruption and rapid cell death. <b>Conclusion:</b> DMSO at 0.3125% is a good choice as a solvent since it has low toxicity in most tested cell lines; however, the safe concentration limit is dependent on cell type and exposure duration. Ethanol exhibited higher cytotoxicity, necessitating careful concentration management. The in silico analysis supports these findings, indicating that DMSO interacts with apoptosis-related proteins, whereas ethanol primarily affects metabolic processes. These results highlight the importance of precise cell density optimization and solvents for reliable cytotoxicity assessment in cell-based assays.</p>","PeriodicalId":18715,"journal":{"name":"Methods and Protocols","volume":"8 4","pages":""},"PeriodicalIF":2.0000,"publicationDate":"2025-08-10","publicationTypes":"Journal Article","fieldsOfStudy":null,"isOpenAccess":false,"openAccessPdf":"https://www.ncbi.nlm.nih.gov/pmc/articles/PMC12388702/pdf/","citationCount":"0","resultStr":"{\"title\":\"Optimizing Cell Density and Unveiling Cytotoxic Profiles of DMSO and Ethanol in Six Cancer Cell Lines: Experimental and In Silico Insights.\",\"authors\":\"Abutaleb Asiri, Munazzah Tasleem, Muwadah Al Said, Abdulaziz Asiri, Ali Ahmed Al Qarni, Ahmed Bakillah\",\"doi\":\"10.3390/mps8040093\",\"DOIUrl\":null,\"url\":null,\"abstract\":\"<p><p><b>Background:</b> Accurate assessment of drug cytotoxicity in vitro is essential for preclinical evaluation of anticancer agents. Methodological parameters such as cell density and solvent concentrations can significantly influence the reproducibility and reliability of cell-based assay results. <b>Objective:</b> This study aims to optimize cell seeding density and evaluate the cytotoxic effects of common solvents (DMSO and ethanol) on different cancer cell lines, complemented by in silico analysis to elucidate underlying mechanisms. <b>Materials and Methods:</b> Six cancer cell lines (HepG2, Huh7, HT29, SW480, MCF-7, and MDA-MB-231) were seeded at different densities to determine the optimal cell seeding number ideal for cell viability assay at 24, 48, and 72 h. The cytotoxicity of DMSO and ethanol was assessed in these cell lines using an MTT assay at multiple time points. In silico docking studies were conducted to investigate the interactions between solvents and key proteins involved in apoptosis, membrane function, and metabolism. <b>Results:</b> A cell density of 2000 cells per well yielded consistent linear viability across cell lines and time points. DMSO at 0.3125% showed minimal cytotoxicity across all cell lines (except MCF-7) and time points; the cytotoxic effect at higher concentrations is variable depending on cell type and exposure duration. Ethanol exhibited rapid and concentration-dependent cytotoxicity, reducing viability by more than 30% at as low as 0.3125% concentration after 24 h. Docking analyses revealed that DMSO binds specifically to apoptotic and membrane proteins, suggesting a role in inducing apoptosis. In contrast, ethanol primarily interacts with metabolic proteins, consistent with its effect on membrane disruption and rapid cell death. <b>Conclusion:</b> DMSO at 0.3125% is a good choice as a solvent since it has low toxicity in most tested cell lines; however, the safe concentration limit is dependent on cell type and exposure duration. Ethanol exhibited higher cytotoxicity, necessitating careful concentration management. The in silico analysis supports these findings, indicating that DMSO interacts with apoptosis-related proteins, whereas ethanol primarily affects metabolic processes. These results highlight the importance of precise cell density optimization and solvents for reliable cytotoxicity assessment in cell-based assays.</p>\",\"PeriodicalId\":18715,\"journal\":{\"name\":\"Methods and Protocols\",\"volume\":\"8 4\",\"pages\":\"\"},\"PeriodicalIF\":2.0000,\"publicationDate\":\"2025-08-10\",\"publicationTypes\":\"Journal Article\",\"fieldsOfStudy\":null,\"isOpenAccess\":false,\"openAccessPdf\":\"https://www.ncbi.nlm.nih.gov/pmc/articles/PMC12388702/pdf/\",\"citationCount\":\"0\",\"resultStr\":null,\"platform\":\"Semanticscholar\",\"paperid\":null,\"PeriodicalName\":\"Methods and Protocols\",\"FirstCategoryId\":\"1085\",\"ListUrlMain\":\"https://doi.org/10.3390/mps8040093\",\"RegionNum\":0,\"RegionCategory\":null,\"ArticlePicture\":[],\"TitleCN\":null,\"AbstractTextCN\":null,\"PMCID\":null,\"EPubDate\":\"\",\"PubModel\":\"\",\"JCR\":\"Q3\",\"JCRName\":\"BIOCHEMICAL RESEARCH METHODS\",\"Score\":null,\"Total\":0}","platform":"Semanticscholar","paperid":null,"PeriodicalName":"Methods and Protocols","FirstCategoryId":"1085","ListUrlMain":"https://doi.org/10.3390/mps8040093","RegionNum":0,"RegionCategory":null,"ArticlePicture":[],"TitleCN":null,"AbstractTextCN":null,"PMCID":null,"EPubDate":"","PubModel":"","JCR":"Q3","JCRName":"BIOCHEMICAL RESEARCH METHODS","Score":null,"Total":0}
引用次数: 0

