低丰度口腔细菌生物膜诱导细胞因子释放和NLRP3炎性体活化。

IF 5.5 2区 医学 Q2 MICROBIOLOGY
Journal of Oral Microbiology Pub Date : 2025-08-27 eCollection Date: 2025-01-01 DOI:10.1080/20002297.2025.2552167
Maribasappa Karched, Radhika Guleri Bhardwaj, Manal Abu Al-Melh, Muawia Abdalla Qudeimat
{"title":"低丰度口腔细菌生物膜诱导细胞因子释放和NLRP3炎性体活化。","authors":"Maribasappa Karched, Radhika Guleri Bhardwaj, Manal Abu Al-Melh, Muawia Abdalla Qudeimat","doi":"10.1080/20002297.2025.2552167","DOIUrl":null,"url":null,"abstract":"<p><strong>Background: </strong>Low-abundance bacterial (LAB) species, despite their low prevalence, may contribute to oral inflammatory diseases by triggering host immune responses. The NLRP3 inflammasome plays a key role in inflammation, but its activation by LAB species remains unclear.</p><p><strong>Aim: </strong>This study examined whether selected LAB species and their biofilm-secreted components induce cytokine production and inflammasome activation in human peripheral blood mononuclear cells (PBMCs).</p><p><strong>Methods: </strong>Biofilms of selected LAB species were established, and supernatants were collected. PBMCs were stimulated with biofilms or supernatants, and cytokine levels were quantified using ELISA. The expression of NLRP3 and Caspase-1 genes was analyzed through real-time PCR.</p><p><strong>Results: </strong>Biofilms induced significantly higher levels of pro-inflammatory cytokines (TNF-α, IL-6, IL-1β, and IL-18) compared to supernatants, with C. hominis, N. flavescens, and D. pneumosintes being the most potent inducers. Biofilms also led to a marked increase in NLRP3 expression, while supernatants primarily activated Caspase-1 expression, indicating distinct inflammasome activation pathways.</p><p><strong>Conclusions: </strong>These findings highlight the immunostimulatory potential of LAB species, particularly their ability to activate NLRP3 and drive inflammation. The differential activation of NLRP3/Caspase-1 by biofilms and supernatants suggests distinct pathogenic mechanisms. Targeting such mechanisms/pathways could offer new therapeutic strategies to mitigate inflammation linked to oral infections.</p>","PeriodicalId":16598,"journal":{"name":"Journal of Oral Microbiology","volume":"17 1","pages":"2552167"},"PeriodicalIF":5.5000,"publicationDate":"2025-08-27","publicationTypes":"Journal Article","fieldsOfStudy":null,"isOpenAccess":false,"openAccessPdf":"https://www.ncbi.nlm.nih.gov/pmc/articles/PMC12395623/pdf/","citationCount":"0","resultStr":"{\"title\":\"Cytokine release and NLRP3 inflammasome activation induced by low-abundance oral bacterial biofilms.\",\"authors\":\"Maribasappa Karched, Radhika Guleri Bhardwaj, Manal Abu Al-Melh, Muawia Abdalla Qudeimat\",\"doi\":\"10.1080/20002297.2025.2552167\",\"DOIUrl\":null,\"url\":null,\"abstract\":\"<p><strong>Background: </strong>Low-abundance bacterial (LAB) species, despite their low prevalence, may contribute to oral inflammatory diseases by triggering host immune responses. The NLRP3 inflammasome plays a key role in inflammation, but its activation by LAB species remains unclear.</p><p><strong>Aim: </strong>This study examined whether selected LAB species and their biofilm-secreted components induce cytokine production and inflammasome activation in human peripheral blood mononuclear cells (PBMCs).</p><p><strong>Methods: </strong>Biofilms of selected LAB species were established, and supernatants were collected. PBMCs were stimulated with biofilms or supernatants, and cytokine levels were quantified using ELISA. The expression of NLRP3 and Caspase-1 genes was analyzed through real-time PCR.</p><p><strong>Results: </strong>Biofilms induced significantly higher levels of pro-inflammatory cytokines (TNF-α, IL-6, IL-1β, and IL-18) compared to supernatants, with C. hominis, N. flavescens, and D. pneumosintes being the most potent inducers. Biofilms also led to a marked increase in NLRP3 expression, while supernatants primarily activated Caspase-1 expression, indicating distinct inflammasome activation pathways.</p><p><strong>Conclusions: </strong>These findings highlight the immunostimulatory potential of LAB species, particularly their ability to activate NLRP3 and drive inflammation. The differential activation of NLRP3/Caspase-1 by biofilms and supernatants suggests distinct pathogenic mechanisms. Targeting such mechanisms/pathways could offer new therapeutic strategies to mitigate inflammation linked to oral infections.</p>\",\"PeriodicalId\":16598,\"journal\":{\"name\":\"Journal of Oral Microbiology\",\"volume\":\"17 1\",\"pages\":\"2552167\"},\"PeriodicalIF\":5.5000,\"publicationDate\":\"2025-08-27\",\"publicationTypes\":\"Journal Article\",\"fieldsOfStudy\":null,\"isOpenAccess\":false,\"openAccessPdf\":\"https://www.ncbi.nlm.nih.gov/pmc/articles/PMC12395623/pdf/\",\"citationCount\":\"0\",\"resultStr\":null,\"platform\":\"Semanticscholar\",\"paperid\":null,\"PeriodicalName\":\"Journal of Oral Microbiology\",\"FirstCategoryId\":\"3\",\"ListUrlMain\":\"https://doi.org/10.1080/20002297.2025.2552167\",\"RegionNum\":2,\"RegionCategory\":\"医学\",\"ArticlePicture\":[],\"TitleCN\":null,\"AbstractTextCN\":null,\"PMCID\":null,\"EPubDate\":\"2025/1/1 0:00:00\",\"PubModel\":\"eCollection\",\"JCR\":\"Q2\",\"JCRName\":\"MICROBIOLOGY\",\"Score\":null,\"Total\":0}","platform":"Semanticscholar","paperid":null,"PeriodicalName":"Journal of Oral Microbiology","FirstCategoryId":"3","ListUrlMain":"https://doi.org/10.1080/20002297.2025.2552167","RegionNum":2,"RegionCategory":"医学","ArticlePicture":[],"TitleCN":null,"AbstractTextCN":null,"PMCID":null,"EPubDate":"2025/1/1 0:00:00","PubModel":"eCollection","JCR":"Q2","JCRName":"MICROBIOLOGY","Score":null,"Total":0}
引用次数: 0

