从半结构化冠状动脉CT血管造影报告中提取CAD-RADS 2.0的大型语言模型:一项多机构研究。

IF 5.3 2区 医学 Q1 RADIOLOGY, NUCLEAR MEDICINE & MEDICAL IMAGING
Dabin Min, Kwang Nam Jin, SangHeum Bang, Moon Young Kim, Hack-Lyoung Kim, Won Gi Jeong, Hye-Jeong Lee, Kyongmin Sarah Beck, Sung Ho Hwang, Eun Young Kim, Chang Min Park
{"title":"从半结构化冠状动脉CT血管造影报告中提取CAD-RADS 2.0的大型语言模型:一项多机构研究。","authors":"Dabin Min, Kwang Nam Jin, SangHeum Bang, Moon Young Kim, Hack-Lyoung Kim, Won Gi Jeong, Hye-Jeong Lee, Kyongmin Sarah Beck, Sung Ho Hwang, Eun Young Kim, Chang Min Park","doi":"10.3348/kjr.2025.0293","DOIUrl":null,"url":null,"abstract":"<p><strong>Objective: </strong>To evaluate the accuracy of large language models (LLMs) in extracting Coronary Artery Disease-Reporting and Data System (CAD-RADS) 2.0 components from coronary CT angiography (CCTA) reports, and assess the impact of prompting strategies.</p><p><strong>Materials and methods: </strong>In this multi-institutional study, we collected 319 synthetic, semi-structured CCTA reports from six institutions to protect patient privacy while maintaining clinical relevance. The dataset included 150 reports from a primary institution (100 for instruction development and 50 for internal testing) and 169 reports from five external institutions for external testing. Board-certified radiologists established reference standards following the CAD-RADS 2.0 guidelines for all three components: stenosis severity, plaque burden, and modifiers. Six LLMs (GPT-4, GPT-4o, Claude-3.5-Sonnet, o1-mini, Gemini-1.5-Pro, and DeepSeek-R1-Distill-Qwen-14B) were evaluated using an optimized instruction with prompting strategies, including zero-shot or few-shot with or without chain-of-thought (CoT) prompting. The accuracy was assessed and compared using McNemar's test.</p><p><strong>Results: </strong>LLMs demonstrated robust accuracy across all CAD-RADS 2.0 components. Peak stenosis severity accuracies reached 0.980 (48/49, Claude-3.5-Sonnet and o1-mini) in internal testing and 0.946 (158/167, GPT-4o and o1-mini) in external testing. Plaque burden extraction showed exceptional accuracy, with multiple models achieving perfect accuracy (43/43) in internal testing and 0.993 (137/138, GPT-4o, and o1-mini) in external testing. Modifier detection demonstrated consistently high accuracy (≥0.990) across most models. One open-source model, DeepSeek-R1-Distill-Qwen-14B, showed a relatively low accuracy for stenosis severity: 0.898 (44/49, internal) and 0.820 (137/167, external). CoT prompting significantly enhanced the accuracy of several models, with GPT-4 showing the most substantial improvements: stenosis severity accuracy increased by 0.192 (<i>P</i> < 0.001) and plaque burden accuracy by 0.152 (<i>P</i> < 0.001) in external testing.</p><p><strong>Conclusion: </strong>LLMs demonstrated high accuracy in automated extraction of CAD-RADS 2.0 components from semi-structured CCTA reports, particularly when used with CoT prompting.</p>","PeriodicalId":17881,"journal":{"name":"Korean Journal of Radiology","volume":"26 9","pages":"817-831"},"PeriodicalIF":5.3000,"publicationDate":"2025-09-01","publicationTypes":"Journal Article","fieldsOfStudy":null,"isOpenAccess":false,"openAccessPdf":"https://www.ncbi.nlm.nih.gov/pmc/articles/PMC12394816/pdf/","citationCount":"0","resultStr":"{\"title\":\"Large Language Models for CAD-RADS 2.0 Extraction From Semi-Structured Coronary CT Angiography Reports: A Multi-Institutional Study.