哥伦比亚西北部金矿地区与疟疾传播有关的按蚊种类。

IF 3 3区 医学 Q3 INFECTIOUS DISEASES
Marco Andrés Rojas, Martha Liliana Ahumada, María Camila Velasco-Pareja, Pablo Chaparro, María Fernanda Yasnot-Acosta, Lorena Isabel Orjuela
{"title":"哥伦比亚西北部金矿地区与疟疾传播有关的按蚊种类。","authors":"Marco Andrés Rojas, Martha Liliana Ahumada, María Camila Velasco-Pareja, Pablo Chaparro, María Fernanda Yasnot-Acosta, Lorena Isabel Orjuela","doi":"10.1186/s12936-025-05551-y","DOIUrl":null,"url":null,"abstract":"<p><strong>Background: </strong>In Colombia, mining is one of the main economic activities in four eco-epidemiological areas that contributes approximately 80% of annual malaria cases. Mining activity generates changes in the environment and creates newly available breeding sites to be colonized by malaria vector mosquitoes, which increases the risk of malaria transmission. The study aimed to identify the presence of Anopheles species and their role in malaria transmission in five malaria-endemic localities with gold mining extraction in El Bagre, Antioquia, Colombia.</p><p><strong>Methods: </strong>A cross-sectional study was conducted in five localities of El Bagre, Antioquia where adult mosquitoes were collected indoors and outdoors. The taxonomic status of the Anopheles species was confirmed through COI sequencing. All mosquitoes were tested by ELISA to establish infection with Plasmodium spp., and infections were confirmed using nested PCR. Larval habitats were characterized to evaluate the association between Anopheles larval abundance and physical and biological parameters.</p><p><strong>Results: </strong>Eleven Anopheles species were identified. Six specimens were positive for PCR Plasmodium test: Anopheles darlingi infected with Plasmodium falciparum, Anopheles nuneztovari s.s., and Anopheles punctimacula infected with Plasmodium vivax. The entomological inoculation rate (EIR) varied across localities ranging from 1.5 to 6.6 infective bites/person/month. The Anopheles species were collected from natural and artificial man-made excavations for gold mining, nevertheless, the physical and biological parameters examined did not show a significant association with their abundance in either type of larval habitat.</p><p><strong>Conclusions: </strong>The results confirm the role of An. darlingi, An. nuneztovari s.s. and An. punctimacula as malaria vectors. The presence of their immature stages in gold mining excavations identified these habitats as potential breeding sites for Anopheles species in El Bagre. In these areas, implementing larval source management might be recommended as a supplementary measure for LLINs and IRS in the malaria vector program.</p>","PeriodicalId":18317,"journal":{"name":"Malaria Journal","volume":"24 1","pages":"285"},"PeriodicalIF":3.0000,"publicationDate":"2025-09-02","publicationTypes":"Journal Article","fieldsOfStudy":null,"isOpenAccess":false,"openAccessPdf":"https://www.ncbi.nlm.nih.gov/pmc/articles/PMC12403427/pdf/","citationCount":"0","resultStr":"{\"title\":\"Anopheles species associated with malaria transmission in gold-mining areas of northwest Colombia.\",\"authors\":\"Marco Andrés Rojas, Martha Liliana Ahumada, María Camila Velasco-Pareja, Pablo Chaparro, María Fernanda Yasnot-Acosta, Lorena Isabel Orjuela\",\"doi\":\"10.1186/s12936-025-05551-y\",\"DOIUrl\":null,\"url\":null,\"abstract\":\"<p><strong>Background: </strong>In Colombia, mining is one of the main economic activities in four eco-epidemiological areas that contributes approximately 80% of annual malaria cases. Mining activity generates changes in the environment and creates newly available breeding sites to be colonized by malaria vector mosquitoes, which increases the risk of malaria transmission. The study aimed to identify the presence of Anopheles species and their role in malaria transmission in five malaria-endemic localities with gold mining extraction in El Bagre, Antioquia, Colombia.</p><p><strong>Methods: </strong>A cross-sectional study was conducted in five localities of El Bagre, Antioquia where adult mosquitoes were collected indoors and outdoors. The taxonomic status of the Anopheles species was confirmed through COI sequencing. All mosquitoes were tested by ELISA to establish infection with Plasmodium spp., and infections were confirmed using nested PCR. Larval habitats were characterized to evaluate the association between Anopheles larval abundance and physical and biological parameters.</p><p><strong>Results: </strong>Eleven Anopheles species were identified. Six specimens were positive for PCR Plasmodium test: Anopheles darlingi infected with Plasmodium falciparum, Anopheles nuneztovari s.s., and Anopheles punctimacula infected with Plasmodium vivax. The entomological inoculation rate (EIR) varied across localities ranging from 1.5 to 6.6 infective bites/person/month. The Anopheles species were collected from natural and artificial man-made excavations for gold mining, nevertheless, the physical and biological parameters examined did not show a significant association with their abundance in either type of larval habitat.</p><p><strong>Conclusions: </strong>The results confirm the role of An. darlingi, An. nuneztovari s.s. and An. punctimacula as malaria vectors. The presence of their immature stages in gold mining excavations identified these habitats as potential breeding sites for Anopheles species in El Bagre. In these areas, implementing larval source management might be recommended as a supplementary measure for LLINs and IRS in the malaria vector program.</p>\",\"PeriodicalId\":18317,\"journal\":{\"name\":\"Malaria Journal\",\"volume\":\"24 1\",\"pages\":\"285\"},\"PeriodicalIF\":3.0000,\"publicationDate\":\"2025-09-02\",\"publicationTypes\":\"Journal Article\",\"fieldsOfStudy\":null,\"isOpenAccess\":false,\"openAccessPdf\":\"https://www.ncbi.nlm.nih.gov/pmc/articles/PMC12403427/pdf/\",\"citationCount\":\"0\",\"resultStr\":null,\"platform\":\"Semanticscholar\",\"paperid\":null,\"PeriodicalName\":\"Malaria Journal\",\"FirstCategoryId\":\"3\",\"ListUrlMain\":\"https://doi.org/10.1186/s12936-025-05551-y\",\"RegionNum\":3,\"RegionCategory\":\"医学\",\"ArticlePicture\":[],\"TitleCN\":null,\"AbstractTextCN\":null,\"PMCID\":null,\"EPubDate\":\"\",\"PubModel\":\"\",\"JCR\":\"Q3\",\"JCRName\":\"INFECTIOUS DISEASES\",\"Score\":null,\"Total\":0}","platform":"Semanticscholar","paperid":null,"PeriodicalName":"Malaria Journal","FirstCategoryId":"3","ListUrlMain":"https://doi.org/10.1186/s12936-025-05551-y","RegionNum":3,"RegionCategory":"医学","ArticlePicture":[],"TitleCN":null,"AbstractTextCN":null,"PMCID":null,"EPubDate":"","PubModel":"","JCR":"Q3","JCRName":"INFECTIOUS DISEASES","Score":null,"Total":0}
引用次数: 0

