补体途径:糖尿病肾病患者心血管疾病的危险分子模式

IF 1.5 4区 医学 Q4 BIOCHEMISTRY & MOLECULAR BIOLOGY
JunFei Liu, XiaoPing Qian, TaoXia Wang, XiaoLi Liu, WeiGang Liu, LiJie Wang, HuiFang Zhang, Li Han, GuiYing Li, XiaoJuan Yu
{"title":"补体途径:糖尿病肾病患者心血管疾病的危险分子模式","authors":"JunFei Liu, XiaoPing Qian, TaoXia Wang, XiaoLi Liu, WeiGang Liu, LiJie Wang, HuiFang Zhang, Li Han, GuiYing Li, XiaoJuan Yu","doi":"10.5937/jomb0-56221","DOIUrl":null,"url":null,"abstract":"<p><strong>Background: </strong>Among individuals with diabetes mellitus, diabetic nephropathy (DN) is a common microvascular complication. As renal dysfunction progresses in DN patients, the risk of cardiovascular disease (CVD) significantly increases. The current effective treatment of DN and CVD demands identifying and managing their risk factors.</p><p><strong>Methods: </strong>Patients diagnosed with DN from October 2022 to October 2023 were selected for cross-sectional study and divided into DN group (n=58) and DN/CVD group (n=40) based on the presence of CVD. Univariate analysis was conducted using clinical data, and statistically significant independent variables were analysed through multivariate Logistic regression to identify independent factors influencing CVD in DN patients. A regression model was developed to examine the non-linear relationship between C1q, UA, CRP, and the risk of CVD. The receiver operating characteristic curve was used to analyse the predictive efficacy of the indicators.</p><p><strong>Results: </strong>When elevated, UA and C1q were independent factors for CVD. A linear relationship existed between UA and C1q and the risk of CVD in DN patients. C1q showed better predictive performance.</p><p><strong>Conclusions: </strong>As UA and C1q levels rise, the risk of CVD in DN patients significantly increases. In DN patients, UA and C1q are associated with CVD development and progression, offering some supportive evaluation value for the patient's condition.</p>","PeriodicalId":16175,"journal":{"name":"Journal of Medical Biochemistry","volume":"44 4","pages":"801-807"},"PeriodicalIF":1.5000,"publicationDate":"2025-07-04","publicationTypes":"Journal Article","fieldsOfStudy":null,"isOpenAccess":false,"openAccessPdf":"https://www.ncbi.nlm.nih.gov/pmc/articles/PMC12363369/pdf/","citationCount":"0","resultStr":"{\"title\":\"Complement pathway: Risk molecular pattern of cardiovascular diseases in patients with diabetic nephropathy.\",\"authors\":\"JunFei Liu, XiaoPing Qian, TaoXia Wang, XiaoLi Liu, WeiGang Liu, LiJie Wang, HuiFang Zhang, Li Han, GuiYing Li, XiaoJuan Yu\",\"doi\":\"10.5937/jomb0-56221\",\"DOIUrl\":null,\"url\":null,\"abstract\":\"<p><strong>Background: </strong>Among individuals with diabetes mellitus, diabetic nephropathy (DN) is a common microvascular complication. As renal dysfunction progresses in DN patients, the risk of cardiovascular disease (CVD) significantly increases. The current effective treatment of DN and CVD demands identifying and managing their risk factors.</p><p><strong>Methods: </strong>Patients diagnosed with DN from October 2022 to October 2023 were selected for cross-sectional study and divided into DN group (n=58) and DN/CVD group (n=40) based on the presence of CVD. Univariate analysis was conducted using clinical data, and statistically significant independent variables were analysed through multivariate Logistic regression to identify independent factors influencing CVD in DN patients. A regression model was developed to examine the non-linear relationship between C1q, UA, CRP, and the risk of CVD. The receiver operating characteristic curve was used to analyse the predictive efficacy of the indicators.</p><p><strong>Results: </strong>When elevated, UA and C1q were independent factors for CVD. A linear relationship existed between UA and C1q and the risk of CVD in DN patients. C1q showed better predictive performance.</p><p><strong>Conclusions: </strong>As UA and C1q levels rise, the risk of CVD in DN patients significantly increases. In DN patients, UA and C1q are associated with CVD development and progression, offering some supportive evaluation value for the patient's condition.</p>\",\"PeriodicalId\":16175,\"journal\":{\"name\":\"Journal of Medical Biochemistry\",\"volume\":\"44 4\",\"pages\":\"801-807\"},\"PeriodicalIF\":1.5000,\"publicationDate\":\"2025-07-04\",\"publicationTypes\":\"Journal Article\",\"fieldsOfStudy\":null,\"isOpenAccess\":false,\"openAccessPdf\":\"https://www.ncbi.nlm.nih.gov/pmc/articles/PMC12363369/pdf/\",\"citationCount\":\"0\",\"resultStr\":null,\"platform\":\"Semanticscholar\",\"paperid\":null,\"PeriodicalName\":\"Journal of Medical Biochemistry\",\"FirstCategoryId\":\"3\",\"ListUrlMain\":\"https://doi.org/10.5937/jomb0-56221\",\"RegionNum\":4,\"RegionCategory\":\"医学\",\"ArticlePicture\":[],\"TitleCN\":null,\"AbstractTextCN\":null,\"PMCID\":null,\"EPubDate\":\"\",\"PubModel\":\"\",\"JCR\":\"Q4\",\"JCRName\":\"BIOCHEMISTRY & MOLECULAR BIOLOGY\",\"Score\":null,\"Total\":0}","platform":"Semanticscholar","paperid":null,"PeriodicalName":"Journal of Medical Biochemistry","FirstCategoryId":"3","ListUrlMain":"https://doi.org/10.5937/jomb0-56221","RegionNum":4,"RegionCategory":"医学","ArticlePicture":[],"TitleCN":null,"AbstractTextCN":null,"PMCID":null,"EPubDate":"","PubModel":"","JCR":"Q4","JCRName":"BIOCHEMISTRY & MOLECULAR BIOLOGY","Score":null,"Total":0}
引用次数: 0

