利用超短期HRV对运动员进行改良应激评分和交感-副交感比值:一种自主神经监测的新方法。

IF 2.5 Q1 SPORT SCIENCES
Andrew D Fields, Matthew A Mohammadnabi, Michael V Fedewa, Michael R Esco
{"title":"利用超短期HRV对运动员进行改良应激评分和交感-副交感比值:一种自主神经监测的新方法。","authors":"Andrew D Fields, Matthew A Mohammadnabi, Michael V Fedewa, Michael R Esco","doi":"10.3390/jfmk10030310","DOIUrl":null,"url":null,"abstract":"<p><p><b>Background:</b> Monitoring autonomic balance provides valuable insights into recovery status and physiological readiness, both of which are essential for performance optimization in athletes. The Stress Score (SS) and Sympathetic-Parasympathetic Ratio (SPS), derived from Poincaré plot heart rate variability (HRV) indices, have been proposed as practical markers of sympathetic activity and overall autonomic balance. However, these traditional calculations often require lengthy recordings and specialized software, limiting their feasibility in field settings. This study introduces modified versions of these metrics derived from ultra-short-term (1 min) time-domain HRV recordings: the Modified Stress Score (MSS) and Modified Sympathetic-Parasympathetic Ratio (MSPS). <b>Methods:</b> Competitive male athletes (<i>n</i> = 20, age = 21.2 ± 2.1 year, height = 183.6 ± 8.9 cm, weight = 79.2 ± 10.3 kg) completed a maximal exercise test with HRV recorded before and after exercise. <b>Results:</b> Following natural log-transformation, MSS and MSPS demonstrated strong correlations with SS and SPS across all time points (<i>r</i> = 0.87-0.94, all <i>p</i> < 0.01) and displayed the expected physiological responses to exercise and recovery. <b>Conclusions:</b> These findings suggest that MSS and MSPS are practical, accessible tools for assessing autonomic balance in athletes. Their application may enhance our ability to monitor recovery status, guide individualized training strategies, and optimize performance in applied sport settings.</p>","PeriodicalId":16052,"journal":{"name":"Journal of Functional Morphology and Kinesiology","volume":"10 3","pages":""},"PeriodicalIF":2.5000,"publicationDate":"2025-08-12","publicationTypes":"Journal Article","fieldsOfStudy":null,"isOpenAccess":false,"openAccessPdf":"https://www.ncbi.nlm.nih.gov/pmc/articles/PMC12371974/pdf/","citationCount":"0","resultStr":"{\"title\":\"Modified Stress Score and Sympathetic-Parasympathetic Ratio Using Ultra-Short-Term HRV in Athletes: A Novel Approach to Autonomic Monitoring.\",\"authors\":\"Andrew D Fields, Matthew A Mohammadnabi, Michael V Fedewa, Michael R Esco\",\"doi\":\"10.3390/jfmk10030310\",\"DOIUrl\":null,\"url\":null,\"abstract\":\"<p><p><b>Background:</b> Monitoring autonomic balance provides valuable insights into recovery status and physiological readiness, both of which are essential for performance optimization in athletes. The Stress Score (SS) and Sympathetic-Parasympathetic Ratio (SPS), derived from Poincaré plot heart rate variability (HRV) indices, have been proposed as practical markers of sympathetic activity and overall autonomic balance. However, these traditional calculations often require lengthy recordings and specialized software, limiting their feasibility in field settings. This study introduces modified versions of these metrics derived from ultra-short-term (1 min) time-domain HRV recordings: the Modified Stress Score (MSS) and Modified Sympathetic-Parasympathetic Ratio (MSPS). <b>Methods:</b> Competitive male athletes (<i>n</i> = 20, age = 21.2 ± 2.1 year, height = 183.6 ± 8.9 cm, weight = 79.2 ± 10.3 kg) completed a maximal exercise test with HRV recorded before and after exercise. <b>Results:</b> Following natural log-transformation, MSS and MSPS demonstrated strong correlations with SS and SPS across all time points (<i>r</i> = 0.87-0.94, all <i>p</i> < 0.01) and displayed the expected physiological responses to exercise and recovery. <b>Conclusions:</b> These findings suggest that MSS and MSPS are practical, accessible tools for assessing autonomic balance in athletes. Their application may enhance our ability to monitor recovery status, guide individualized training strategies, and optimize performance in applied sport settings.</p>\",\"PeriodicalId\":16052,\"journal\":{\"name\":\"Journal of Functional Morphology and Kinesiology\",\"volume\":\"10 3\",\"pages\":\"\"},\"PeriodicalIF\":2.5000,\"publicationDate\":\"2025-08-12\",\"publicationTypes\":\"Journal Article\",\"fieldsOfStudy\":null,\"isOpenAccess\":false,\"openAccessPdf\":\"https://www.ncbi.nlm.nih.gov/pmc/articles/PMC12371974/pdf/\",\"citationCount\":\"0\",\"resultStr\":null,\"platform\":\"Semanticscholar\",\"paperid\":null,\"PeriodicalName\":\"Journal of Functional Morphology and Kinesiology\",\"FirstCategoryId\":\"1085\",\"ListUrlMain\":\"https://doi.org/10.3390/jfmk10030310\",\"RegionNum\":0,\"RegionCategory\":null,\"ArticlePicture\":[],\"TitleCN\":null,\"AbstractTextCN\":null,\"PMCID\":null,\"EPubDate\":\"\",\"PubModel\":\"\",\"JCR\":\"Q1\",\"JCRName\":\"SPORT SCIENCES\",\"Score\":null,\"Total\":0}","platform":"Semanticscholar","paperid":null,"PeriodicalName":"Journal of Functional Morphology and Kinesiology","FirstCategoryId":"1085","ListUrlMain":"https://doi.org/10.3390/jfmk10030310","RegionNum":0,"RegionCategory":null,"ArticlePicture":[],"TitleCN":null,"AbstractTextCN":null,"PMCID":null,"EPubDate":"","PubModel":"","JCR":"Q1","JCRName":"SPORT SCIENCES","Score":null,"Total":0}
引用次数: 0