摘要

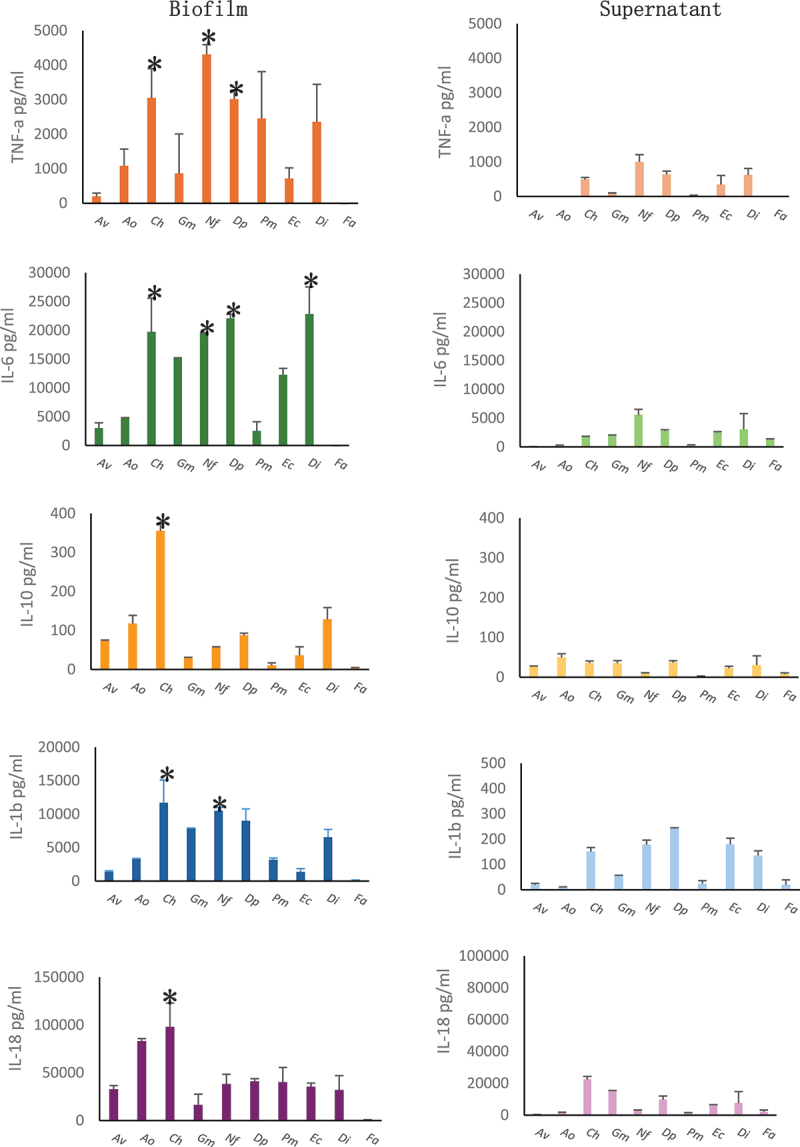
背景:低丰度细菌(LAB)尽管发病率低,但可能通过触发宿主免疫反应而导致口腔炎症性疾病。NLRP3炎症小体在炎症中起关键作用,但其被LAB物种激活的情况尚不清楚。目的:研究选定的乳酸菌种类及其生物膜分泌成分是否诱导人外周血单核细胞(PBMCs)细胞因子的产生和炎性体的激活。方法:选定菌种建立生物膜,收集上清液。用生物膜或上清液刺激PBMCs,用ELISA法定量细胞因子水平。实时荧光定量PCR检测NLRP3和Caspase-1基因的表达。结果:与上清液相比,生物膜诱导的促炎细胞因子(TNF-α、IL-6、IL-1β和IL-18)水平显著提高,其中人原梭菌、黄芽孢杆菌和肺肺梭菌是最有效的诱导因子。生物膜也导致NLRP3表达显著增加,而上清主要激活Caspase-1表达,表明不同的炎性体激活途径。结论:这些发现强调了LAB物种的免疫刺激潜力,特别是它们激活NLRP3和驱动炎症的能力。生物膜和上清液对NLRP3/Caspase-1的不同激活提示了不同的致病机制。针对这些机制/途径可以提供新的治疗策略,以减轻与口腔感染相关的炎症。
本文章由计算机程序翻译,如有差异,请以英文原文为准。

