基于人工智能的肌电图报告:一项随机对照试验。

IF 4.6 2区 医学 Q1 CLINICAL NEUROLOGY
Alon Gorenshtein, Yana Weisblat, Mohamed Khateb, Gilad Kenan, Irina Tsirkin, Galina Fayn, Semion Geller, Shahar Shelly
{"title":"基于人工智能的肌电图报告:一项随机对照试验。","authors":"Alon Gorenshtein, Yana Weisblat, Mohamed Khateb, Gilad Kenan, Irina Tsirkin, Galina Fayn, Semion Geller, Shahar Shelly","doi":"10.1007/s00415-025-13261-3","DOIUrl":null,"url":null,"abstract":"<p><strong>Background and objectives: </strong>Accurate interpretation of electrodiagnostic (EDX) studies is essential for the diagnosis and management of neuromuscular disorders. Artificial intelligence (AI) based tools may improve consistency and quality of EDX reporting and reduce workload. The aim of this study is to evaluate the performance of an AI-assisted, multi-agent framework (INSPIRE) in comparison with standard physician interpretation in a randomized controlled trial (RCT).</p><p><strong>Methods: </strong>We prospectively enrolled 200 patients (out of 363 assessed for eligibility) referred for EDX. Patients were randomly assigned to either a control group (physician-only interpretation) or an intervention group (physician-AI interpretation). Three board-certified physicians, rotated across both arms. In the intervention group, an AI-generated preliminary report was combined with the physician's independent findings (human-AI integration). The primary outcome was EDX report quality using score we developed named AI-Generated EMG Report Score (AIGERS; score range, 0-1, with higher scores indicating more accurate or complete reports). Secondary outcomes included a physician-reported AI integration rating score (PAIR) and a compliance survey evaluating ease of AI adoption.</p><p><strong>Results: </strong>Of the 200 enrolled patients, 100 were allocated to AI-assisted interpretation and 100 to physician-only reporting. While AI-generated preliminary reports offered moderate consistency on the AIGERS metric, the integrated (physician-AI) approach did not significantly outperform physician-only methods. Despite some anecdotal advantages such as efficiency in suggesting standardized terminology quantitatively, the AIGERS scores for physician-AI integration was nearly the same as those in the physician-only arm and did not reach statistical significance (p > 0.05 for all comparisons). Physicians reported variable acceptance of AI suggestions, expressing concerns about the interpretability of AI outputs and workflow interruptions. Physician-AI collaboration scores showed moderate trust in the AI's suggestions (mean 3.7/5) but rated efficiency (2.0/5), ease of use (1.7/5), and workload reduction (1.7/5) as poor, indicating usability challenges and workflow interruptions.</p><p><strong>Discussion: </strong>In this single-center, randomized trial, AI-assisted EDX interpretation did not demonstrate a significant advantage over conventional physician-only interpretation. Nevertheless, the AI framework may help reduce workload and documentation burdens by handling simpler, routine EDX tests freeing physicians to focus on more complex cases that require greater expertise.</p><p><strong>Trial registration: </strong>ClinicalTrials.gov Identifier: NCT06902675.</p>","PeriodicalId":16558,"journal":{"name":"Journal of Neurology","volume":"272 9","pages":"586"},"PeriodicalIF":4.6000,"publicationDate":"2025-08-22","publicationTypes":"Journal Article","fieldsOfStudy":null,"isOpenAccess":false,"openAccessPdf":"https://www.ncbi.nlm.nih.gov/pmc/articles/PMC12373542/pdf/","citationCount":"0","resultStr":"{\"title\":\"AI-Based EMG Reporting: A Randomized Controlled Trial.\",\"authors\":\"Alon Gorenshtein, Yana Weisblat, Mohamed Khateb, Gilad Kenan, Irina Tsirkin, Galina Fayn, Semion Geller, Shahar Shelly\",\"doi\":\"10.1007/s00415-025-13261-3\",\"DOIUrl\":null,\"url\":null,\"abstract\":\"<p><strong>Background and objectives: </strong>Accurate interpretation of electrodiagnostic (EDX) studies is essential for the diagnosis and management of neuromuscular disorders. Artificial intelligence (AI) based tools may improve consistency and quality of EDX reporting and reduce workload. The aim of this study is to evaluate the performance of an AI-assisted, multi-agent framework (INSPIRE) in comparison with standard physician interpretation in a randomized controlled trial (RCT).</p><p><strong>Methods: </strong>We prospectively enrolled 200 patients (out of 363 assessed for eligibility) referred for EDX. Patients were randomly assigned to either a control group (physician-only interpretation) or an intervention group (physician-AI interpretation). Three board-certified physicians, rotated across both arms. In the intervention group, an AI-generated preliminary report was combined with the physician's independent findings (human-AI integration). The primary outcome was EDX report quality using score we developed named AI-Generated EMG Report Score (AIGERS; score range, 0-1, with higher scores indicating more accurate or complete reports). Secondary outcomes included a physician-reported AI integration rating score (PAIR) and a compliance survey evaluating ease of AI adoption.</p><p><strong>Results: </strong>Of the 200 enrolled patients, 100 were allocated to AI-assisted interpretation and 100 to physician-only reporting. While AI-generated preliminary reports offered moderate consistency on the AIGERS metric, the integrated (physician-AI) approach did not significantly outperform physician-only methods. Despite some anecdotal advantages such as efficiency in suggesting standardized terminology quantitatively, the AIGERS scores for physician-AI integration was nearly the same as those in the physician-only arm and did not reach statistical significance (p > 0.05 for all comparisons). Physicians reported variable acceptance of AI suggestions, expressing concerns about the interpretability of AI outputs and workflow interruptions. Physician-AI collaboration scores showed moderate trust in the AI's suggestions (mean 3.7/5) but rated efficiency (2.0/5), ease of use (1.7/5), and workload reduction (1.7/5) as poor, indicating usability challenges and workflow interruptions.</p><p><strong>Discussion: </strong>In this single-center, randomized trial, AI-assisted EDX interpretation did not demonstrate a significant advantage over conventional physician-only interpretation. Nevertheless, the AI framework may help reduce workload and documentation burdens by handling simpler, routine EDX tests freeing physicians to focus on more complex cases that require greater expertise.</p><p><strong>Trial registration: </strong>ClinicalTrials.gov Identifier: NCT06902675.</p>\",\"PeriodicalId\":16558,\"journal\":{\"name\":\"Journal of Neurology\",\"volume\":\"272 9\",\"pages\":\"586\"},\"PeriodicalIF\":4.6000,\"publicationDate\":\"2025-08-22\",\"publicationTypes\":\"Journal Article\",\"fieldsOfStudy\":null,\"isOpenAccess\":false,\"openAccessPdf\":\"https://www.ncbi.nlm.nih.gov/pmc/articles/PMC12373542/pdf/\",\"citationCount\":\"0\",\"resultStr\":null,\"platform\":\"Semanticscholar\",\"paperid\":null,\"PeriodicalName\":\"Journal of Neurology\",\"FirstCategoryId\":\"3\",\"ListUrlMain\":\"https://doi.org/10.1007/s00415-025-13261-3\",\"RegionNum\":2,\"RegionCategory\":\"医学\",\"ArticlePicture\":[],\"TitleCN\":null,\"AbstractTextCN\":null,\"PMCID\":null,\"EPubDate\":\"\",\"PubModel\":\"\",\"JCR\":\"Q1\",\"JCRName\":\"CLINICAL NEUROLOGY\",\"Score\":null,\"Total\":0}","platform":"Semanticscholar","paperid":null,"PeriodicalName":"Journal of Neurology","FirstCategoryId":"3","ListUrlMain":"https://doi.org/10.1007/s00415-025-13261-3","RegionNum":2,"RegionCategory":"医学","ArticlePicture":[],"TitleCN":null,"AbstractTextCN":null,"PMCID":null,"EPubDate":"","PubModel":"","JCR":"Q1","JCRName":"CLINICAL NEUROLOGY","Score":null,"Total":0}
引用次数: 0

