温度和营养胁迫对印度城市疟媒斯氏按蚊的影响。

IF 3 3区 医学 Q3 INFECTIOUS DISEASES
Chaitali Ghosh, Naveen Kumar, Soumya Mogaveerthi, Sanjay Lamba, Chethan Kumar Ramanjini, Soumya Gopal Joshi, Priyanka Chandran, Sampath Kumar, Sunita Swain
{"title":"温度和营养胁迫对印度城市疟媒斯氏按蚊的影响。","authors":"Chaitali Ghosh, Naveen Kumar, Soumya Mogaveerthi, Sanjay Lamba, Chethan Kumar Ramanjini, Soumya Gopal Joshi, Priyanka Chandran, Sampath Kumar, Sunita Swain","doi":"10.1186/s12936-025-05402-w","DOIUrl":null,"url":null,"abstract":"<p><strong>Background: </strong>Changing climate and complexity in ecological landscape can potentially expand the geographic distribution of mosquitoes (Diptera: Culicidae) to adapt and transmit various vector-borne diseases, including malaria. Anopheles stephensi is a potential urban malaria vector in the Indian subcontinent. Temperature and nutrients are the important environmental stressors, which influence the life cycle and vectorial competence of mosquitoes.</p><p><strong>Methods: </strong>Three experimental setups were designed in the laboratory by exposing An. stephensi to low-temperature (LT) at 4 °C for eggs and 18 ± 1 °C for larvae to adults, high-temperature (HT) at 35.5 ± 1 °C for all life stages, and low nutrition (NT) at 33 mg/100 larvae. Baseline assays were conducted before each experiment. Stress was induced to eggs, larvae, pupae and adults for 8 consecutive generations, whereas vectorial competence and chromosomal inversion experiments were performed on adult females at the 8th generation. Parameters of life-history traits, including fecundity (number of eggs), egg hatchability (fertility), developmental time, longevity of adults, sex ratio, egg and wing morphometrics, and pupal mass were measured for fitness status. The LT, HT and NT lines were infected with in vitro cultured Plasmodium falciparum parasites to compare the vectorial competence. Ovarian polytene chromosomes of the three stressed lines were analysed to check the structural differences on the chromosomal arms for adaptation due to stress conditions. The predictive mathematical modelling using linear regression was analysed to estimate the number of generations required for the stressed lines to become normal comparable to the control lines.</p><p><strong>Results: </strong>Fecundity, egg hatchability, egg-to-adult developmental time, longevity of adults, egg and wing morphometrics, and pupal mass were decreased in HT and NT lines, whereas these parameters were increased in the LT line. The mosquitoes of HT and NT lines developed faster from egg to adult emergence (~ 7.5 and 11 days, respectively), whereas the duration was longer (~ 25 days) in the LT line. The oocyst infection rates of P. falciparum increased by 1.46 folds in HT, 1.28 folds in LT, and 1.15 folds in NT lines, respectively, compared to the control line. Paracentric inversions were observed on 2 locations on the 3L chromosomal arm of the NT line. Furthermore, the predictive linear model suggested faster adaptation of LT than HT and NT lines.</p><p><strong>Conclusion: </strong>The present transgenerational laboratory-based study on An. stephensi provides novel insights into the effects of stressors on the life cycle, egg and wing size, vectorial competence, chromosomal inversions and adaptation. These findings aid in assessing malaria incidence trends and help in developing suitable intervention measures.</p>","PeriodicalId":18317,"journal":{"name":"Malaria Journal","volume":"24 1","pages":"269"},"PeriodicalIF":3.0000,"publicationDate":"2025-08-20","publicationTypes":"Journal Article","fieldsOfStudy":null,"isOpenAccess":false,"openAccessPdf":"https://www.ncbi.nlm.nih.gov/pmc/articles/PMC12366060/pdf/","citationCount":"0","resultStr":"{\"title\":\"Effects of temperature and nutrition stress on Anopheles stephensi, an Indian urban malaria vector.