摘要

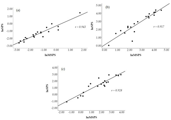
背景:监测自主平衡提供了对恢复状态和生理准备的宝贵见解,这两者对于运动员的表现优化都是必不可少的。应激评分(SS)和交感-副交感神经比值(SPS)是由poincar心率变异性(HRV)指数衍生而来的,被认为是交感神经活动和整体自主神经平衡的实用指标。然而,这些传统的计算通常需要长时间的记录和专门的软件,限制了它们在现场环境中的可行性。本研究引入了这些指标的修改版本,这些指标来源于超短期(1分钟)时域HRV记录:修改应激评分(MSS)和修改交感-副交感比(MSPS)。方法:男性竞技运动员20例,年龄21.2±2.1岁,身高183.6±8.9 cm,体重79.2±10.3 kg,完成极限运动试验,记录运动前后HRV。结果:经自然对数转换后,MSS和MSPS与SS和SPS在所有时间点上均表现出较强的相关性(r = 0.87-0.94,均p < 0.01),并表现出预期的运动和恢复生理反应。结论:这些研究结果表明,MSS和MSPS是评估运动员自主神经平衡的实用工具。它们的应用可以增强我们监测恢复状态的能力,指导个性化的训练策略,并优化应用运动环境中的表现。
本文章由计算机程序翻译,如有差异,请以英文原文为准。

Modified Stress Score and Sympathetic-Parasympathetic Ratio Using Ultra-Short-Term HRV in Athletes: A Novel Approach to Autonomic Monitoring.

Modified Stress Score and Sympathetic-Parasympathetic Ratio Using Ultra-Short-Term HRV in Athletes: A Novel Approach to Autonomic Monitoring.

Modified Stress Score and Sympathetic-Parasympathetic Ratio Using Ultra-Short-Term HRV in Athletes: A Novel Approach to Autonomic Monitoring.

Modified Stress Score and Sympathetic-Parasympathetic Ratio Using Ultra-Short-Term HRV in Athletes: A Novel Approach to Autonomic Monitoring.

Background: Monitoring autonomic balance provides valuable insights into recovery status and physiological readiness, both of which are essential for performance optimization in athletes. The Stress Score (SS) and Sympathetic-Parasympathetic Ratio (SPS), derived from Poincaré plot heart rate variability (HRV) indices, have been proposed as practical markers of sympathetic activity and overall autonomic balance. However, these traditional calculations often require lengthy recordings and specialized software, limiting their feasibility in field settings. This study introduces modified versions of these metrics derived from ultra-short-term (1 min) time-domain HRV recordings: the Modified Stress Score (MSS) and Modified Sympathetic-Parasympathetic Ratio (MSPS). Methods: Competitive male athletes (n = 20, age = 21.2 ± 2.1 year, height = 183.6 ± 8.9 cm, weight = 79.2 ± 10.3 kg) completed a maximal exercise test with HRV recorded before and after exercise. Results: Following natural log-transformation, MSS and MSPS demonstrated strong correlations with SS and SPS across all time points (r = 0.87-0.94, all p < 0.01) and displayed the expected physiological responses to exercise and recovery. Conclusions: These findings suggest that MSS and MSPS are practical, accessible tools for assessing autonomic balance in athletes. Their application may enhance our ability to monitor recovery status, guide individualized training strategies, and optimize performance in applied sport settings.

求助全文
通过发布文献求助,成功后即可免费获取论文全文。 去求助
来源期刊
Journal of Functional Morphology and Kinesiology
Journal of Functional Morphology and Kinesiology Health Professions-Physical Therapy, Sports Therapy and Rehabilitation
CiteScore
4.20
自引率
0.00%
发文量
94
审稿时长
12 weeks
×
引用
GB/T 7714-2015
复制
MLA
复制
APA
复制
导出至
BibTeX EndNote RefMan NoteFirst NoteExpress
×
提示
您的信息不完整,为了账户安全,请先补充。
现在去补充
×
提示
您因"违规操作"
具体请查看互助需知
我知道了
×
提示
确定
请完成安全验证×
copy
已复制链接
快去分享给好友吧!
我知道了
右上角分享
点击右上角分享
0
联系我们:info@booksci.cn Book学术提供免费学术资源搜索服务,方便国内外学者检索中英文文献。致力于提供最便捷和优质的服务体验。 Copyright © 2023 布克学术 All rights reserved.
京ICP备2023020795号-1
ghs 京公网安备 11010802042870号
Book学术文献互助
Book学术文献互助群
群 号:604180095
Book学术官方微信