摘要

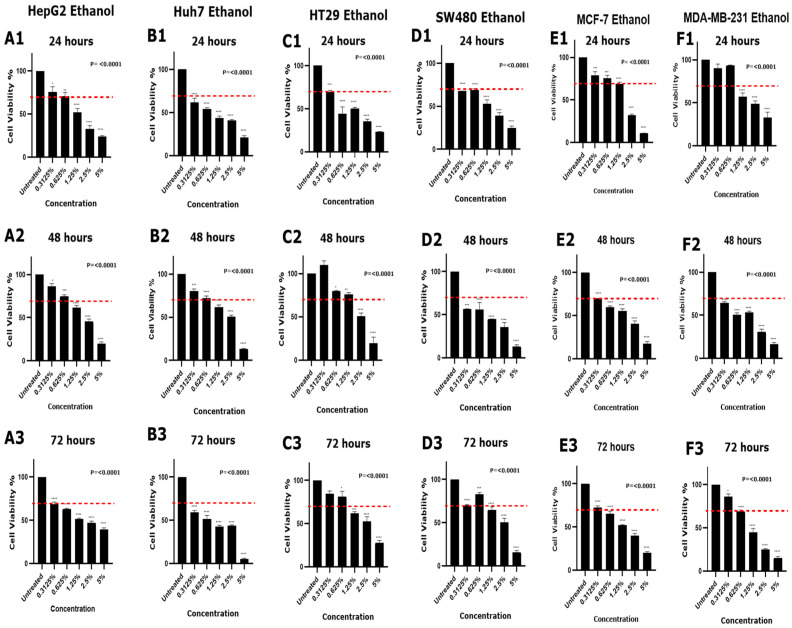
背景:准确的体外细胞毒性评估对抗癌药物的临床前评估至关重要。方法参数,如细胞密度和溶剂浓度可以显著影响基于细胞的测定结果的重复性和可靠性。目的:本研究旨在优化细胞播种密度,评估常见溶剂(DMSO和乙醇)对不同癌细胞的细胞毒性作用,并结合计算机分析阐明其潜在机制。材料和方法:以不同密度播种6株癌细胞(HepG2、Huh7、HT29、SW480、MCF-7和MDA-MB-231),以确定在24、48和72小时进行细胞活力测定的最佳细胞播种数。使用MTT法在多个时间点评估DMSO和乙醇在这些细胞系中的细胞毒性。在硅对接研究中,研究了溶剂与参与细胞凋亡、膜功能和代谢的关键蛋白之间的相互作用。结果:每孔2000个细胞的细胞密度在细胞系和时间点上产生一致的线性活力。0.3125% DMSO对所有细胞系(MCF-7除外)和时间点的细胞毒性最小;高浓度的细胞毒性作用取决于细胞类型和暴露时间。乙醇表现出快速且浓度依赖的细胞毒性,当浓度低至0.3125%时,24小时后细胞活力降低30%以上。对接分析显示,DMSO特异性结合凋亡蛋白和膜蛋白,提示其在诱导细胞凋亡中起作用。相反,乙醇主要与代谢蛋白相互作用,这与它对膜破坏和细胞快速死亡的影响是一致的。结论:0.3125%浓度的DMSO对大多数被试细胞系毒性较低,是较好的溶剂选择;然而,安全浓度限值取决于细胞类型和暴露时间。乙醇表现出较高的细胞毒性,需要仔细的浓度管理。计算机分析支持这些发现,表明DMSO与凋亡相关蛋白相互作用,而乙醇主要影响代谢过程。这些结果强调了精确的细胞密度优化和可靠的细胞毒性评估的溶剂在细胞为基础的分析的重要性。
本文章由计算机程序翻译,如有差异,请以英文原文为准。

Optimizing Cell Density and Unveiling Cytotoxic Profiles of DMSO and Ethanol in Six Cancer Cell Lines: Experimental and In Silico Insights.