\",\"authors\":\"Chaitali Ghosh, Naveen Kumar, Soumya Mogaveerthi, Sanjay Lamba, Chethan Kumar Ramanjini, Soumya Gopal Joshi, Priyanka Chandran, Sampath Kumar, Sunita Swain\",\"doi\":\"10.1186/s12936-025-05402-w\",\"DOIUrl\":null,\"url\":null,\"abstract\":\"<p><strong>Background: </strong>Changing climate and complexity in ecological landscape can potentially expand the geographic distribution of mosquitoes (Diptera: Culicidae) to adapt and transmit various vector-borne diseases, including malaria. Anopheles stephensi is a potential urban malaria vector in the Indian subcontinent. Temperature and nutrients are the important environmental stressors, which influence the life cycle and vectorial competence of mosquitoes.</p><p><strong>Methods: </strong>Three experimental setups were designed in the laboratory by exposing An. stephensi to low-temperature (LT) at 4 °C for eggs and 18 ± 1 °C for larvae to adults, high-temperature (HT) at 35.5 ± 1 °C for all life stages, and low nutrition (NT) at 33 mg/100 larvae. Baseline assays were conducted before each experiment. Stress was induced to eggs, larvae, pupae and adults for 8 consecutive generations, whereas vectorial competence and chromosomal inversion experiments were performed on adult females at the 8th generation. Parameters of life-history traits, including fecundity (number of eggs), egg hatchability (fertility), developmental time, longevity of adults, sex ratio, egg and wing morphometrics, and pupal mass were measured for fitness status. The LT, HT and NT lines were infected with in vitro cultured Plasmodium falciparum parasites to compare the vectorial competence. Ovarian polytene chromosomes of the three stressed lines were analysed to check the structural differences on the chromosomal arms for adaptation due to stress conditions. The predictive mathematical modelling using linear regression was analysed to estimate the number of generations required for the stressed lines to become normal comparable to the control lines.</p><p><strong>Results: </strong>Fecundity, egg hatchability, egg-to-adult developmental time, longevity of adults, egg and wing morphometrics, and pupal mass were decreased in HT and NT lines, whereas these parameters were increased in the LT line. The mosquitoes of HT and NT lines developed faster from egg to adult emergence (~ 7.5 and 11 days, respectively), whereas the duration was longer (~ 25 days) in the LT line. The oocyst infection rates of P. falciparum increased by 1.46 folds in HT, 1.28 folds in LT, and 1.15 folds in NT lines, respectively, compared to the control line. Paracentric inversions were observed on 2 locations on the 3L chromosomal arm of the NT line. Furthermore, the predictive linear model suggested faster adaptation of LT than HT and NT lines.</p><p><strong>Conclusion: </strong>The present transgenerational laboratory-based study on An. stephensi provides novel insights into the effects of stressors on the life cycle, egg and wing size, vectorial competence, chromosomal inversions and adaptation. These findings aid in assessing malaria incidence trends and help in developing suitable intervention measures.</p>\",\"PeriodicalId\":18317,\"journal\":{\"name\":\"Malaria Journal\",\"volume\":\"24 1\",\"pages\":\"269\"},\"PeriodicalIF\":3.0000,\"publicationDate\":\"2025-08-20\",\"publicationTypes\":\"Journal Article\",\"fieldsOfStudy\":null,\"isOpenAccess\":false,\"openAccessPdf\":\"https://www.ncbi.nlm.nih.gov/pmc/articles/PMC12366060/pdf/\",\"citationCount\":\"0\",\"resultStr\":null,\"platform\":\"Semanticscholar\",\"paperid\":null,\"PeriodicalName\":\"Malaria Journal\",\"FirstCategoryId\":\"3\",\"ListUrlMain\":\"https://doi.org/10.1186/s12936-025-05402-w\",\"RegionNum\":3,\"RegionCategory\":\"医学\",\"ArticlePicture\":[],\"TitleCN\":null,\"AbstractTextCN\":null,\"PMCID\":null,\"EPubDate\":\"\",\"PubModel\":\"\",\"JCR\":\"Q3\",\"JCRName\":\"INFECTIOUS DISEASES\",\"Score\":null,\"Total\":0}","platform":"Semanticscholar","paperid":null,"PeriodicalName":"Malaria Journal","FirstCategoryId":"3","ListUrlMain":"https://doi.org/10.1186/s12936-025-05402-w","RegionNum":3,"RegionCategory":"医学","ArticlePicture":[],"TitleCN":null,"AbstractTextCN":null,"PMCID":null,"EPubDate":"","PubModel":"","JCR":"Q3","JCRName":"INFECTIOUS DISEASES","Score":null,"Total":0}
引用次数: 0

