通过新型GEM Premier 7000血气分析仪的溶血检测,提高了全血钾的可靠性。

IF 1.5 4区 医学 Q4 BIOCHEMISTRY & MOLECULAR BIOLOGY
Laura Pighi, Gian Luca Salvagno, Filippo Marcazzan, Mariateresa Rizza, Giuseppe Lippi
{"title":"通过新型GEM Premier 7000血气分析仪的溶血检测,提高了全血钾的可靠性。","authors":"Laura Pighi, Gian Luca Salvagno, Filippo Marcazzan, Mariateresa Rizza, Giuseppe Lippi","doi":"10.5937/jomb0-58604","DOIUrl":null,"url":null,"abstract":"<p><strong>Background: </strong>Hemolysis is the most frequent preanalytical error in clinical laboratories, but its detection in point-of-care (POC) settings remains challenging due to the lack of sample separation. This study was planned to validate the hemolysis index (HI) threshold of GEM Premier 7000 blood gas analyzer for detecting hemolysis levels that may generate clinically significant interference in potassium measurement.</p><p><strong>Methods: </strong>Heparinized whole blood samples were collected from healthy volunteers and divided into six aliquots; one was used as non-hemolyzed control, while hemolysis was mechanically induced in the remaining five aliquots by repeated aspirations through a fine-gauge needle. HI and potassium were measured on GEM Premier 7000.</p><p><strong>Results: </strong>The final study population consisted of 18 volunteers. Both HI and potassium levels increased progressively and significantly with the number of fine-needle aspirations (p<0.001 for both). A strong positive correlation was observed between HI values and percentage increases in potassium concentration in hemolyzed aliquots (r=0.985, p<0.001). Receiver operating characteristic (ROC) curve analysis confirmed excellent diagnostic accuracy of HI in detecting potassium increases above the minimum total 7.4% allowable error threshold, with an area under the curve (AUC) of 1.00 and optimal cutoff of 102 mg/dL (0.94 sensitivity and 1.00 specificity). At the manufacturer-recommended 116 mg/dL threshold, the AUC was 0.95, with 0.89 sensitivity and 1.00 specificity.</p><p><strong>Conclusions: </strong>These results confirm that the novel GEM Premier 7000 blood gas analyzer provides accurate detection of hemolysis thresholds in whole blood that may impair potassium test reliability.</p>","PeriodicalId":16175,"journal":{"name":"Journal of Medical Biochemistry","volume":"44 4","pages":"915-918"},"PeriodicalIF":1.5000,"publicationDate":"2025-07-04","publicationTypes":"Journal Article","fieldsOfStudy":null,"isOpenAccess":false,"openAccessPdf":"https://www.ncbi.nlm.nih.gov/pmc/articles/PMC12363344/pdf/","citationCount":"0","resultStr":"{\"title\":\"Improved potassium reliability in whole blood through hemolysis detection on the novel GEM Premier 7000 blood gas analyzer.\",\"authors\":\"Laura Pighi, Gian Luca Salvagno, Filippo Marcazzan, Mariateresa Rizza, Giuseppe Lippi\",\"doi\":\"10.5937/jomb0-58604\",\"DOIUrl\":null,\"url\":null,\"abstract\":\"<p><strong>Background: </strong>Hemolysis is the most frequent preanalytical error in clinical laboratories, but its detection in point-of-care (POC) settings remains challenging due to the lack of sample separation. This study was planned to validate the hemolysis index (HI) threshold of GEM Premier 7000 blood gas analyzer for detecting hemolysis levels that may generate clinically significant interference in potassium measurement.</p><p><strong>Methods: </strong>Heparinized whole blood samples were collected from healthy volunteers and divided into six aliquots; one was used as non-hemolyzed control, while hemolysis was mechanically induced in the remaining five aliquots by repeated aspirations through a fine-gauge needle. HI and potassium were measured on GEM Premier 7000.</p><p><strong>Results: </strong>The final study population consisted of 18 volunteers. Both HI and potassium levels increased progressively and significantly with the number of fine-needle aspirations (p<0.001 for both). A strong positive correlation was observed between HI values and percentage increases in potassium concentration in hemolyzed aliquots (r=0.985, p<0.001). Receiver operating characteristic (ROC) curve analysis confirmed excellent diagnostic accuracy of HI in detecting potassium increases above the minimum total 7.4% allowable error threshold, with an area under the curve (AUC) of 1.00 and optimal cutoff of 102 mg/dL (0.94 sensitivity and 1.00 specificity). At the manufacturer-recommended 116 mg/dL threshold, the AUC was 0.95, with 0.89 sensitivity and 1.00 specificity.</p><p><strong>Conclusions: </strong>These results confirm that the novel GEM Premier 7000 blood gas analyzer provides accurate detection of hemolysis thresholds in whole blood that may impair potassium test reliability.</p>\",\"PeriodicalId\":16175,\"journal\":{\"name\":\"Journal of Medical Biochemistry\",\"volume\":\"44 4\",\"pages\":\"915-918\"},\"PeriodicalIF\":1.5000,\"publicationDate\":\"2025-07-04\",\"publicationTypes\":\"Journal Article\",\"fieldsOfStudy\":null,\"isOpenAccess\":false,\"openAccessPdf\":\"https://www.ncbi.nlm.nih.gov/pmc/articles/PMC12363344/pdf/\",\"citationCount\":\"0\",\"resultStr\":null,\"platform\":\"Semanticscholar\",\"paperid\":null,\"PeriodicalName\":\"Journal of Medical Biochemistry\",\"FirstCategoryId\":\"3\",\"ListUrlMain\":\"https://doi.org/10.5937/jomb0-58604\",\"RegionNum\":4,\"RegionCategory\":\"医学\",\"ArticlePicture\":[],\"TitleCN\":null,\"AbstractTextCN\":null,\"PMCID\":null,\"EPubDate\":\"\",\"PubModel\":\"\",\"JCR\":\"Q4\",\"JCRName\":\"BIOCHEMISTRY & MOLECULAR BIOLOGY\",\"Score\":null,\"Total\":0}","platform":"Semanticscholar","paperid":null,"PeriodicalName":"Journal of Medical Biochemistry","FirstCategoryId":"3","ListUrlMain":"https://doi.org/10.5937/jomb0-58604","RegionNum":4,"RegionCategory":"医学","ArticlePicture":[],"TitleCN":null,"AbstractTextCN":null,"PMCID":null,"EPubDate":"","PubModel":"","JCR":"Q4","JCRName":"BIOCHEMISTRY & MOLECULAR BIOLOGY","Score":null,"Total":0}
引用次数: 0