\",\"authors\":\"Dabin Min, Kwang Nam Jin, SangHeum Bang, Moon Young Kim, Hack-Lyoung Kim, Won Gi Jeong, Hye-Jeong Lee, Kyongmin Sarah Beck, Sung Ho Hwang, Eun Young Kim, Chang Min Park\",\"doi\":\"10.3348/kjr.2025.0293\",\"DOIUrl\":null,\"url\":null,\"abstract\":\"<p><strong>Objective: </strong>To evaluate the accuracy of large language models (LLMs) in extracting Coronary Artery Disease-Reporting and Data System (CAD-RADS) 2.0 components from coronary CT angiography (CCTA) reports, and assess the impact of prompting strategies.</p><p><strong>Materials and methods: </strong>In this multi-institutional study, we collected 319 synthetic, semi-structured CCTA reports from six institutions to protect patient privacy while maintaining clinical relevance. The dataset included 150 reports from a primary institution (100 for instruction development and 50 for internal testing) and 169 reports from five external institutions for external testing. Board-certified radiologists established reference standards following the CAD-RADS 2.0 guidelines for all three components: stenosis severity, plaque burden, and modifiers. Six LLMs (GPT-4, GPT-4o, Claude-3.5-Sonnet, o1-mini, Gemini-1.5-Pro, and DeepSeek-R1-Distill-Qwen-14B) were evaluated using an optimized instruction with prompting strategies, including zero-shot or few-shot with or without chain-of-thought (CoT) prompting. The accuracy was assessed and compared using McNemar's test.</p><p><strong>Results: </strong>LLMs demonstrated robust accuracy across all CAD-RADS 2.0 components. Peak stenosis severity accuracies reached 0.980 (48/49, Claude-3.5-Sonnet and o1-mini) in internal testing and 0.946 (158/167, GPT-4o and o1-mini) in external testing. Plaque burden extraction showed exceptional accuracy, with multiple models achieving perfect accuracy (43/43) in internal testing and 0.993 (137/138, GPT-4o, and o1-mini) in external testing. Modifier detection demonstrated consistently high accuracy (≥0.990) across most models. One open-source model, DeepSeek-R1-Distill-Qwen-14B, showed a relatively low accuracy for stenosis severity: 0.898 (44/49, internal) and 0.820 (137/167, external). CoT prompting significantly enhanced the accuracy of several models, with GPT-4 showing the most substantial improvements: stenosis severity accuracy increased by 0.192 (<i>P</i> < 0.001) and plaque burden accuracy by 0.152 (<i>P</i> < 0.001) in external testing.</p><p><strong>Conclusion: </strong>LLMs demonstrated high accuracy in automated extraction of CAD-RADS 2.0 components from semi-structured CCTA reports, particularly when used with CoT prompting.</p>\",\"PeriodicalId\":17881,\"journal\":{\"name\":\"Korean Journal of Radiology\",\"volume\":\"26 9\",\"pages\":\"817-831\"},\"PeriodicalIF\":5.3000,\"publicationDate\":\"2025-09-01\",\"publicationTypes\":\"Journal Article\",\"fieldsOfStudy\":null,\"isOpenAccess\":false,\"openAccessPdf\":\"https://www.ncbi.nlm.nih.gov/pmc/articles/PMC12394816/pdf/\",\"citationCount\":\"0\",\"resultStr\":null,\"platform\":\"Semanticscholar\",\"paperid\":null,\"PeriodicalName\":\"Korean Journal of Radiology\",\"FirstCategoryId\":\"3\",\"ListUrlMain\":\"https://doi.org/10.3348/kjr.2025.0293\",\"RegionNum\":2,\"RegionCategory\":\"医学\",\"ArticlePicture\":[],\"TitleCN\":null,\"AbstractTextCN\":null,\"PMCID\":null,\"EPubDate\":\"\",\"PubModel\":\"\",\"JCR\":\"Q1\",\"JCRName\":\"RADIOLOGY, NUCLEAR MEDICINE & MEDICAL IMAGING\",\"Score\":null,\"Total\":0}","platform":"Semanticscholar","paperid":null,"PeriodicalName":"Korean Journal of Radiology","FirstCategoryId":"3","ListUrlMain":"https://doi.org/10.3348/kjr.2025.0293","RegionNum":2,"RegionCategory":"医学","ArticlePicture":[],"TitleCN":null,"AbstractTextCN":null,"PMCID":null,"EPubDate":"","PubModel":"","JCR":"Q1","JCRName":"RADIOLOGY, NUCLEAR MEDICINE & MEDICAL IMAGING","Score":null,"Total":0}
引用次数: 0

