外载荷对拉伸-缩短周期运动中肌腱动力学贡献的影响。

IF 1.6 4区 医学 Q4 NEUROSCIENCES
Takehiro Kosaka, Keitaro Kubo
{"title":"外载荷对拉伸-缩短周期运动中肌腱动力学贡献的影响。","authors":"Takehiro Kosaka, Keitaro Kubo","doi":"","DOIUrl":null,"url":null,"abstract":"<p><strong>Objectives: </strong>This study aimed to determine the effect of external load on the contribution of tendon lengthening during eccentric phase and tendon shortening velocity during concentric phase in stretch-shortening cycle exercises.</p><p><strong>Methods: </strong>Fifteen men performed no-countermovement jump (noCMJ) and countermovement jump (CMJ) using only ankle joint with three different loads (0, 30, and 70% of 1 repetition maximum (RM)). Mean torque, angular velocity, power, and fascicle length of the medial gastrocnemius muscle were measured during jumping. In addition, the relative differences in the measured variables of CMJ compared to noCMJ were defined as pre-stretch augmentation.</p><p><strong>Results: </strong>During concentric phase, the pre-stretch augmentation in angular velocity and power was significantly correlated with that in tendon shortening velocity (except for 70%1RM) but not in fascicle shortening velocity. The increases in tendon length during eccentric phase of CMJ were highly correlated with mean power during concentric phase for all load conditions.</p><p><strong>Conclusion: </strong>These results suggest that the tendon shortening velocity during concentric phase and the amount of tendon lengthening during eccentric phase (i.e., tendon dynamics) strongly contribute to increased performance in stretch-shortening exercises.</p>","PeriodicalId":16430,"journal":{"name":"Journal of musculoskeletal & neuronal interactions","volume":"25 3","pages":"266-275"},"PeriodicalIF":1.6000,"publicationDate":"2025-09-01","publicationTypes":"Journal Article","fieldsOfStudy":null,"isOpenAccess":false,"openAccessPdf":"https://www.ncbi.nlm.nih.gov/pmc/articles/PMC12401464/pdf/","citationCount":"0","resultStr":"{\"title\":\"Effects of External Load on the Contribution of Tendon Dynamics During Stretch-Shortening Cycle Exercises.\",\"authors\":\"Takehiro Kosaka, Keitaro Kubo\",\"doi\":\"\",\"DOIUrl\":null,\"url\":null,\"abstract\":\"<p><strong>Objectives: </strong>This study aimed to determine the effect of external load on the contribution of tendon lengthening during eccentric phase and tendon shortening velocity during concentric phase in stretch-shortening cycle exercises.</p><p><strong>Methods: </strong>Fifteen men performed no-countermovement jump (noCMJ) and countermovement jump (CMJ) using only ankle joint with three different loads (0, 30, and 70% of 1 repetition maximum (RM)). Mean torque, angular velocity, power, and fascicle length of the medial gastrocnemius muscle were measured during jumping. In addition, the relative differences in the measured variables of CMJ compared to noCMJ were defined as pre-stretch augmentation.</p><p><strong>Results: </strong>During concentric phase, the pre-stretch augmentation in angular velocity and power was significantly correlated with that in tendon shortening velocity (except for 70%1RM) but not in fascicle shortening velocity. The increases in tendon length during eccentric phase of CMJ were highly correlated with mean power during concentric phase for all load conditions.</p><p><strong>Conclusion: </strong>These results suggest that the tendon shortening velocity during concentric phase and the amount of tendon lengthening during eccentric phase (i.e., tendon dynamics) strongly contribute to increased performance in stretch-shortening exercises.</p>\",\"PeriodicalId\":16430,\"journal\":{\"name\":\"Journal of musculoskeletal & neuronal interactions\",\"volume\":\"25 3\",\"pages\":\"266-275\"},\"PeriodicalIF\":1.6000,\"publicationDate\":\"2025-09-01\",\"publicationTypes\":\"Journal Article\",\"fieldsOfStudy\":null,\"isOpenAccess\":false,\"openAccessPdf\":\"https://www.ncbi.nlm.nih.gov/pmc/articles/PMC12401464/pdf/\",\"citationCount\":\"0\",\"resultStr\":null,\"platform\":\"Semanticscholar\",\"paperid\":null,\"PeriodicalName\":\"Journal of musculoskeletal & neuronal interactions\",\"FirstCategoryId\":\"3\",\"ListUrlMain\":\"\",\"RegionNum\":4,\"RegionCategory\":\"医学\",\"ArticlePicture\":[],\"TitleCN\":null,\"AbstractTextCN\":null,\"PMCID\":null,\"EPubDate\":\"\",\"PubModel\":\"\",\"JCR\":\"Q4\",\"JCRName\":\"NEUROSCIENCES\",\"Score\":null,\"Total\":0}","platform":"Semanticscholar","paperid":null,"PeriodicalName":"Journal of musculoskeletal & neuronal interactions","FirstCategoryId":"3","ListUrlMain":"","RegionNum":4,"RegionCategory":"医学","ArticlePicture":[],"TitleCN":null,"AbstractTextCN":null,"PMCID":null,"EPubDate":"","PubModel":"","JCR":"Q4","JCRName":"NEUROSCIENCES","Score":null,"Total":0}
引用次数: 0

