从筛查到治疗:国家新生儿重症监护室环境下ROP的个性化方法。

IF 3 3区 医学 Q2 HEALTH CARE SCIENCES & SERVICES
Stylianos Christodoulou, Fedonas Herodotou, Annalisa Quattrocchi, Theodoros Potamitis, Vivi Choleva
{"title":"从筛查到治疗:国家新生儿重症监护室环境下ROP的个性化方法。","authors":"Stylianos Christodoulou, Fedonas Herodotou, Annalisa Quattrocchi, Theodoros Potamitis, Vivi Choleva","doi":"10.3390/jpm15080388","DOIUrl":null,"url":null,"abstract":"<p><p><b>Aim</b>: We aimed to investigate the incidence, treatment patterns, and associated risk factors of type 1 retinopathy of prematurity (ROP) in the only tertiary-level Neonatal Intensive Care Unit (NICU) in Cyprus. <b>Methods</b>: This retrospective study included all infants screened for ROP between January and December 2023. Data were collected from standardized NICU discharge summaries and included gestational age (GA), birth weight (BW), multiple birth, systemic infection, blood transfusion, oxygen therapy, surgical interventions, and ROP outcomes. Infants were categorized into non-ROP, non-type 1 ROP, and type 1 ROP groups. Statistical analysis was performed to identify differences in risk factor distribution. <b>Results</b>: Among 183 infants, 33 (18.0%) developed ROP, with 11 (6.0%) requiring treatment for type 1 ROP. All infants with type 1 ROP were born at ≤28 weeks GA and weighed <1501 g. Type 1 ROP was significantly associated with lower GA, lower BW, systemic infection, surgery, and prolonged oxygen support (<i>p</i> < 0.05). Six infants were treated with laser and three with intravitreal bevacizumab. No recurrence was observed in the anti-VEGF group during 18 months of follow-up. Two infants with aggressive ROP died before treatment. <b>Conclusions</b>: Type 1 ROP in Cyprus occurred exclusively in extremely preterm infants, associated with the cumulative effect of multiple risk factors. Laser remained the primary treatment, while anti-VEGF was used selectively with favorable outcomes. This study emphasizes the importance of tailoring ROP screening and treatment strategies based on individual neonatal risk profiles, supporting a personalized approach to neonatal ophthalmic care.</p>","PeriodicalId":16722,"journal":{"name":"Journal of Personalized Medicine","volume":"15 8","pages":""},"PeriodicalIF":3.0000,"publicationDate":"2025-08-19","publicationTypes":"Journal Article","fieldsOfStudy":null,"isOpenAccess":false,"openAccessPdf":"https://www.ncbi.nlm.nih.gov/pmc/articles/PMC12387620/pdf/","citationCount":"0","resultStr":"{\"title\":\"From Screening to Therapy: A Personalized Approach to ROP in a National NICU Setting.\",\"authors\":\"Stylianos Christodoulou, Fedonas Herodotou, Annalisa Quattrocchi, Theodoros Potamitis, Vivi Choleva\",\"doi\":\"10.3390/jpm15080388\",\"DOIUrl\":null,\"url\":null,\"abstract\":\"<p><p><b>Aim</b>: We aimed to investigate the incidence, treatment patterns, and associated risk factors of type 1 retinopathy of prematurity (ROP) in the only tertiary-level Neonatal Intensive Care Unit (NICU) in Cyprus. <b>Methods</b>: This retrospective study included all infants screened for ROP between January and December 2023. Data were collected from standardized NICU discharge summaries and included gestational age (GA), birth weight (BW), multiple birth, systemic infection, blood transfusion, oxygen therapy, surgical interventions, and ROP outcomes. Infants were categorized into non-ROP, non-type 1 ROP, and type 1 ROP groups. Statistical analysis was performed to identify differences in risk factor distribution. <b>Results</b>: Among 183 infants, 33 (18.0%) developed ROP, with 11 (6.0%) requiring treatment for type 1 ROP. All infants with type 1 ROP were born at ≤28 weeks GA and weighed <1501 g. Type 1 ROP was significantly associated with lower GA, lower BW, systemic infection, surgery, and prolonged oxygen support (<i>p</i> < 0.05). Six infants were treated with laser and three with intravitreal bevacizumab. No recurrence was observed in the anti-VEGF group during 18 months of follow-up. Two infants with aggressive ROP died before treatment. <b>Conclusions</b>: Type 1 ROP in Cyprus occurred exclusively in extremely preterm infants, associated with the cumulative effect of multiple risk factors. Laser remained the primary treatment, while anti-VEGF was used selectively with favorable outcomes. This study emphasizes the importance of tailoring ROP screening and treatment strategies based on individual neonatal risk profiles, supporting a personalized approach to neonatal ophthalmic care.</p>\",\"PeriodicalId\":16722,\"journal\":{\"name\":\"Journal of Personalized Medicine\",\"volume\":\"15 8\",\"pages\":\"\"},\"PeriodicalIF\":3.0000,\"publicationDate\":\"2025-08-19\",\"publicationTypes\":\"Journal Article\",\"fieldsOfStudy\":null,\"isOpenAccess\":false,\"openAccessPdf\":\"https://www.ncbi.nlm.nih.gov/pmc/articles/PMC12387620/pdf/\",\"citationCount\":\"0\",\"resultStr\":null,\"platform\":\"Semanticscholar\",\"paperid\":null,\"PeriodicalName\":\"Journal of Personalized Medicine\",\"FirstCategoryId\":\"3\",\"ListUrlMain\":\"https://doi.org/10.3390/jpm15080388\",\"RegionNum\":3,\"RegionCategory\":\"医学\",\"ArticlePicture\":[],\"TitleCN\":null,\"AbstractTextCN\":null,\"PMCID\":null,\"EPubDate\":\"\",\"PubModel\":\"\",\"JCR\":\"Q2\",\"JCRName\":\"HEALTH CARE SCIENCES & SERVICES\",\"Score\":null,\"Total\":0}","platform":"Semanticscholar","paperid":null,"PeriodicalName":"Journal of Personalized Medicine","FirstCategoryId":"3","ListUrlMain":"https://doi.org/10.3390/jpm15080388","RegionNum":3,"RegionCategory":"医学","ArticlePicture":[],"TitleCN":null,"AbstractTextCN":null,"PMCID":null,"EPubDate":"","PubModel":"","JCR":"Q2","JCRName":"HEALTH CARE SCIENCES & SERVICES","Score":null,"Total":0}
引用次数: 0