摘要

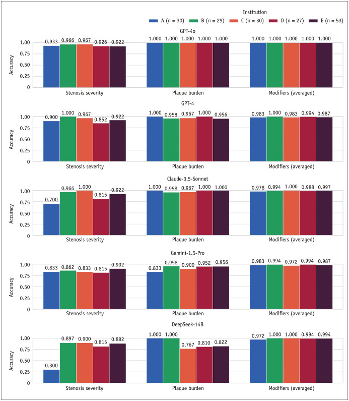
目的:评价大语言模型(LLMs)从冠状动脉CT血管造影(CCTA)报告中提取冠状动脉疾病报告与数据系统(CAD-RADS) 2.0成分的准确性,并评估提示策略的影响。材料和方法:在这项多机构研究中,我们收集了来自6家机构的319份合成的半结构化CCTA报告,以保护患者隐私,同时保持临床相关性。该数据集包括来自一所主要机构的150份报告(100份用于教学发展,50份用于内部测试)和来自五所外部机构的169份报告。委员会认证的放射科医生根据CAD-RADS 2.0指南为所有三个组成部分建立了参考标准:狭窄严重程度、斑块负担和调节剂。6个llm (GPT-4、gpt - 40、Claude-3.5-Sonnet、01 -mini、Gemini-1.5-Pro和deepseek - r1 - distill - qwin - 14b)使用优化的指令和提示策略进行评估,包括零射击或少射击,有或没有思维链(CoT)提示。采用McNemar试验对其准确性进行评估和比较。结果:LLMs在所有CAD-RADS 2.0组件中表现出稳健的准确性。内测峰值狭窄程度准确度为0.980 (48/49,Claude-3.5-Sonnet和01 -mini),外测峰值狭窄程度准确度为0.946 (158/167,gpt - 40和01 -mini)。牙菌斑负担提取的准确性非常高,多个模型在内部测试中达到完美的准确度(43/43),在外部测试中达到0.993 (137/138,gpt - 40和01 -mini)。修饰语检测在大多数模型中均显示出一致的高准确率(≥0.990)。其中一个开源模型DeepSeek-R1-Distill-Qwen-14B对狭窄严重程度的准确率相对较低,分别为0.898(44/49,内部)和0.820(137/167,外部)。CoT提示显著提高了几种模型的准确性,其中GPT-4表现出最显著的改善:在外部测试中,狭窄严重程度准确性提高了0.192 (P < 0.001),斑块负担准确性提高了0.152 (P < 0.001)。结论:LLMs在从半结构化CCTA报告中自动提取CAD-RADS 2.0成分方面表现出很高的准确性,特别是在使用CoT提示时。
本文章由计算机程序翻译,如有差异,请以英文原文为准。

Large Language Models for CAD-RADS 2.0 Extraction From Semi-Structured Coronary CT Angiography Reports: A Multi-Institutional Study.

Large Language Models for CAD-RADS 2.0 Extraction From Semi-Structured Coronary CT Angiography Reports: A Multi-Institutional Study.

Large Language Models for CAD-RADS 2.0 Extraction From Semi-Structured Coronary CT Angiography Reports: A Multi-Institutional Study.