摘要

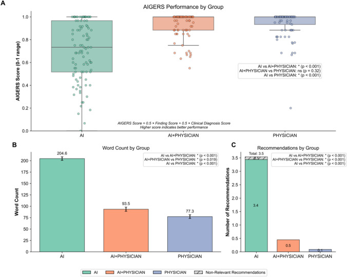
背景和目的:准确解释电诊断(EDX)研究对神经肌肉疾病的诊断和治疗至关重要。基于人工智能(AI)的工具可以提高EDX报告的一致性和质量,并减少工作量。本研究的目的是在一项随机对照试验(RCT)中评估人工智能辅助的多主体框架(INSPIRE)与标准医生解释的性能。方法:我们前瞻性地招募了200名患者(363名合格评估患者)进行EDX治疗。患者被随机分配到对照组(仅医生口译)或干预组(医生人工智能口译)。三个委员会认证的医生,双臂旋转。在干预组,人工智能生成的初步报告与医生的独立发现相结合(人-人工智能整合)。主要结果是EDX报告的质量,使用我们开发的名为人工智能生成的肌电报告评分(AIGERS;评分范围为0-1,分数越高表明报告更准确或完整)。次要结果包括医生报告的人工智能整合评分(PAIR)和评估人工智能采用难易程度的依从性调查。结果:在200例入组患者中,100例分配到人工智能辅助口译,100例分配到仅由医生报告。虽然人工智能生成的初步报告在AIGERS指标上提供了适度的一致性,但综合(医生-人工智能)方法并没有明显优于仅医生方法。尽管在定量建议标准化术语方面有一些优势,但医生-人工智能整合的AIGERS评分与仅医生组的评分几乎相同,没有达到统计学意义(所有比较p > 0.05)。医生报告了对人工智能建议的不同接受程度,表达了对人工智能输出的可解释性和工作流程中断的担忧。医生与人工智能的协作得分显示,对人工智能的建议有中等程度的信任(平均3.7/5),但对效率(2.0/5)、易用性(1.7/5)和工作量减少(1.7/5)的评分较差,表明存在可用性挑战和工作流程中断。讨论:在这个单中心随机试验中,人工智能辅助的EDX解释没有显示出比传统的仅由医生解释的显著优势。尽管如此,人工智能框架可以通过处理更简单的常规EDX测试来帮助减少工作量和文档负担,从而使医生能够专注于需要更多专业知识的更复杂的病例。试验注册:ClinicalTrials.gov标识符:NCT06902675。
本文章由计算机程序翻译,如有差异,请以英文原文为准。

