海洋真菌Talaromyces sp.中抗肝缺血再灌注损伤的三酯萜类化合物的发现。

IF 5.4 2区 医学 Q1 CHEMISTRY, MEDICINAL
Marine Drugs Pub Date : 2025-08-16 DOI:10.3390/md23080329
Wenxun Lan, Jian Cai, Liyan Yan, Xinyi Wu, Lisha Zhang, Chunmei Chen, Zhongqiu Liu, Xuefeng Zhou, Lan Tang
{"title":"海洋真菌Talaromyces sp.中抗肝缺血再灌注损伤的三酯萜类化合物的发现。","authors":"Wenxun Lan, Jian Cai, Liyan Yan, Xinyi Wu, Lisha Zhang, Chunmei Chen, Zhongqiu Liu, Xuefeng Zhou, Lan Tang","doi":"10.3390/md23080329","DOIUrl":null,"url":null,"abstract":"<p><p>A new trinor-sesterterpenoid penitalarin D (<b>1</b>), with a 3,6-dioxabicyclo[3.1.0]hexane moiety, as well as two known compounds, penitalarin C (<b>2</b>) and nafuredin A (<b>3</b>), were obtained from the mangrove sediment-derived <i>Talaromyces</i> sp. SCSIO 41412. Their structures were determined by detailed NMR, MS spectroscopic analyses, and ECD calculations. Penitalarin D (<b>1</b>) and nafuredin A (<b>3</b>) showed toxicity or no toxicity against HepG2 cells at a concentration of 200 μM. The transcriptome sequencing and bioinformatics analysis revealed that <b>3</b> could be effective by regulating ferroptosis pathways in HepG2 cells, which was subsequently validated by RT-qPCR, demonstrating significant upregulation of ferroptosis-related genes. Pre-treatment with <b>3</b> could mitigate hypoxia-reoxygenation-induced damage in the oxygen glucose deprivation/reperfusion (OGD/R) cell model. Given the structural similarity of compounds <b>1</b>, <b>2</b>, and <b>3</b>, we also screened compounds <b>1</b> and <b>2</b> in an AML12 OGD/R model. As no significant activity was observed, compound <b>3</b> was selected for subsequent in vivo studies. Subsequently, in vivo experiments demonstrated that <b>3</b> could significantly decrease pro-inflammatory cytokines and display the hepatoprotective effects against hepatic ischemia-reperfusion injury (HIRI). These findings identified nafuredin A (<b>3</b>) as a promising hepatoprotective agent for new drug development.</p>","PeriodicalId":18222,"journal":{"name":"Marine Drugs","volume":"23 8","pages":""},"PeriodicalIF":5.4000,"publicationDate":"2025-08-16","publicationTypes":"Journal Article","fieldsOfStudy":null,"isOpenAccess":false,"openAccessPdf":"https://www.ncbi.nlm.nih.gov/pmc/articles/PMC12387297/pdf/","citationCount":"0","resultStr":"{\"title\":\"Discovery of a Hepatoprotective Trinor-Sesterterpenoid from the Marine Fungus <i>Talaromyces</i> sp. Against Hepatic Ischemia-Reperfusion Injury.\",\"authors\":\"Wenxun Lan, Jian Cai, Liyan Yan, Xinyi Wu, Lisha Zhang, Chunmei Chen, Zhongqiu Liu, Xuefeng Zhou, Lan Tang\",\"doi\":\"10.3390/md23080329\",\"DOIUrl\":null,\"url\":null,\"abstract\":\"<p><p>A new trinor-sesterterpenoid penitalarin D (<b>1</b>), with a 3,6-dioxabicyclo[3.1.0]hexane moiety, as well as two known compounds, penitalarin C (<b>2</b>) and nafuredin A (<b>3</b>), were obtained from the mangrove sediment-derived <i>Talaromyces</i> sp. SCSIO 41412. Their structures were determined by detailed NMR, MS spectroscopic analyses, and ECD calculations. Penitalarin D (<b>1</b>) and nafuredin A (<b>3</b>) showed toxicity or no toxicity against HepG2 cells at a concentration of 200 μM. The transcriptome sequencing and bioinformatics analysis revealed that <b>3</b> could be effective by regulating ferroptosis pathways in HepG2 cells, which was subsequently validated by RT-qPCR, demonstrating significant upregulation of ferroptosis-related genes. Pre-treatment with <b>3</b> could mitigate hypoxia-reoxygenation-induced damage in the oxygen glucose deprivation/reperfusion (OGD/R) cell model. Given the structural similarity of compounds <b>1</b>, <b>2</b>, and <b>3</b>, we also screened compounds <b>1</b> and <b>2</b> in an AML12 OGD/R model. As no significant activity was observed, compound <b>3</b> was selected for subsequent in vivo studies. Subsequently, in vivo experiments demonstrated that <b>3</b> could significantly decrease pro-inflammatory cytokines and display the hepatoprotective effects against hepatic ischemia-reperfusion injury (HIRI). These findings identified nafuredin A (<b>3</b>) as a promising hepatoprotective agent for new drug development.</p>\",\"PeriodicalId\":18222,\"journal\":{\"name\":\"Marine Drugs\",\"volume\":\"23 8\",\"pages\":\"\"},\"PeriodicalIF\":5.4000,\"publicationDate\":\"2025-08-16\",\"publicationTypes\":\"Journal Article\",\"fieldsOfStudy\":null,\"isOpenAccess\":false,\"openAccessPdf\":\"https://www.ncbi.nlm.nih.gov/pmc/articles/PMC12387297/pdf/\",\"citationCount\":\"0\",\"resultStr\":null,\"platform\":\"Semanticscholar\",\"paperid\":null,\"PeriodicalName\":\"Marine Drugs\",\"FirstCategoryId\":\"3\",\"ListUrlMain\":\"https://doi.org/10.3390/md23080329\",\"RegionNum\":2,\"RegionCategory\":\"医学\",\"ArticlePicture\":[],\"TitleCN\":null,\"AbstractTextCN\":null,\"PMCID\":null,\"EPubDate\":\"\",\"PubModel\":\"\",\"JCR\":\"Q1\",\"JCRName\":\"CHEMISTRY, MEDICINAL\",\"Score\":null,\"Total\":0}","platform":"Semanticscholar","paperid":null,"PeriodicalName":"Marine Drugs","FirstCategoryId":"3","ListUrlMain":"https://doi.org/10.3390/md23080329","RegionNum":2,"RegionCategory":"医学","ArticlePicture":[],"TitleCN":null,"AbstractTextCN":null,"PMCID":null,"EPubDate":"","PubModel":"","JCR":"Q1","JCRName":"CHEMISTRY, MEDICINAL","Score":null,"Total":0}
引用次数: 0