Cytokine release and NLRP3 inflammasome activation induced by low-abundance oral bacterial biofilms.

Cytokine release and NLRP3 inflammasome activation induced by low-abundance oral bacterial biofilms.

Cytokine release and NLRP3 inflammasome activation induced by low-abundance oral bacterial biofilms.

Cytokine release and NLRP3 inflammasome activation induced by low-abundance oral bacterial biofilms.

Background: Low-abundance bacterial (LAB) species, despite their low prevalence, may contribute to oral inflammatory diseases by triggering host immune responses. The NLRP3 inflammasome plays a key role in inflammation, but its activation by LAB species remains unclear.

Aim: This study examined whether selected LAB species and their biofilm-secreted components induce cytokine production and inflammasome activation in human peripheral blood mononuclear cells (PBMCs).

Methods: Biofilms of selected LAB species were established, and supernatants were collected. PBMCs were stimulated with biofilms or supernatants, and cytokine levels were quantified using ELISA. The expression of NLRP3 and Caspase-1 genes was analyzed through real-time PCR.

Results: Biofilms induced significantly higher levels of pro-inflammatory cytokines (TNF-α, IL-6, IL-1β, and IL-18) compared to supernatants, with C. hominis, N. flavescens, and D. pneumosintes being the most potent inducers. Biofilms also led to a marked increase in NLRP3 expression, while supernatants primarily activated Caspase-1 expression, indicating distinct inflammasome activation pathways.

Conclusions: These findings highlight the immunostimulatory potential of LAB species, particularly their ability to activate NLRP3 and drive inflammation. The differential activation of NLRP3/Caspase-1 by biofilms and supernatants suggests distinct pathogenic mechanisms. Targeting such mechanisms/pathways could offer new therapeutic strategies to mitigate inflammation linked to oral infections.

求助全文
通过发布文献求助,成功后即可免费获取论文全文。 去求助
来源期刊
CiteScore
8.00
自引率
4.40%
发文量
52
审稿时长
12 weeks
期刊介绍: As the first Open Access journal in its field, the Journal of Oral Microbiology aims to be an influential source of knowledge on the aetiological agents behind oral infectious diseases. The journal is an international forum for original research on all aspects of ''oral health''. Articles which seek to understand ''oral health'' through exploration of the pathogenesis, virulence, host-parasite interactions, and immunology of oral infections are of particular interest. However, the journal also welcomes work that addresses the global agenda of oral infectious diseases and articles that present new strategies for treatment and prevention or improvements to existing strategies. Topics: ''oral health'', microbiome, genomics, host-pathogen interactions, oral infections, aetiologic agents, pathogenesis, molecular microbiology systemic diseases, ecology/environmental microbiology, treatment, diagnostics, epidemiology, basic oral microbiology, and taxonomy/systematics. Article types: original articles, notes, review articles, mini-reviews and commentaries
×
引用
GB/T 7714-2015
复制
MLA
复制
APA
复制
导出至
BibTeX EndNote RefMan NoteFirst NoteExpress
×
提示
您的信息不完整,为了账户安全,请先补充。
现在去补充
×
提示
您因"违规操作"
具体请查看互助需知
我知道了
×
提示
确定
请完成安全验证×
copy
已复制链接
快去分享给好友吧!
我知道了
右上角分享
点击右上角分享
0
联系我们:info@booksci.cn Book学术提供免费学术资源搜索服务,方便国内外学者检索中英文文献。致力于提供最便捷和优质的服务体验。 Copyright © 2023 布克学术 All rights reserved.
京ICP备2023020795号-1
ghs 京公网安备 11010802042870号
Book学术文献互助
Book学术文献互助群
群 号:604180095
Book学术官方微信