摘要

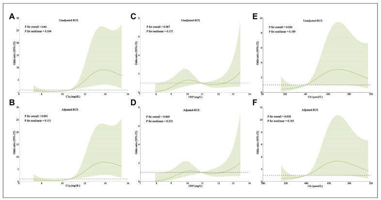
背景:在糖尿病患者中,糖尿病肾病是一种常见的微血管并发症。随着肾病患者肾功能不全的进展,心血管疾病(CVD)的风险显著增加。目前对糖尿病肾病和心血管疾病的有效治疗需要识别和管理其危险因素。方法:选择2022年10月至2023年10月诊断为DN的患者进行横断面研究,根据是否存在CVD分为DN组(n=58)和DN/CVD组(n=40)。采用临床资料进行单因素分析,采用多因素Logistic回归分析具有统计学意义的自变量,确定影响DN患者CVD的独立因素。我们建立了一个回归模型来检验C1q、UA、CRP与CVD风险之间的非线性关系。采用受试者工作特征曲线分析指标的预测效果。结果:当UA和C1q升高时,是CVD的独立因素。UA和C1q与DN患者CVD风险呈线性关系。C1q表现出更好的预测性能。结论:随着UA和C1q水平的升高,DN患者发生CVD的风险显著增加。在DN患者中,UA和C1q与CVD的发生和进展相关,为患者的病情提供了一定的支持性评估价值。
本文章由计算机程序翻译,如有差异,请以英文原文为准。

Complement pathway: Risk molecular pattern of cardiovascular diseases in patients with diabetic nephropathy.

Complement pathway: Risk molecular pattern of cardiovascular diseases in patients with diabetic nephropathy.

Complement pathway: Risk molecular pattern of cardiovascular diseases in patients with diabetic nephropathy.

Background: Among individuals with diabetes mellitus, diabetic nephropathy (DN) is a common microvascular complication. As renal dysfunction progresses in DN patients, the risk of cardiovascular disease (CVD) significantly increases. The current effective treatment of DN and CVD demands identifying and managing their risk factors.

Methods: Patients diagnosed with DN from October 2022 to October 2023 were selected for cross-sectional study and divided into DN group (n=58) and DN/CVD group (n=40) based on the presence of CVD. Univariate analysis was conducted using clinical data, and statistically significant independent variables were analysed through multivariate Logistic regression to identify independent factors influencing CVD in DN patients. A regression model was developed to examine the non-linear relationship between C1q, UA, CRP, and the risk of CVD. The receiver operating characteristic curve was used to analyse the predictive efficacy of the indicators.

Results: When elevated, UA and C1q were independent factors for CVD. A linear relationship existed between UA and C1q and the risk of CVD in DN patients. C1q showed better predictive performance.

Conclusions: As UA and C1q levels rise, the risk of CVD in DN patients significantly increases. In DN patients, UA and C1q are associated with CVD development and progression, offering some supportive evaluation value for the patient's condition.

求助全文
通过发布文献求助,成功后即可免费获取论文全文。 去求助
来源期刊
Journal of Medical Biochemistry
Journal of Medical Biochemistry BIOCHEMISTRY & MOLECULAR BIOLOGY-
CiteScore
3.00
自引率
12.00%
发文量
60
审稿时长
>12 weeks
期刊介绍: The JOURNAL OF MEDICAL BIOCHEMISTRY (J MED BIOCHEM) is the official journal of the Society of Medical Biochemists of Serbia with international peer-review. Papers are independently reviewed by at least two reviewers selected by the Editors as Blind Peer Reviews. The Journal of Medical Biochemistry is published quarterly. The Journal publishes original scientific and specialized articles on all aspects of clinical and medical biochemistry, molecular medicine, clinical hematology and coagulation, clinical immunology and autoimmunity, clinical microbiology, virology, clinical genomics and molecular biology, genetic epidemiology, drug measurement, evaluation of diagnostic markers, new reagents and laboratory equipment, reference materials and methods, reference values, laboratory organization, automation, quality control, clinical metrology, all related scientific disciplines where chemistry, biochemistry, molecular biology and immunochemistry deal with the study of normal and pathologic processes in human beings.
×
引用
GB/T 7714-2015
复制
MLA
复制
APA
复制
导出至
BibTeX EndNote RefMan NoteFirst NoteExpress
×
提示
您的信息不完整,为了账户安全,请先补充。
现在去补充
×
提示
您因"违规操作"
具体请查看互助需知
我知道了
×
提示
确定
请完成安全验证×
copy
已复制链接
快去分享给好友吧!
我知道了
右上角分享
点击右上角分享
0
联系我们:info@booksci.cn Book学术提供免费学术资源搜索服务,方便国内外学者检索中英文文献。致力于提供最便捷和优质的服务体验。 Copyright © 2023 布克学术 All rights reserved.
京ICP备2023020795号-1
ghs 京公网安备 11010802042870号
Book学术文献互助
Book学术文献互助群
群 号:604180095
Book学术官方微信