使用WHODAS 2.0在患有神经、肌肉骨骼和慢性疼痛的成人中诊断类别的功能概况差异

IF 2.5 Q1 SPORT SCIENCES
Patricio Barria, Asterio Andrade, Bessié Córdova Albayay, Felipe Covarrubias-Escudero, Carlos Cifuentes, Juan Camilo Moreno, Juan Pablo Appelgren-González
{"title":"使用WHODAS 2.0在患有神经、肌肉骨骼和慢性疼痛的成人中诊断类别的功能概况差异","authors":"Patricio Barria, Asterio Andrade, Bessié Córdova Albayay, Felipe Covarrubias-Escudero, Carlos Cifuentes, Juan Camilo Moreno, Juan Pablo Appelgren-González","doi":"10.3390/jfmk10030312","DOIUrl":null,"url":null,"abstract":"<p><p><b>Background</b>: Functional disability is a growing concern in aging populations with chronic health conditions, yet few studies have compared disability profiles across diagnostic categories using standardized tools. <b>Objectives</b>: This study aimed to characterize the functional profiles of adults with neurological, musculoskeletal, and chronic pain conditions using the World Health Organization Disability Assessment Schedule 2.0 (WHODAS 2.0) and to examine differences by age and sex. <b>Methods</b>: A total of 419 participants (median age = 73 years; 73% female) completed the 36-item WHODAS 2.0. Diagnoses were classified into three groups: neurological (<i>n</i> = 134), musculoskeletal (<i>n</i> = 230), and pain-related (<i>n</i> = 55). Domain-level scores were analyzed using non-parametric tests and Spearman correlations. <b>Results</b>: revealed that neurological conditions were associated with the highest disability levels, particularly in cognition, interpersonal relations, and participation. Musculoskeletal conditions showed greater impairments in mobility and self-care, while pain-related conditions demonstrated variable disability, especially in participation. Women reported higher disability scores in the neurologic group, with significant differences observed in the cognition domain among neurological cases (<i>p</i> = 0.048). Age was positively correlated with disability in self-care and mobility, especially in musculoskeletal conditions. <b>Conclusions</b>: These findings highlight the utility of WHODAS 2.0 in identifying domain-specific limitations across clinical populations. They support the need for individualized, diagnosis- and gender-sensitive rehabilitation strategies, and suggest that WHODAS 2.0 can inform targeted care planning and resource allocation in rehabilitation settings. Future research should incorporate longitudinal designs and explore contextual factors influencing functional outcomes.</p>","PeriodicalId":16052,"journal":{"name":"Journal of Functional Morphology and Kinesiology","volume":"10 3","pages":""},"PeriodicalIF":2.5000,"publicationDate":"2025-08-14","publicationTypes":"Journal Article","fieldsOfStudy":null,"isOpenAccess":false,"openAccessPdf":"https://www.ncbi.nlm.nih.gov/pmc/articles/PMC12371973/pdf/","citationCount":"0","resultStr":"{\"title\":\"Functional Profile Differences Across Diagnostic Categories Using WHODAS 2.0 in Adults with Neurological, Musculoskeletal, and Chronic Pain Conditions.\",\"authors\":\"Patricio Barria, Asterio Andrade, Bessié Córdova Albayay, Felipe Covarrubias-Escudero, Carlos Cifuentes, Juan Camilo Moreno, Juan Pablo Appelgren-González\",\"doi\":\"10.3390/jfmk10030312\",\"DOIUrl\":null,\"url\":null,\"abstract\":\"<p><p><b>Background</b>: Functional disability is a growing concern in aging populations with chronic health conditions, yet few studies have compared disability profiles across diagnostic categories using standardized tools. <b>Objectives</b>: This study aimed to characterize the functional profiles of adults with neurological, musculoskeletal, and chronic pain conditions using the World Health Organization Disability Assessment Schedule 2.0 (WHODAS 2.0) and to examine differences by age and sex. <b>Methods</b>: A total of 419 participants (median age = 73 years; 73% female) completed the 36-item WHODAS 2.0. Diagnoses were classified into three groups: neurological (<i>n</i> = 134), musculoskeletal (<i>n</i> = 230), and pain-related (<i>n</i> = 55). Domain-level scores were analyzed using non-parametric tests and Spearman correlations. <b>Results</b>: revealed that neurological conditions were associated with the highest disability levels, particularly in cognition, interpersonal relations, and participation. Musculoskeletal conditions showed greater impairments in mobility and self-care, while pain-related conditions demonstrated variable disability, especially in participation. Women reported higher disability scores in the neurologic group, with significant differences observed in the cognition domain among neurological cases (<i>p</i> = 0.048). Age was positively correlated with disability in self-care and mobility, especially in musculoskeletal conditions. <b>Conclusions</b>: These findings highlight the utility of WHODAS 2.0 in identifying domain-specific limitations across clinical populations. They support the need for individualized, diagnosis- and gender-sensitive rehabilitation strategies, and suggest that WHODAS 2.0 can inform targeted care planning and resource allocation in rehabilitation settings. Future research should incorporate longitudinal designs and explore contextual factors influencing functional outcomes.</p>\",\"PeriodicalId\":16052,\"journal\":{\"name\":\"Journal of Functional Morphology and Kinesiology\",\"volume\":\"10 3\",\"pages\":\"\"},\"PeriodicalIF\":2.5000,\"publicationDate\":\"2025-08-14\",\"publicationTypes\":\"Journal Article\",\"fieldsOfStudy\":null,\"isOpenAccess\":false,\"openAccessPdf\":\"https://www.ncbi.nlm.nih.gov/pmc/articles/PMC12371973/pdf/\",\"citationCount\":\"0\",\"resultStr\":null,\"platform\":\"Semanticscholar\",\"paperid\":null,\"PeriodicalName\":\"Journal of Functional Morphology and Kinesiology\",\"FirstCategoryId\":\"1085\",\"ListUrlMain\":\"https://doi.org/10.3390/jfmk10030312\",\"RegionNum\":0,\"RegionCategory\":null,\"ArticlePicture\":[],\"TitleCN\":null,\"AbstractTextCN\":null,\"PMCID\":null,\"EPubDate\":\"\",\"PubModel\":\"\",\"JCR\":\"Q1\",\"JCRName\":\"SPORT SCIENCES\",\"Score\":null,\"Total\":0}","platform":"Semanticscholar","paperid":null,"PeriodicalName":"Journal of Functional Morphology and Kinesiology","FirstCategoryId":"1085","ListUrlMain":"https://doi.org/10.3390/jfmk10030312","RegionNum":0,"RegionCategory":null,"ArticlePicture":[],"TitleCN":null,"AbstractTextCN":null,"PMCID":null,"EPubDate":"","PubModel":"","JCR":"Q1","JCRName":"SPORT SCIENCES","Score":null,"Total":0}
引用次数: 0