Optimizing Cell Density and Unveiling Cytotoxic Profiles of DMSO and Ethanol in Six Cancer Cell Lines: Experimental and In Silico Insights.

Optimizing Cell Density and Unveiling Cytotoxic Profiles of DMSO and Ethanol in Six Cancer Cell Lines: Experimental and In Silico Insights.

Optimizing Cell Density and Unveiling Cytotoxic Profiles of DMSO and Ethanol in Six Cancer Cell Lines: Experimental and In Silico Insights.

Background: Accurate assessment of drug cytotoxicity in vitro is essential for preclinical evaluation of anticancer agents. Methodological parameters such as cell density and solvent concentrations can significantly influence the reproducibility and reliability of cell-based assay results. Objective: This study aims to optimize cell seeding density and evaluate the cytotoxic effects of common solvents (DMSO and ethanol) on different cancer cell lines, complemented by in silico analysis to elucidate underlying mechanisms. Materials and Methods: Six cancer cell lines (HepG2, Huh7, HT29, SW480, MCF-7, and MDA-MB-231) were seeded at different densities to determine the optimal cell seeding number ideal for cell viability assay at 24, 48, and 72 h. The cytotoxicity of DMSO and ethanol was assessed in these cell lines using an MTT assay at multiple time points. In silico docking studies were conducted to investigate the interactions between solvents and key proteins involved in apoptosis, membrane function, and metabolism. Results: A cell density of 2000 cells per well yielded consistent linear viability across cell lines and time points. DMSO at 0.3125% showed minimal cytotoxicity across all cell lines (except MCF-7) and time points; the cytotoxic effect at higher concentrations is variable depending on cell type and exposure duration. Ethanol exhibited rapid and concentration-dependent cytotoxicity, reducing viability by more than 30% at as low as 0.3125% concentration after 24 h. Docking analyses revealed that DMSO binds specifically to apoptotic and membrane proteins, suggesting a role in inducing apoptosis. In contrast, ethanol primarily interacts with metabolic proteins, consistent with its effect on membrane disruption and rapid cell death. Conclusion: DMSO at 0.3125% is a good choice as a solvent since it has low toxicity in most tested cell lines; however, the safe concentration limit is dependent on cell type and exposure duration. Ethanol exhibited higher cytotoxicity, necessitating careful concentration management. The in silico analysis supports these findings, indicating that DMSO interacts with apoptosis-related proteins, whereas ethanol primarily affects metabolic processes. These results highlight the importance of precise cell density optimization and solvents for reliable cytotoxicity assessment in cell-based assays.

求助全文
通过发布文献求助,成功后即可免费获取论文全文。 去求助
来源期刊
Methods and Protocols
Methods and Protocols Biochemistry, Genetics and Molecular Biology-Biochemistry, Genetics and Molecular Biology (miscellaneous)
CiteScore
3.60
自引率
0.00%
发文量
85
审稿时长
8 weeks
×
引用
GB/T 7714-2015
复制
MLA
复制
APA
复制
导出至
BibTeX EndNote RefMan NoteFirst NoteExpress
×
提示
您的信息不完整,为了账户安全,请先补充。
现在去补充
×
提示
您因"违规操作"
具体请查看互助需知
我知道了
×
提示
确定
请完成安全验证×
copy
已复制链接
快去分享给好友吧!
我知道了
右上角分享
点击右上角分享
0
联系我们:info@booksci.cn Book学术提供免费学术资源搜索服务,方便国内外学者检索中英文文献。致力于提供最便捷和优质的服务体验。 Copyright © 2023 布克学术 All rights reserved.
京ICP备2023020795号-1
ghs 京公网安备 11010802042870号
Book学术文献互助
Book学术文献互助群
群 号:604180095
Book学术官方微信