摘要

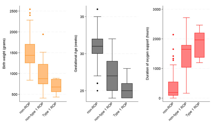
目的:我们旨在调查塞浦路斯唯一一家三级新生儿重症监护病房(NICU) 1型早产儿视网膜病变(ROP)的发病率、治疗模式和相关危险因素。方法:本回顾性研究纳入了2023年1月至12月期间筛查的所有ROP婴儿。数据收集自标准化NICU出院总结,包括胎龄(GA)、出生体重(BW)、多胎、全身感染、输血、氧治疗、手术干预和ROP结果。将婴儿分为非ROP组、非1型ROP组和1型ROP组。进行统计学分析以确定危险因素分布的差异。结果:183例患儿中,33例(18.0%)发生ROP, 11例(6.0%)需治疗1型ROP。所有1型ROP患儿均在出生时≤28周,体重p < 0.05)。6名婴儿接受激光治疗,3名接受玻璃体内贝伐单抗治疗。抗vegf组随访18个月无复发。两名患有侵袭性ROP的婴儿在治疗前死亡。结论:塞浦路斯1型ROP仅发生在极早产儿中,与多种危险因素的累积效应有关。激光仍然是主要的治疗方法,而抗vegf有选择性地使用,结果良好。本研究强调了基于个体新生儿风险概况定制ROP筛查和治疗策略的重要性,支持新生儿眼科护理的个性化方法。
本文章由计算机程序翻译,如有差异,请以英文原文为准。

From Screening to Therapy: A Personalized Approach to ROP in a National NICU Setting.