Large Language Models for CAD-RADS 2.0 Extraction From Semi-Structured Coronary CT Angiography Reports: A Multi-Institutional Study.

Objective: To evaluate the accuracy of large language models (LLMs) in extracting Coronary Artery Disease-Reporting and Data System (CAD-RADS) 2.0 components from coronary CT angiography (CCTA) reports, and assess the impact of prompting strategies.

Materials and methods: In this multi-institutional study, we collected 319 synthetic, semi-structured CCTA reports from six institutions to protect patient privacy while maintaining clinical relevance. The dataset included 150 reports from a primary institution (100 for instruction development and 50 for internal testing) and 169 reports from five external institutions for external testing. Board-certified radiologists established reference standards following the CAD-RADS 2.0 guidelines for all three components: stenosis severity, plaque burden, and modifiers. Six LLMs (GPT-4, GPT-4o, Claude-3.5-Sonnet, o1-mini, Gemini-1.5-Pro, and DeepSeek-R1-Distill-Qwen-14B) were evaluated using an optimized instruction with prompting strategies, including zero-shot or few-shot with or without chain-of-thought (CoT) prompting. The accuracy was assessed and compared using McNemar's test.

Results: LLMs demonstrated robust accuracy across all CAD-RADS 2.0 components. Peak stenosis severity accuracies reached 0.980 (48/49, Claude-3.5-Sonnet and o1-mini) in internal testing and 0.946 (158/167, GPT-4o and o1-mini) in external testing. Plaque burden extraction showed exceptional accuracy, with multiple models achieving perfect accuracy (43/43) in internal testing and 0.993 (137/138, GPT-4o, and o1-mini) in external testing. Modifier detection demonstrated consistently high accuracy (≥0.990) across most models. One open-source model, DeepSeek-R1-Distill-Qwen-14B, showed a relatively low accuracy for stenosis severity: 0.898 (44/49, internal) and 0.820 (137/167, external). CoT prompting significantly enhanced the accuracy of several models, with GPT-4 showing the most substantial improvements: stenosis severity accuracy increased by 0.192 (P < 0.001) and plaque burden accuracy by 0.152 (P < 0.001) in external testing.

Conclusion: LLMs demonstrated high accuracy in automated extraction of CAD-RADS 2.0 components from semi-structured CCTA reports, particularly when used with CoT prompting.

求助全文
通过发布文献求助,成功后即可免费获取论文全文。 去求助
来源期刊
Korean Journal of Radiology
Korean Journal of Radiology 医学-核医学
CiteScore
10.60
自引率
12.50%
发文量
141
审稿时长
1.3 months
期刊介绍: The inaugural issue of the Korean J Radiol came out in March 2000. Our journal aims to produce and propagate knowledge on radiologic imaging and related sciences. A unique feature of the articles published in the Journal will be their reflection of global trends in radiology combined with an East-Asian perspective. Geographic differences in disease prevalence will be reflected in the contents of papers, and this will serve to enrich our body of knowledge. World''s outstanding radiologists from many countries are serving as editorial board of our journal.
×
引用
GB/T 7714-2015
复制
MLA
复制
APA
复制
导出至
BibTeX EndNote RefMan NoteFirst NoteExpress
×
提示
您的信息不完整,为了账户安全,请先补充。
现在去补充
×
提示
您因"违规操作"
具体请查看互助需知
我知道了
×
提示
确定
请完成安全验证×
copy
已复制链接
快去分享给好友吧!
我知道了
右上角分享
点击右上角分享
0
联系我们:info@booksci.cn Book学术提供免费学术资源搜索服务,方便国内外学者检索中英文文献。致力于提供最便捷和优质的服务体验。 Copyright © 2023 布克学术 All rights reserved.
京ICP备2023020795号-1
ghs 京公网安备 11010802042870号
Book学术文献互助
Book学术文献互助群
群 号:604180095
Book学术官方微信