摘要

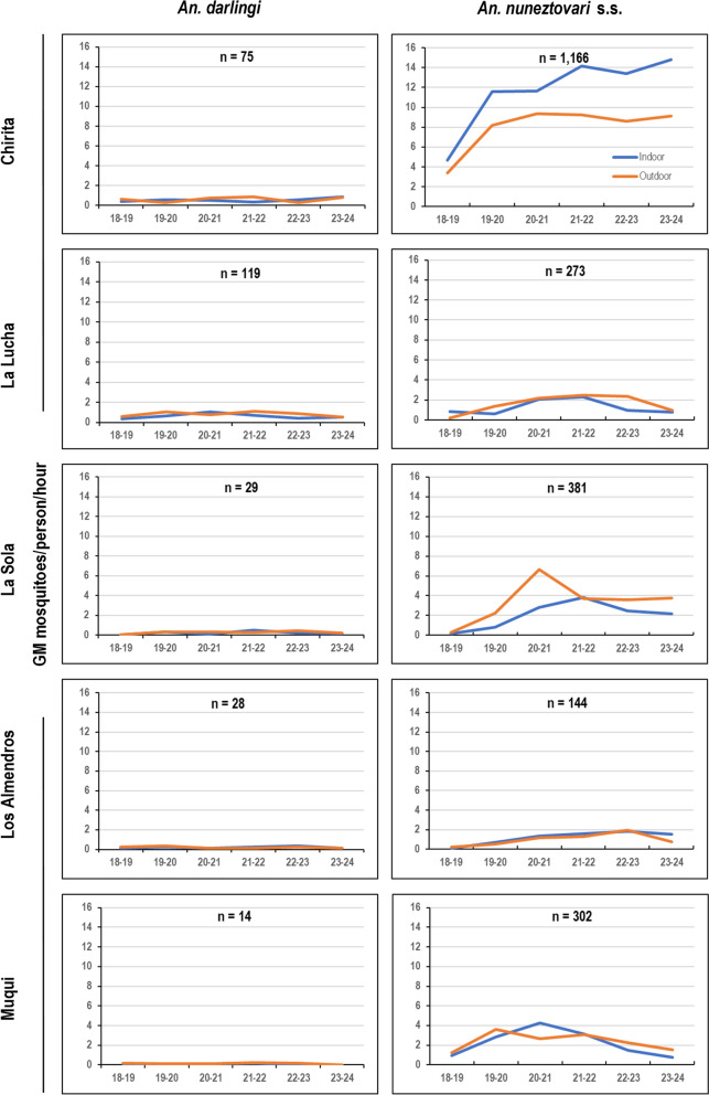
背景:在哥伦比亚,采矿是四个生态流行病学地区的主要经济活动之一,每年疟疾病例约占80%。采矿活动造成了环境的变化,并为疟疾病媒蚊子提供了新的孳生场所,从而增加了疟疾传播的风险。该研究旨在确定在哥伦比亚安蒂奥奎亚El Bagre金矿开采的五个疟疾流行地区存在的按蚊种类及其在疟疾传播中的作用。方法:采用横断面研究方法,在安蒂奥基亚埃尔巴格雷市5个地点采集成蚊室内和室外。通过COI测序确认了按蚊属的分类地位。采用ELISA法检测蚊虫是否感染疟原虫,采用巢式PCR法确认感染。研究了按蚊幼虫孳生地特征,评价了按蚊幼虫丰度与生理生物学参数的关系。结果:共鉴定出按蚊11种。PCR检测阳性者6例,分别为感染恶性疟原虫的达林按蚊、感染间日疟原虫的诺氏按蚊、感染间日疟原虫的点状按蚊。不同地区昆虫学接种率(EIR)在1.5 ~ 6.6个感染叮咬/人/月之间变化。按蚊的种类是在自然和人为的金矿挖掘中收集到的,然而,物理和生物学参数的检查显示,它们在任何一种幼虫栖息地的丰度都没有显着的关联。结论:实验结果证实了安的作用。darlingi,。nuneztovari s.s.和An。点状虫为疟疾病媒。金矿挖掘中未成熟阶段的存在确定了这些栖息地是El Bagre按蚊物种的潜在繁殖地。在这些地区,可建议实施幼虫源管理,作为疟疾病媒规划中llin和IRS的补充措施。
本文章由计算机程序翻译,如有差异,请以英文原文为准。