摘要

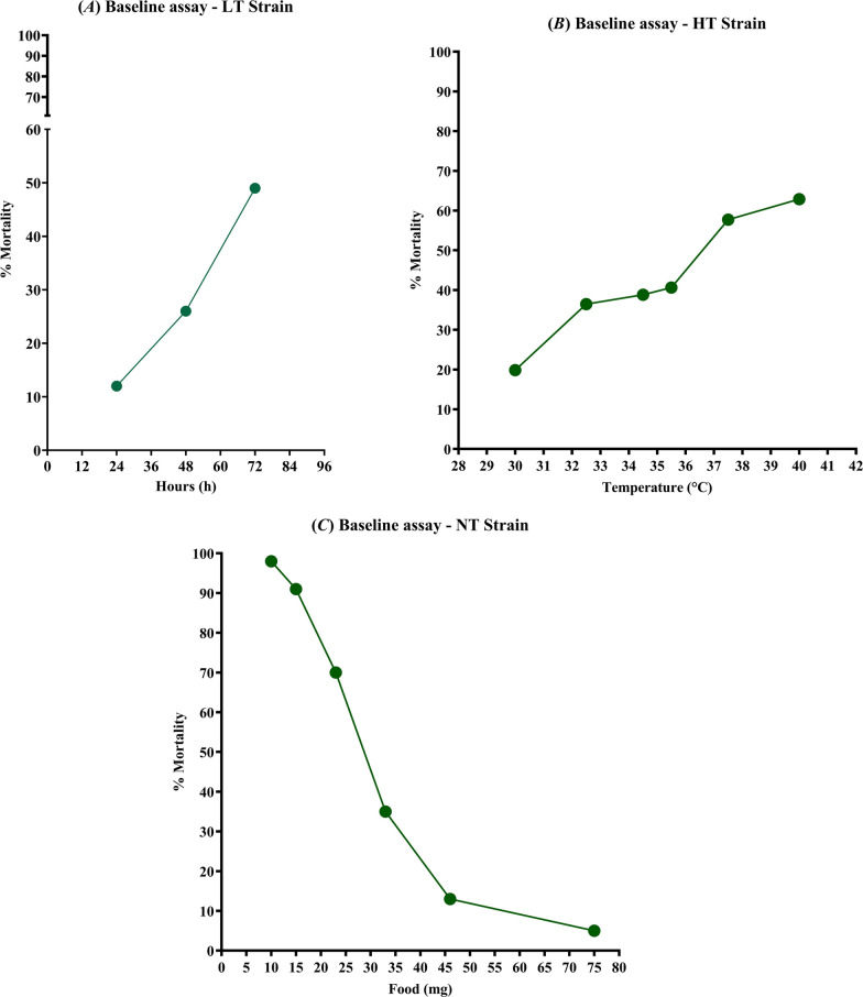
背景:气候变化和生态景观的复杂性可能扩大蚊子(双翅目:库蚊科)的地理分布,以适应和传播包括疟疾在内的各种媒介传播疾病。在印度次大陆,斯氏按蚊是潜在的城市疟疾媒介。温度和养分是影响蚊虫生命周期和媒介能力的重要环境胁迫因子。方法:在实验室内设计3个实验装置。幼虫至成虫为低温(LT),卵为4℃,幼虫为18±1℃,所有生命阶段为高温(HT), 35.5±1℃,低营养(NT)为33 mg/100只幼虫。每次实验前进行基线分析。连续8代对卵、幼虫、蛹和成虫进行应激诱导,第8代对成虫进行媒介能力和染色体倒置实验。测定了生活史性状参数,包括繁殖力(卵数)、卵孵化率(育性)、发育时间、成虫寿命、性别比、卵和翅膀形态计量、蛹质量等。用体外培养的恶性疟原虫感染LT、HT和NT系,比较其载体能力。分析了三个受胁迫系的卵巢多烯染色体,以检查染色体臂上的结构差异,以适应应激条件。利用线性回归分析了预测数学模型,以估计应力线与控制线相比变为正常所需的代数。结果:HT系和NT系的繁殖力、卵的孵化率、卵到成虫的发育时间、成虫寿命、卵和翅膀的形态特征以及蛹质量均降低,而LT系的这些参数均增加。HT系和NT系蚊从卵到成蚊的发育速度较快(分别为~ 7.5和11 d), LT系蚊从卵到成蚊的发育时间较长(~ 25 d)。与对照相比,HT系、LT系和NT系的恶性疟原虫卵囊感染率分别提高了1.46倍、1.28倍和1.15倍。在NT系3L染色体臂的2个位置观察到顺中心倒位。此外,预测线性模型表明,LT的适应速度比HT和NT快。结论:本研究以跨代实验室研究为基础。Stephensi对应激源对生命周期、卵和翅膀大小、载体能力、染色体倒位和适应的影响提供了新的见解。这些发现有助于评估疟疾发病率趋势,并有助于制定适当的干预措施。
本文章由计算机程序翻译,如有差异,请以英文原文为准。

Effects of temperature and nutrition stress on Anopheles stephensi, an Indian urban malaria vector.