摘要

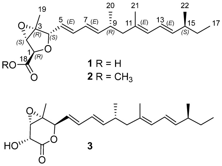
从红树林沉积物衍生的Talaromyces sp. SCSIO 41412中获得了一个新的具有3,6-二恶二环[3.1.0]己烷的三酯萜类化合物penitalarin D(1)和两个已知化合物penitalarin C(2)和nafureredin A(3)。通过详细的核磁共振、质谱分析和ECD计算确定了它们的结构。在200 μM浓度下,Penitalarin D(1)和nafureredin A(3)对HepG2细胞有毒性或无毒性。转录组测序和生物信息学分析表明,3可能通过调控HepG2细胞的铁凋亡通路而有效,随后通过RT-qPCR验证,表明铁凋亡相关基因显著上调。在氧糖剥夺/再灌注(OGD/R)细胞模型中,3预处理可减轻缺氧再氧化引起的损伤。考虑到化合物1、2和3的结构相似性,我们还在AML12 OGD/R模型中筛选了化合物1和2。由于没有观察到明显的活性,因此选择化合物3进行后续的体内研究。随后,体内实验表明,3能显著降低促炎细胞因子,对肝缺血再灌注损伤(HIRI)具有保护肝脏的作用。这些发现表明,nafuretin A(3)是一种很有前途的肝保护剂,可用于新药开发。
本文章由计算机程序翻译,如有差异,请以英文原文为准。

Discovery of a Hepatoprotective Trinor-Sesterterpenoid from the Marine Fungus <i>Talaromyces</i> sp. Against Hepatic Ischemia-Reperfusion Injury.

