海洋链霉菌nbud24衍生蒽醌类对MRSA的抗菌及抗膜活性研究

IF 5.4 2区 医学 Q1 CHEMISTRY, MEDICINAL
Marine Drugs Pub Date : 2025-07-25 DOI:10.3390/md23080298
Yuxin Yang, Zhiyan Zhou, Guobao Huang, Shuhua Yang, Ruoyu Mao, Lijian Ding, Xiao Wang
{"title":"海洋链霉菌nbud24衍生蒽醌类对MRSA的抗菌及抗膜活性研究","authors":"Yuxin Yang, Zhiyan Zhou, Guobao Huang, Shuhua Yang, Ruoyu Mao, Lijian Ding, Xiao Wang","doi":"10.3390/md23080298","DOIUrl":null,"url":null,"abstract":"<p><p>Antimicrobial resistance (AMR) has emerged as a global health crisis, with methicillin-resistant <i>Staphylococcus aureus</i> (MRSA) representing one of the most clinically significant multidrug-resistant pathogens. In this study, three structurally unique anthracycline derivatives-keto-ester (<b>1</b>), 4-deoxy-ε-pyrromycinone (<b>2</b>), and misamycin (<b>3</b>)-were first isolated and characterized from the fermentation broth of the marine-derived <i>Streptomyces tauricus</i> NBUD24. These compounds exhibited notable antibacterial efficacy against MRSA, with minimum inhibitory concentrations (MICs) ranging from 16 to 32 µg/mL. Cytotoxicity assays confirmed their safety profile at therapeutic concentrations. The biofilm formation assay demonstrated that 4-deoxy-ε-pyrromycinone inhibited biofilm formation of MRSA ATCC43300, with an inhibition rate of 64.4%. Investigations of antibacterial mechanisms revealed that these compounds exert antibacterial effects primarily through disruption of bacterial cell wall integrity and destruction of DNA structure. These findings underscore the potential of marine-derived microbial metabolites as promising scaffolds for developing next-generation antimicrobial candidates to combat drug-resistant infections.</p>","PeriodicalId":18222,"journal":{"name":"Marine Drugs","volume":"23 8","pages":""},"PeriodicalIF":5.4000,"publicationDate":"2025-07-25","publicationTypes":"Journal Article","fieldsOfStudy":null,"isOpenAccess":false,"openAccessPdf":"https://www.ncbi.nlm.nih.gov/pmc/articles/PMC12387178/pdf/","citationCount":"0","resultStr":"{\"title\":\"Antimicrobial and Antibiofilm Activity of Marine <i>Streptomyces</i> sp. NBUD24-Derived Anthraquinones Against MRSA.\",\"authors\":\"Yuxin Yang, Zhiyan Zhou, Guobao Huang, Shuhua Yang, Ruoyu Mao, Lijian Ding, Xiao Wang\",\"doi\":\"10.3390/md23080298\",\"DOIUrl\":null,\"url\":null,\"abstract\":\"<p><p>Antimicrobial resistance (AMR) has emerged as a global health crisis, with methicillin-resistant <i>Staphylococcus aureus</i> (MRSA) representing one of the most clinically significant multidrug-resistant pathogens. In this study, three structurally unique anthracycline derivatives-keto-ester (<b>1</b>), 4-deoxy-ε-pyrromycinone (<b>2</b>), and misamycin (<b>3</b>)-were first isolated and characterized from the fermentation broth of the marine-derived <i>Streptomyces tauricus</i> NBUD24. These compounds exhibited notable antibacterial efficacy against MRSA, with minimum inhibitory concentrations (MICs) ranging from 16 to 32 µg/mL. Cytotoxicity assays confirmed their safety profile at therapeutic concentrations. The biofilm formation assay demonstrated that 4-deoxy-ε-pyrromycinone inhibited biofilm formation of MRSA ATCC43300, with an inhibition rate of 64.4%. Investigations of antibacterial mechanisms revealed that these compounds exert antibacterial effects primarily through disruption of bacterial cell wall integrity and destruction of DNA structure. These findings underscore the potential of marine-derived microbial metabolites as promising scaffolds for developing next-generation antimicrobial candidates to combat drug-resistant infections.</p>\",\"PeriodicalId\":18222,\"journal\":{\"name\":\"Marine Drugs\",\"volume\":\"23 8\",\"pages\":\"\"},\"PeriodicalIF\":5.4000,\"publicationDate\":\"2025-07-25\",\"publicationTypes\":\"Journal Article\",\"fieldsOfStudy\":null,\"isOpenAccess\":false,\"openAccessPdf\":\"https://www.ncbi.nlm.nih.gov/pmc/articles/PMC12387178/pdf/\",\"citationCount\":\"0\",\"resultStr\":null,\"platform\":\"Semanticscholar\",\"paperid\":null,\"PeriodicalName\":\"Marine Drugs\",\"FirstCategoryId\":\"3\",\"ListUrlMain\":\"https://doi.org/10.3390/md23080298\",\"RegionNum\":2,\"RegionCategory\":\"医学\",\"ArticlePicture\":[],\"TitleCN\":null,\"AbstractTextCN\":null,\"PMCID\":null,\"EPubDate\":\"\",\"PubModel\":\"\",\"JCR\":\"Q1\",\"JCRName\":\"CHEMISTRY, MEDICINAL\",\"Score\":null,\"Total\":0}","platform":"Semanticscholar","paperid":null,"PeriodicalName":"Marine Drugs","FirstCategoryId":"3","ListUrlMain":"https://doi.org/10.3390/md23080298","RegionNum":2,"RegionCategory":"医学","ArticlePicture":[],"TitleCN":null,"AbstractTextCN":null,"PMCID":null,"EPubDate":"","PubModel":"","JCR":"Q1","JCRName":"CHEMISTRY, MEDICINAL","Score":null,"Total":0}
引用次数: 0