Effects of temperature and nutrition stress on Anopheles stephensi, an Indian urban malaria vector.

Effects of temperature and nutrition stress on Anopheles stephensi, an Indian urban malaria vector.

Effects of temperature and nutrition stress on Anopheles stephensi, an Indian urban malaria vector.

Background: Changing climate and complexity in ecological landscape can potentially expand the geographic distribution of mosquitoes (Diptera: Culicidae) to adapt and transmit various vector-borne diseases, including malaria. Anopheles stephensi is a potential urban malaria vector in the Indian subcontinent. Temperature and nutrients are the important environmental stressors, which influence the life cycle and vectorial competence of mosquitoes.

Methods: Three experimental setups were designed in the laboratory by exposing An. stephensi to low-temperature (LT) at 4 °C for eggs and 18 ± 1 °C for larvae to adults, high-temperature (HT) at 35.5 ± 1 °C for all life stages, and low nutrition (NT) at 33 mg/100 larvae. Baseline assays were conducted before each experiment. Stress was induced to eggs, larvae, pupae and adults for 8 consecutive generations, whereas vectorial competence and chromosomal inversion experiments were performed on adult females at the 8th generation. Parameters of life-history traits, including fecundity (number of eggs), egg hatchability (fertility), developmental time, longevity of adults, sex ratio, egg and wing morphometrics, and pupal mass were measured for fitness status. The LT, HT and NT lines were infected with in vitro cultured Plasmodium falciparum parasites to compare the vectorial competence. Ovarian polytene chromosomes of the three stressed lines were analysed to check the structural differences on the chromosomal arms for adaptation due to stress conditions. The predictive mathematical modelling using linear regression was analysed to estimate the number of generations required for the stressed lines to become normal comparable to the control lines.

Results: Fecundity, egg hatchability, egg-to-adult developmental time, longevity of adults, egg and wing morphometrics, and pupal mass were decreased in HT and NT lines, whereas these parameters were increased in the LT line. The mosquitoes of HT and NT lines developed faster from egg to adult emergence (~ 7.5 and 11 days, respectively), whereas the duration was longer (~ 25 days) in the LT line. The oocyst infection rates of P. falciparum increased by 1.46 folds in HT, 1.28 folds in LT, and 1.15 folds in NT lines, respectively, compared to the control line. Paracentric inversions were observed on 2 locations on the 3L chromosomal arm of the NT line. Furthermore, the predictive linear model suggested faster adaptation of LT than HT and NT lines.

Conclusion: The present transgenerational laboratory-based study on An. stephensi provides novel insights into the effects of stressors on the life cycle, egg and wing size, vectorial competence, chromosomal inversions and adaptation. These findings aid in assessing malaria incidence trends and help in developing suitable intervention measures.

求助全文
通过发布文献求助,成功后即可免费获取论文全文。 去求助
来源期刊
Malaria Journal
Malaria Journal 医学-寄生虫学
CiteScore
5.10
自引率
23.30%
发文量
334
审稿时长
2-4 weeks
期刊介绍: Malaria Journal is aimed at the scientific community interested in malaria in its broadest sense. It is the only journal that publishes exclusively articles on malaria and, as such, it aims to bring together knowledge from the different specialities involved in this very broad discipline, from the bench to the bedside and to the field.
×
引用
GB/T 7714-2015
复制
MLA
复制
APA
复制
导出至
BibTeX EndNote RefMan NoteFirst NoteExpress
×
提示
您的信息不完整,为了账户安全,请先补充。
现在去补充
×
提示
您因"违规操作"
具体请查看互助需知
我知道了
×
提示
确定
请完成安全验证×
copy
已复制链接
快去分享给好友吧!
我知道了
右上角分享
点击右上角分享
0
联系我们:info@booksci.cn Book学术提供免费学术资源搜索服务,方便国内外学者检索中英文文献。致力于提供最便捷和优质的服务体验。 Copyright © 2023 布克学术 All rights reserved.
京ICP备2023020795号-1
ghs 京公网安备 11010802042870号
Book学术文献互助
Book学术文献互助群
群 号:604180095
Book学术官方微信