From Screening to Therapy: A Personalized Approach to ROP in a National NICU Setting.

From Screening to Therapy: A Personalized Approach to ROP in a National NICU Setting.

Aim: We aimed to investigate the incidence, treatment patterns, and associated risk factors of type 1 retinopathy of prematurity (ROP) in the only tertiary-level Neonatal Intensive Care Unit (NICU) in Cyprus. Methods: This retrospective study included all infants screened for ROP between January and December 2023. Data were collected from standardized NICU discharge summaries and included gestational age (GA), birth weight (BW), multiple birth, systemic infection, blood transfusion, oxygen therapy, surgical interventions, and ROP outcomes. Infants were categorized into non-ROP, non-type 1 ROP, and type 1 ROP groups. Statistical analysis was performed to identify differences in risk factor distribution. Results: Among 183 infants, 33 (18.0%) developed ROP, with 11 (6.0%) requiring treatment for type 1 ROP. All infants with type 1 ROP were born at ≤28 weeks GA and weighed <1501 g. Type 1 ROP was significantly associated with lower GA, lower BW, systemic infection, surgery, and prolonged oxygen support (p < 0.05). Six infants were treated with laser and three with intravitreal bevacizumab. No recurrence was observed in the anti-VEGF group during 18 months of follow-up. Two infants with aggressive ROP died before treatment. Conclusions: Type 1 ROP in Cyprus occurred exclusively in extremely preterm infants, associated with the cumulative effect of multiple risk factors. Laser remained the primary treatment, while anti-VEGF was used selectively with favorable outcomes. This study emphasizes the importance of tailoring ROP screening and treatment strategies based on individual neonatal risk profiles, supporting a personalized approach to neonatal ophthalmic care.

求助全文
通过发布文献求助,成功后即可免费获取论文全文。 去求助
来源期刊
Journal of Personalized Medicine
Journal of Personalized Medicine Medicine-Medicine (miscellaneous)
CiteScore
4.10
自引率
0.00%
发文量
1878
审稿时长
11 weeks
期刊介绍: Journal of Personalized Medicine (JPM; ISSN 2075-4426) is an international, open access journal aimed at bringing all aspects of personalized medicine to one platform. JPM publishes cutting edge, innovative preclinical and translational scientific research and technologies related to personalized medicine (e.g., pharmacogenomics/proteomics, systems biology). JPM recognizes that personalized medicine—the assessment of genetic, environmental and host factors that cause variability of individuals—is a challenging, transdisciplinary topic that requires discussions from a range of experts. For a comprehensive perspective of personalized medicine, JPM aims to integrate expertise from the molecular and translational sciences, therapeutics and diagnostics, as well as discussions of regulatory, social, ethical and policy aspects. We provide a forum to bring together academic and clinical researchers, biotechnology, diagnostic and pharmaceutical companies, health professionals, regulatory and ethical experts, and government and regulatory authorities.
×
引用
GB/T 7714-2015
复制
MLA
复制
APA
复制
导出至
BibTeX EndNote RefMan NoteFirst NoteExpress
×
提示
您的信息不完整,为了账户安全,请先补充。
现在去补充
×
提示
您因"违规操作"
具体请查看互助需知
我知道了
×
提示
确定
请完成安全验证×
copy
已复制链接
快去分享给好友吧!
我知道了
右上角分享
点击右上角分享
0
联系我们:info@booksci.cn Book学术提供免费学术资源搜索服务,方便国内外学者检索中英文文献。致力于提供最便捷和优质的服务体验。 Copyright © 2023 布克学术 All rights reserved.
京ICP备2023020795号-1
ghs 京公网安备 11010802042870号
Book学术文献互助
Book学术文献互助群
群 号:604180095
Book学术官方微信