AI-Based EMG Reporting: A Randomized Controlled Trial.

AI-Based EMG Reporting: A Randomized Controlled Trial.

AI-Based EMG Reporting: A Randomized Controlled Trial.

AI-Based EMG Reporting: A Randomized Controlled Trial.

Background and objectives: Accurate interpretation of electrodiagnostic (EDX) studies is essential for the diagnosis and management of neuromuscular disorders. Artificial intelligence (AI) based tools may improve consistency and quality of EDX reporting and reduce workload. The aim of this study is to evaluate the performance of an AI-assisted, multi-agent framework (INSPIRE) in comparison with standard physician interpretation in a randomized controlled trial (RCT).

Methods: We prospectively enrolled 200 patients (out of 363 assessed for eligibility) referred for EDX. Patients were randomly assigned to either a control group (physician-only interpretation) or an intervention group (physician-AI interpretation). Three board-certified physicians, rotated across both arms. In the intervention group, an AI-generated preliminary report was combined with the physician's independent findings (human-AI integration). The primary outcome was EDX report quality using score we developed named AI-Generated EMG Report Score (AIGERS; score range, 0-1, with higher scores indicating more accurate or complete reports). Secondary outcomes included a physician-reported AI integration rating score (PAIR) and a compliance survey evaluating ease of AI adoption.

Results: Of the 200 enrolled patients, 100 were allocated to AI-assisted interpretation and 100 to physician-only reporting. While AI-generated preliminary reports offered moderate consistency on the AIGERS metric, the integrated (physician-AI) approach did not significantly outperform physician-only methods. Despite some anecdotal advantages such as efficiency in suggesting standardized terminology quantitatively, the AIGERS scores for physician-AI integration was nearly the same as those in the physician-only arm and did not reach statistical significance (p > 0.05 for all comparisons). Physicians reported variable acceptance of AI suggestions, expressing concerns about the interpretability of AI outputs and workflow interruptions. Physician-AI collaboration scores showed moderate trust in the AI's suggestions (mean 3.7/5) but rated efficiency (2.0/5), ease of use (1.7/5), and workload reduction (1.7/5) as poor, indicating usability challenges and workflow interruptions.

Discussion: In this single-center, randomized trial, AI-assisted EDX interpretation did not demonstrate a significant advantage over conventional physician-only interpretation. Nevertheless, the AI framework may help reduce workload and documentation burdens by handling simpler, routine EDX tests freeing physicians to focus on more complex cases that require greater expertise.

Trial registration: ClinicalTrials.gov Identifier: NCT06902675.

求助全文
通过发布文献求助,成功后即可免费获取论文全文。 去求助
来源期刊
Journal of Neurology
Journal of Neurology 医学-临床神经学
CiteScore
10.00
自引率
5.00%
发文量
558
审稿时长
1 months
期刊介绍: The Journal of Neurology is an international peer-reviewed journal which provides a source for publishing original communications and reviews on clinical neurology covering the whole field. In addition, Letters to the Editors serve as a forum for clinical cases and the exchange of ideas which highlight important new findings. A section on Neurological progress serves to summarise the major findings in certain fields of neurology. Commentaries on new developments in clinical neuroscience, which may be commissioned or submitted, are published as editorials. Every neurologist interested in the current diagnosis and treatment of neurological disorders needs access to the information contained in this valuable journal.
×
引用
GB/T 7714-2015
复制
MLA
复制
APA
复制
导出至
BibTeX EndNote RefMan NoteFirst NoteExpress
×
提示
您的信息不完整,为了账户安全,请先补充。
现在去补充
×
提示
您因"违规操作"
具体请查看互助需知
我知道了
×
提示
确定
请完成安全验证×
copy
已复制链接
快去分享给好友吧!
我知道了
右上角分享
点击右上角分享
0
联系我们:info@booksci.cn Book学术提供免费学术资源搜索服务,方便国内外学者检索中英文文献。致力于提供最便捷和优质的服务体验。 Copyright © 2023 布克学术 All rights reserved.
京ICP备2023020795号-1
ghs 京公网安备 11010802042870号
Book学术文献互助
Book学术文献互助群
群 号:604180095
Book学术官方微信