摘要

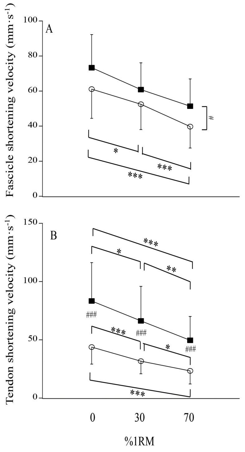
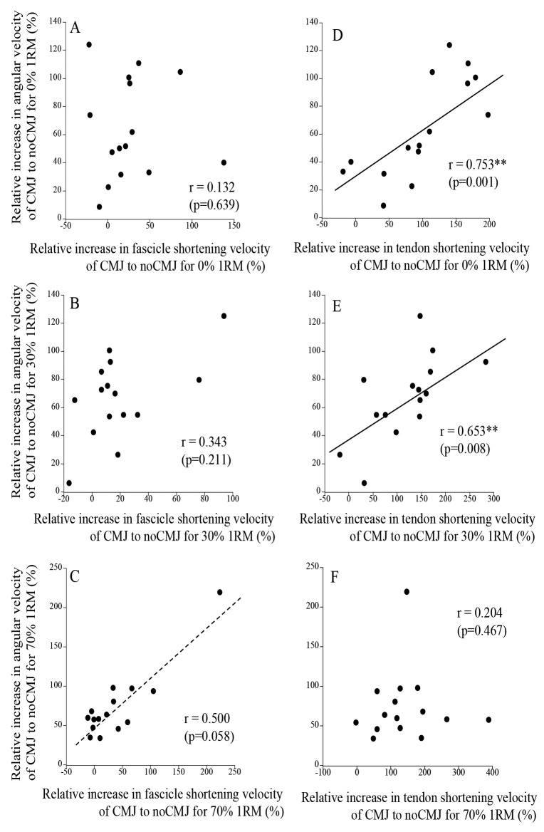
目的:本研究旨在确定外负荷对拉伸-缩短周期运动中偏心期肌腱延长和同心期肌腱缩短速度的影响。方法:15名男性在三种不同的负荷(0、30和70%的1次最大重复(RM))下,仅使用踝关节进行无反动作跳跃(noCMJ)和反动作跳跃(CMJ)。测量跳跃过程中腓肠肌内侧肌的平均扭矩、角速度、力量和肌束长度。此外,将CMJ与noCMJ测量变量的相对差异定义为预拉伸增强。结果:在同心圆阶段,拉伸前角速度和力量的增加与肌腱缩短速度显著相关(70%1RM除外),而与筋束缩短速度无关。在所有荷载条件下,CMJ偏心期肌腱长度的增加与同心期平均功率高度相关。结论:这些结果表明,同心期的肌腱缩短速度和偏心期的肌腱延长量(即肌腱动力学)对拉伸-缩短运动的表现有很大的影响。
本文章由计算机程序翻译,如有差异,请以英文原文为准。

Effects of External Load on the Contribution of Tendon Dynamics During Stretch-Shortening Cycle Exercises.

Effects of External Load on the Contribution of Tendon Dynamics During Stretch-Shortening Cycle Exercises.

Effects of External Load on the Contribution of Tendon Dynamics During Stretch-Shortening Cycle Exercises.

Effects of External Load on the Contribution of Tendon Dynamics During Stretch-Shortening Cycle Exercises.

Objectives: This study aimed to determine the effect of external load on the contribution of tendon lengthening during eccentric phase and tendon shortening velocity during concentric phase in stretch-shortening cycle exercises.

Methods: Fifteen men performed no-countermovement jump (noCMJ) and countermovement jump (CMJ) using only ankle joint with three different loads (0, 30, and 70% of 1 repetition maximum (RM)). Mean torque, angular velocity, power, and fascicle length of the medial gastrocnemius muscle were measured during jumping. In addition, the relative differences in the measured variables of CMJ compared to noCMJ were defined as pre-stretch augmentation.

Results: During concentric phase, the pre-stretch augmentation in angular velocity and power was significantly correlated with that in tendon shortening velocity (except for 70%1RM) but not in fascicle shortening velocity. The increases in tendon length during eccentric phase of CMJ were highly correlated with mean power during concentric phase for all load conditions.

Conclusion: These results suggest that the tendon shortening velocity during concentric phase and the amount of tendon lengthening during eccentric phase (i.e., tendon dynamics) strongly contribute to increased performance in stretch-shortening exercises.

求助全文
通过发布文献求助,成功后即可免费获取论文全文。 去求助
来源期刊
CiteScore
3.40
自引率
0.00%
发文量
67
审稿时长
>12 weeks
期刊介绍: The Journal of Musculoskeletal and Neuronal Interactions (JMNI) is an academic journal dealing with the pathophysiology and treatment of musculoskeletal disorders. It is published quarterly (months of issue March, June, September, December). Its purpose is to publish original, peer-reviewed papers of research and clinical experience in all areas of the musculoskeletal system and its interactions with the nervous system, especially metabolic bone diseases, with particular emphasis on osteoporosis. Additionally, JMNI publishes the Abstracts from the biannual meetings of the International Society of Musculoskeletal and Neuronal Interactions, and hosts Abstracts of other meetings on topics related to the aims and scope of JMNI.
×
引用
GB/T 7714-2015
复制
MLA
复制
APA
复制
导出至
BibTeX EndNote RefMan NoteFirst NoteExpress
×
提示
您的信息不完整,为了账户安全,请先补充。
现在去补充
×
提示
您因"违规操作"
具体请查看互助需知
我知道了
×
提示
确定
请完成安全验证×
copy
已复制链接
快去分享给好友吧!
我知道了
右上角分享
点击右上角分享
0
联系我们:info@booksci.cn Book学术提供免费学术资源搜索服务,方便国内外学者检索中英文文献。致力于提供最便捷和优质的服务体验。 Copyright © 2023 布克学术 All rights reserved.
京ICP备2023020795号-1
ghs 京公网安备 11010802042870号
Book学术文献互助
Book学术文献互助群
群 号:604180095
Book学术官方微信