2023年女足世界杯比赛结果预测及影响特征分析

IF 2.8 3区 医学 Q2 SPORT SCIENCES
Journal of Human Kinetics Pub Date : 2025-05-29 eCollection Date: 2025-07-01 DOI:10.5114/jhk/195563
José M Oliva-Lozano, Miguel Vidal, Farzad Yousefian, Rick Cost, Tim J Gabbett
{"title":"2023年女足世界杯比赛结果预测及影响特征分析","authors":"José M Oliva-Lozano, Miguel Vidal, Farzad Yousefian, Rick Cost, Tim J Gabbett","doi":"10.5114/jhk/195563","DOIUrl":null,"url":null,"abstract":"<p><p>The aim of this study was to build an XGBoost model to predict the match outcome and analyze match-related technical, tactical and physical performance features that may influence the predicted outcome of the match. This is an observational study which follows a retrospective design. The FIFA post-match summary reports were downloaded at the end of the 2023 Women's World Cup and used to create a dataset which consisted of match-related technical, tactical and physical performance variables. Then, an XGBoost model was built to predict the match outcome and investigate which performance features might influence the predicted outcome of the match. The overall model achieved accuracy of 0.58 ± 0.05. Losses and wins had similar predictive accuracy (0.67 ± 0.06 and 0.67 ± 0.08, respectively), but the prediction of draws performed was significantly worse with accuracy of 0.32 ± 0.16. The top ten features for predicting wins were: (1) out to in actions by the opponent, (2) attempts at the goal, (3) in-behind actions, (4) interceptions by the opponent, (5) loose ball receptions, (6) sprinting per minute by the opponent, (7) offers received by the opponent, (8) in-front opponent, (9) interceptions, and (10) total distance per minute. The top ten features for predicting losses were: (1) attempts at the goal by the opponent, (2) interceptions, (3) out to in actions, (4) possessions interrupted, (5) loose ball receptions by the opponent, (6) in front movements, (7) distance covered by the opponent, (8) in-behind actions by the opponent, (9) total distance, and (10) sprinting per minute. In conclusion, using an XGBoost model, this is the first study to successfully predict the match outcome for wins and losses from the FIFA Women's World Cup, but also explain which features significantly influence the prediction. This study may serve as a guide for practitioners regarding the use and application of XGBoost models in high performance.</p>","PeriodicalId":16055,"journal":{"name":"Journal of Human Kinetics","volume":"98 ","pages":"169-182"},"PeriodicalIF":2.8000,"publicationDate":"2025-05-29","publicationTypes":"Journal Article","fieldsOfStudy":null,"isOpenAccess":false,"openAccessPdf":"https://www.ncbi.nlm.nih.gov/pmc/articles/PMC12360935/pdf/","citationCount":"0","resultStr":"{\"title\":\"Predicting the Match Outcome in the 2023 FIFA Women's World Cup and Analysis of Influential Features.\",\"authors\":\"José M Oliva-Lozano, Miguel Vidal, Farzad Yousefian, Rick Cost, Tim J Gabbett\",\"doi\":\"10.5114/jhk/195563\",\"DOIUrl\":null,\"url\":null,\"abstract\":\"<p><p>The aim of this study was to build an XGBoost model to predict the match outcome and analyze match-related technical, tactical and physical performance features that may influence the predicted outcome of the match. This is an observational study which follows a retrospective design. The FIFA post-match summary reports were downloaded at the end of the 2023 Women's World Cup and used to create a dataset which consisted of match-related technical, tactical and physical performance variables. Then, an XGBoost model was built to predict the match outcome and investigate which performance features might influence the predicted outcome of the match. The overall model achieved accuracy of 0.58 ± 0.05. Losses and wins had similar predictive accuracy (0.67 ± 0.06 and 0.67 ± 0.08, respectively), but the prediction of draws performed was significantly worse with accuracy of 0.32 ± 0.16. The top ten features for predicting wins were: (1) out to in actions by the opponent, (2) attempts at the goal, (3) in-behind actions, (4) interceptions by the opponent, (5) loose ball receptions, (6) sprinting per minute by the opponent, (7) offers received by the opponent, (8) in-front opponent, (9) interceptions, and (10) total distance per minute. The top ten features for predicting losses were: (1) attempts at the goal by the opponent, (2) interceptions, (3) out to in actions, (4) possessions interrupted, (5) loose ball receptions by the opponent, (6) in front movements, (7) distance covered by the opponent, (8) in-behind actions by the opponent, (9) total distance, and (10) sprinting per minute. In conclusion, using an XGBoost model, this is the first study to successfully predict the match outcome for wins and losses from the FIFA Women's World Cup, but also explain which features significantly influence the prediction. This study may serve as a guide for practitioners regarding the use and application of XGBoost models in high performance.</p>\",\"PeriodicalId\":16055,\"journal\":{\"name\":\"Journal of Human Kinetics\",\"volume\":\"98 \",\"pages\":\"169-182\"},\"PeriodicalIF\":2.8000,\"publicationDate\":\"2025-05-29\",\"publicationTypes\":\"Journal Article\",\"fieldsOfStudy\":null,\"isOpenAccess\":false,\"openAccessPdf\":\"https://www.ncbi.nlm.nih.gov/pmc/articles/PMC12360935/pdf/\",\"citationCount\":\"0\",\"resultStr\":null,\"platform\":\"Semanticscholar\",\"paperid\":null,\"PeriodicalName\":\"Journal of Human Kinetics\",\"FirstCategoryId\":\"3\",\"ListUrlMain\":\"https://doi.org/10.5114/jhk/195563\",\"RegionNum\":3,\"RegionCategory\":\"医学\",\"ArticlePicture\":[],\"TitleCN\":null,\"AbstractTextCN\":null,\"PMCID\":null,\"EPubDate\":\"2025/7/1 0:00:00\",\"PubModel\":\"eCollection\",\"JCR\":\"Q2\",\"JCRName\":\"SPORT SCIENCES\",\"Score\":null,\"Total\":0}","platform":"Semanticscholar","paperid":null,"PeriodicalName":"Journal of Human Kinetics","FirstCategoryId":"3","ListUrlMain":"https://doi.org/10.5114/jhk/195563","RegionNum":3,"RegionCategory":"医学","ArticlePicture":[],"TitleCN":null,"AbstractTextCN":null,"PMCID":null,"EPubDate":"2025/7/1 0:00:00","PubModel":"eCollection","JCR":"Q2","JCRName":"SPORT SCIENCES","Score":null,"Total":0}
引用次数: 0