摘要

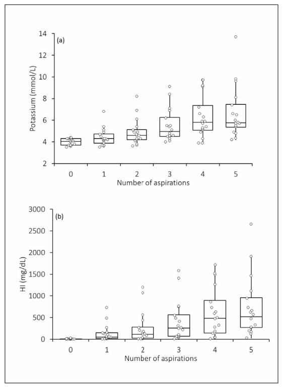
背景:溶血是临床实验室中最常见的分析前错误,但由于缺乏样品分离,其在护理点(POC)环境中的检测仍然具有挑战性。本研究计划验证GEM Premier 7000血气分析仪的溶血指数(HI)阈值,用于检测可能对钾测量产生临床显著干扰的溶血水平。方法:采集健康志愿者肝素化全血,分为6份;其中一组作为非溶血对照组,其余五组通过细针反复抽吸,机械诱导溶血。在GEM Premier 7000上测定HI和钾含量。结果:最终的研究人群由18名志愿者组成。随着细针穿刺次数的增加,HI和钾水平逐渐显著升高(结论:这些结果证实,新型GEM Premier 7000血气分析仪可以准确检测全血溶血阈值,这可能会损害钾试验的可靠性。
本文章由计算机程序翻译,如有差异,请以英文原文为准。

Improved potassium reliability in whole blood through hemolysis detection on the novel GEM Premier 7000 blood gas analyzer.