摘要

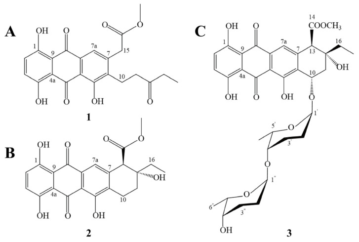
抗微生物药物耐药性(AMR)已成为全球卫生危机,耐甲氧西林金黄色葡萄球菌(MRSA)是临床上最重要的多重耐药病原体之一。本研究首次从海洋来源的牛链霉菌NBUD24发酵液中分离并鉴定了三种结构独特的蒽环类衍生物:酮酯(1)、4-脱氧-ε- pyromycinone(2)和米amycin(3)。这些化合物对MRSA具有显著的抑菌效果,最低抑菌浓度(mic)在16 ~ 32µg/mL之间。细胞毒性试验证实了它们在治疗浓度下的安全性。生物膜形成实验表明,4-脱氧-ε- pyromycinone抑制MRSA ATCC43300的生物膜形成,抑制率为64.4%。抗菌机制的研究表明,这些化合物主要通过破坏细菌细胞壁完整性和破坏DNA结构来发挥抗菌作用。这些发现强调了海洋微生物代谢物作为开发下一代抗药候选药物以对抗耐药感染的有希望的支架的潜力。
本文章由计算机程序翻译,如有差异,请以英文原文为准。

Antimicrobial and Antibiofilm Activity of Marine <i>Streptomyces</i> sp. NBUD24-Derived Anthraquinones Against MRSA.

Antimicrobial and Antibiofilm Activity of Marine <i>Streptomyces</i> sp. NBUD24-Derived Anthraquinones Against MRSA.

Antimicrobial and Antibiofilm Activity of Marine <i>Streptomyces</i> sp. NBUD24-Derived Anthraquinones Against MRSA.

Antimicrobial and Antibiofilm Activity of Marine Streptomyces sp. NBUD24-Derived Anthraquinones Against MRSA.

Antimicrobial resistance (AMR) has emerged as a global health crisis, with methicillin-resistant Staphylococcus aureus (MRSA) representing one of the most clinically significant multidrug-resistant pathogens. In this study, three structurally unique anthracycline derivatives-keto-ester (1), 4-deoxy-ε-pyrromycinone (2), and misamycin (3)-were first isolated and characterized from the fermentation broth of the marine-derived Streptomyces tauricus NBUD24. These compounds exhibited notable antibacterial efficacy against MRSA, with minimum inhibitory concentrations (MICs) ranging from 16 to 32 µg/mL. Cytotoxicity assays confirmed their safety profile at therapeutic concentrations. The biofilm formation assay demonstrated that 4-deoxy-ε-pyrromycinone inhibited biofilm formation of MRSA ATCC43300, with an inhibition rate of 64.4%. Investigations of antibacterial mechanisms revealed that these compounds exert antibacterial effects primarily through disruption of bacterial cell wall integrity and destruction of DNA structure. These findings underscore the potential of marine-derived microbial metabolites as promising scaffolds for developing next-generation antimicrobial candidates to combat drug-resistant infections.

求助全文
通过发布文献求助,成功后即可免费获取论文全文。 去求助
来源期刊
Marine Drugs
Marine Drugs 医学-医药化学
CiteScore
9.60
自引率
14.80%
发文量
671
审稿时长
1 months
期刊介绍: Marine Drugs (ISSN 1660-3397) publishes reviews, regular research papers and short notes on the research, development and production of drugs from the sea. Our aim is to encourage scientists to publish their experimental and theoretical research in as much detail as possible, particularly synthetic procedures and characterization information for bioactive compounds. There is no restriction on the length of the experimental section.
×
引用
GB/T 7714-2015
复制
MLA
复制
APA
复制
导出至
BibTeX EndNote RefMan NoteFirst NoteExpress
×
提示
您的信息不完整,为了账户安全,请先补充。
现在去补充
×
提示
您因"违规操作"
具体请查看互助需知
我知道了
×
提示
确定
请完成安全验证×
copy
已复制链接
快去分享给好友吧!
我知道了
右上角分享
点击右上角分享
0
联系我们:info@booksci.cn Book学术提供免费学术资源搜索服务,方便国内外学者检索中英文文献。致力于提供最便捷和优质的服务体验。 Copyright © 2023 布克学术 All rights reserved.
京ICP备2023020795号-1
ghs 京公网安备 11010802042870号
Book学术文献互助
Book学术文献互助群
群 号:604180095
Book学术官方微信