摘要

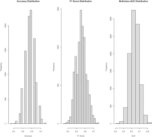
本研究的目的是建立一个XGBoost模型来预测比赛结果,并分析可能影响比赛预测结果的与比赛相关的技术、战术和身体表现特征。这是一项遵循回顾性设计的观察性研究。国际足联赛后总结报告在2023年女足世界杯结束时被下载,并用于创建一个由与比赛相关的技术、战术和身体表现变量组成的数据集。然后,建立XGBoost模型来预测比赛结果,并研究哪些性能特征可能影响比赛的预测结果。整体模型精度为0.58±0.05。输球和赢球的预测准确率相近(分别为0.67±0.06和0.67±0.08),但平局的预测准确率明显较差,为0.32±0.16。预测胜利的前十大特征是:(1)对手的出界动作,(2)进球尝试,(3)后场动作,(4)对手的拦截,(5)接球不稳,(6)对手每分钟的冲刺,(7)对手的接球,(8)前场对手,(9)拦截,(10)每分钟的总距离。预测输球的前十个特征是:(1)对手的进球尝试,(2)拦截,(3)出中动作,(4)被打断的球,(5)对手的接球不稳,(6)前场运动,(7)对手的距离,(8)对手的后场动作,(9)总距离,(10)每分钟的冲刺。总之,使用XGBoost模型,这是第一个成功预测国际足联女足世界杯比赛胜负的研究,同时也解释了哪些特征对预测有显著影响。本研究可为XGBoost模型在高性能中的使用和应用提供指导。
本文章由计算机程序翻译,如有差异,请以英文原文为准。

Predicting the Match Outcome in the 2023 FIFA Women's World Cup and Analysis of Influential Features.