Improved potassium reliability in whole blood through hemolysis detection on the novel GEM Premier 7000 blood gas analyzer.

Improved potassium reliability in whole blood through hemolysis detection on the novel GEM Premier 7000 blood gas analyzer.

Improved potassium reliability in whole blood through hemolysis detection on the novel GEM Premier 7000 blood gas analyzer.

Background: Hemolysis is the most frequent preanalytical error in clinical laboratories, but its detection in point-of-care (POC) settings remains challenging due to the lack of sample separation. This study was planned to validate the hemolysis index (HI) threshold of GEM Premier 7000 blood gas analyzer for detecting hemolysis levels that may generate clinically significant interference in potassium measurement.

Methods: Heparinized whole blood samples were collected from healthy volunteers and divided into six aliquots; one was used as non-hemolyzed control, while hemolysis was mechanically induced in the remaining five aliquots by repeated aspirations through a fine-gauge needle. HI and potassium were measured on GEM Premier 7000.

Results: The final study population consisted of 18 volunteers. Both HI and potassium levels increased progressively and significantly with the number of fine-needle aspirations (p<0.001 for both). A strong positive correlation was observed between HI values and percentage increases in potassium concentration in hemolyzed aliquots (r=0.985, p<0.001). Receiver operating characteristic (ROC) curve analysis confirmed excellent diagnostic accuracy of HI in detecting potassium increases above the minimum total 7.4% allowable error threshold, with an area under the curve (AUC) of 1.00 and optimal cutoff of 102 mg/dL (0.94 sensitivity and 1.00 specificity). At the manufacturer-recommended 116 mg/dL threshold, the AUC was 0.95, with 0.89 sensitivity and 1.00 specificity.

Conclusions: These results confirm that the novel GEM Premier 7000 blood gas analyzer provides accurate detection of hemolysis thresholds in whole blood that may impair potassium test reliability.

求助全文
通过发布文献求助,成功后即可免费获取论文全文。 去求助
来源期刊
Journal of Medical Biochemistry
Journal of Medical Biochemistry BIOCHEMISTRY & MOLECULAR BIOLOGY-
CiteScore
3.00
自引率
12.00%
发文量
60
审稿时长
>12 weeks
期刊介绍: The JOURNAL OF MEDICAL BIOCHEMISTRY (J MED BIOCHEM) is the official journal of the Society of Medical Biochemists of Serbia with international peer-review. Papers are independently reviewed by at least two reviewers selected by the Editors as Blind Peer Reviews. The Journal of Medical Biochemistry is published quarterly. The Journal publishes original scientific and specialized articles on all aspects of clinical and medical biochemistry, molecular medicine, clinical hematology and coagulation, clinical immunology and autoimmunity, clinical microbiology, virology, clinical genomics and molecular biology, genetic epidemiology, drug measurement, evaluation of diagnostic markers, new reagents and laboratory equipment, reference materials and methods, reference values, laboratory organization, automation, quality control, clinical metrology, all related scientific disciplines where chemistry, biochemistry, molecular biology and immunochemistry deal with the study of normal and pathologic processes in human beings.
×
引用
GB/T 7714-2015
复制
MLA
复制
APA
复制
导出至
BibTeX EndNote RefMan NoteFirst NoteExpress
×
提示
您的信息不完整,为了账户安全,请先补充。
现在去补充
×
提示
您因"违规操作"
具体请查看互助需知
我知道了
×
提示
确定
请完成安全验证×
copy
已复制链接
快去分享给好友吧!
我知道了
右上角分享
点击右上角分享
0
联系我们:info@booksci.cn Book学术提供免费学术资源搜索服务,方便国内外学者检索中英文文献。致力于提供最便捷和优质的服务体验。 Copyright © 2023 布克学术 All rights reserved.
京ICP备2023020795号-1
ghs 京公网安备 11010802042870号
Book学术文献互助
Book学术文献互助群
群 号:604180095
Book学术官方微信