Anopheles species associated with malaria transmission in gold-mining areas of northwest Colombia.

Anopheles species associated with malaria transmission in gold-mining areas of northwest Colombia.

Anopheles species associated with malaria transmission in gold-mining areas of northwest Colombia.

Background: In Colombia, mining is one of the main economic activities in four eco-epidemiological areas that contributes approximately 80% of annual malaria cases. Mining activity generates changes in the environment and creates newly available breeding sites to be colonized by malaria vector mosquitoes, which increases the risk of malaria transmission. The study aimed to identify the presence of Anopheles species and their role in malaria transmission in five malaria-endemic localities with gold mining extraction in El Bagre, Antioquia, Colombia.

Methods: A cross-sectional study was conducted in five localities of El Bagre, Antioquia where adult mosquitoes were collected indoors and outdoors. The taxonomic status of the Anopheles species was confirmed through COI sequencing. All mosquitoes were tested by ELISA to establish infection with Plasmodium spp., and infections were confirmed using nested PCR. Larval habitats were characterized to evaluate the association between Anopheles larval abundance and physical and biological parameters.

Results: Eleven Anopheles species were identified. Six specimens were positive for PCR Plasmodium test: Anopheles darlingi infected with Plasmodium falciparum, Anopheles nuneztovari s.s., and Anopheles punctimacula infected with Plasmodium vivax. The entomological inoculation rate (EIR) varied across localities ranging from 1.5 to 6.6 infective bites/person/month. The Anopheles species were collected from natural and artificial man-made excavations for gold mining, nevertheless, the physical and biological parameters examined did not show a significant association with their abundance in either type of larval habitat.

Conclusions: The results confirm the role of An. darlingi, An. nuneztovari s.s. and An. punctimacula as malaria vectors. The presence of their immature stages in gold mining excavations identified these habitats as potential breeding sites for Anopheles species in El Bagre. In these areas, implementing larval source management might be recommended as a supplementary measure for LLINs and IRS in the malaria vector program.

求助全文
通过发布文献求助,成功后即可免费获取论文全文。 去求助
来源期刊
Malaria Journal
Malaria Journal 医学-寄生虫学
CiteScore
5.10
自引率
23.30%
发文量
334
审稿时长
2-4 weeks
期刊介绍: Malaria Journal is aimed at the scientific community interested in malaria in its broadest sense. It is the only journal that publishes exclusively articles on malaria and, as such, it aims to bring together knowledge from the different specialities involved in this very broad discipline, from the bench to the bedside and to the field.
×
引用
GB/T 7714-2015
复制
MLA
复制
APA
复制
导出至
BibTeX EndNote RefMan NoteFirst NoteExpress
×
提示
您的信息不完整,为了账户安全,请先补充。
现在去补充
×
提示
您因"违规操作"
具体请查看互助需知
我知道了
×
提示
确定
请完成安全验证×
copy
已复制链接
快去分享给好友吧!
我知道了
右上角分享
点击右上角分享
0
联系我们:info@booksci.cn Book学术提供免费学术资源搜索服务,方便国内外学者检索中英文文献。致力于提供最便捷和优质的服务体验。 Copyright © 2023 布克学术 All rights reserved.
京ICP备2023020795号-1
ghs 京公网安备 11010802042870号
Book学术文献互助
Book学术文献互助群
群 号:604180095
Book学术官方微信