Predicting the Match Outcome in the 2023 FIFA Women's World Cup and Analysis of Influential Features.

Predicting the Match Outcome in the 2023 FIFA Women's World Cup and Analysis of Influential Features.

Predicting the Match Outcome in the 2023 FIFA Women's World Cup and Analysis of Influential Features.

The aim of this study was to build an XGBoost model to predict the match outcome and analyze match-related technical, tactical and physical performance features that may influence the predicted outcome of the match. This is an observational study which follows a retrospective design. The FIFA post-match summary reports were downloaded at the end of the 2023 Women's World Cup and used to create a dataset which consisted of match-related technical, tactical and physical performance variables. Then, an XGBoost model was built to predict the match outcome and investigate which performance features might influence the predicted outcome of the match. The overall model achieved accuracy of 0.58 ± 0.05. Losses and wins had similar predictive accuracy (0.67 ± 0.06 and 0.67 ± 0.08, respectively), but the prediction of draws performed was significantly worse with accuracy of 0.32 ± 0.16. The top ten features for predicting wins were: (1) out to in actions by the opponent, (2) attempts at the goal, (3) in-behind actions, (4) interceptions by the opponent, (5) loose ball receptions, (6) sprinting per minute by the opponent, (7) offers received by the opponent, (8) in-front opponent, (9) interceptions, and (10) total distance per minute. The top ten features for predicting losses were: (1) attempts at the goal by the opponent, (2) interceptions, (3) out to in actions, (4) possessions interrupted, (5) loose ball receptions by the opponent, (6) in front movements, (7) distance covered by the opponent, (8) in-behind actions by the opponent, (9) total distance, and (10) sprinting per minute. In conclusion, using an XGBoost model, this is the first study to successfully predict the match outcome for wins and losses from the FIFA Women's World Cup, but also explain which features significantly influence the prediction. This study may serve as a guide for practitioners regarding the use and application of XGBoost models in high performance.

求助全文
通过发布文献求助,成功后即可免费获取论文全文。 去求助
来源期刊
Journal of Human Kinetics
Journal of Human Kinetics 医学-运动科学
CiteScore
4.80
自引率
0.00%
发文量
83
审稿时长
3 months
期刊介绍: The Journal of Human Kinetics is an open access interdisciplinary periodical offering the latest research in the science of human movement studies. This comprehensive professional journal features articles and research notes encompassing such topic areas as: Kinesiology, Exercise Physiology and Nutrition, Sports Training and Behavioural Sciences in Sport, but especially considering elite and competitive aspects of sport. The journal publishes original papers, invited reviews, short communications and letters to the Editors. Manuscripts submitted to the journal must contain novel data on theoretical or experimental research or on practical applications in the field of sport sciences. The Journal of Human Kinetics is published in March, June, September and December. We encourage scientists from around the world to submit their papers to our periodical.
×
引用
GB/T 7714-2015
复制
MLA
复制
APA
复制
导出至
BibTeX EndNote RefMan NoteFirst NoteExpress
×
提示
您的信息不完整,为了账户安全,请先补充。
现在去补充
×
提示
您因"违规操作"
具体请查看互助需知
我知道了
×
提示
确定
请完成安全验证×
copy
已复制链接
快去分享给好友吧!
我知道了
右上角分享
点击右上角分享
0
联系我们:info@booksci.cn Book学术提供免费学术资源搜索服务,方便国内外学者检索中英文文献。致力于提供最便捷和优质的服务体验。 Copyright © 2023 布克学术 All rights reserved.
京ICP备2023020795号-1
ghs 京公网安备 11010802042870号
Book学术文献互助
Book学术文献互助群
群 号:604180095
Book学术官方微信