Discovery of a Hepatoprotective Trinor-Sesterterpenoid from the Marine Fungus <i>Talaromyces</i> sp. Against Hepatic Ischemia-Reperfusion Injury.

Discovery of a Hepatoprotective Trinor-Sesterterpenoid from the Marine Fungus <i>Talaromyces</i> sp. Against Hepatic Ischemia-Reperfusion Injury.

Discovery of a Hepatoprotective Trinor-Sesterterpenoid from the Marine Fungus Talaromyces sp. Against Hepatic Ischemia-Reperfusion Injury.

A new trinor-sesterterpenoid penitalarin D (1), with a 3,6-dioxabicyclo[3.1.0]hexane moiety, as well as two known compounds, penitalarin C (2) and nafuredin A (3), were obtained from the mangrove sediment-derived Talaromyces sp. SCSIO 41412. Their structures were determined by detailed NMR, MS spectroscopic analyses, and ECD calculations. Penitalarin D (1) and nafuredin A (3) showed toxicity or no toxicity against HepG2 cells at a concentration of 200 μM. The transcriptome sequencing and bioinformatics analysis revealed that 3 could be effective by regulating ferroptosis pathways in HepG2 cells, which was subsequently validated by RT-qPCR, demonstrating significant upregulation of ferroptosis-related genes. Pre-treatment with 3 could mitigate hypoxia-reoxygenation-induced damage in the oxygen glucose deprivation/reperfusion (OGD/R) cell model. Given the structural similarity of compounds 1, 2, and 3, we also screened compounds 1 and 2 in an AML12 OGD/R model. As no significant activity was observed, compound 3 was selected for subsequent in vivo studies. Subsequently, in vivo experiments demonstrated that 3 could significantly decrease pro-inflammatory cytokines and display the hepatoprotective effects against hepatic ischemia-reperfusion injury (HIRI). These findings identified nafuredin A (3) as a promising hepatoprotective agent for new drug development.

求助全文
通过发布文献求助,成功后即可免费获取论文全文。 去求助
来源期刊
Marine Drugs
Marine Drugs 医学-医药化学
CiteScore
9.60
自引率
14.80%
发文量
671
审稿时长
1 months
期刊介绍: Marine Drugs (ISSN 1660-3397) publishes reviews, regular research papers and short notes on the research, development and production of drugs from the sea. Our aim is to encourage scientists to publish their experimental and theoretical research in as much detail as possible, particularly synthetic procedures and characterization information for bioactive compounds. There is no restriction on the length of the experimental section.
×
引用
GB/T 7714-2015
复制
MLA
复制
APA
复制
导出至
BibTeX EndNote RefMan NoteFirst NoteExpress
×
提示
您的信息不完整,为了账户安全,请先补充。
现在去补充
×
提示
您因"违规操作"
具体请查看互助需知
我知道了
×
提示
确定
请完成安全验证×
copy
已复制链接
快去分享给好友吧!
我知道了
右上角分享
点击右上角分享
0
联系我们:info@booksci.cn Book学术提供免费学术资源搜索服务,方便国内外学者检索中英文文献。致力于提供最便捷和优质的服务体验。 Copyright © 2023 布克学术 All rights reserved.
京ICP备2023020795号-1
ghs 京公网安备 11010802042870号
Book学术文献互助
Book学术文献互助群
群 号:604180095
Book学术官方微信