摘要

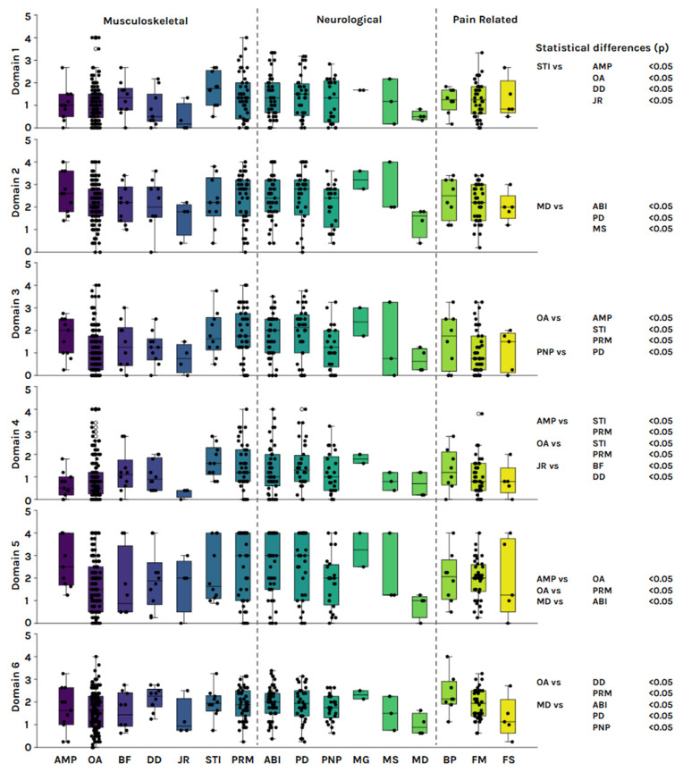
背景:功能性残疾是慢性疾病老龄化人群日益关注的问题,但很少有研究使用标准化工具比较不同诊断类别的残疾概况。目的:本研究旨在使用世界卫生组织残疾评估表2.0 (WHODAS 2.0)来描述患有神经、肌肉骨骼和慢性疼痛的成年人的功能特征,并检查年龄和性别的差异。方法:共有419名参与者(中位年龄73岁,73%为女性)完成了36项WHODAS 2.0。诊断分为三组:神经系统(n = 134),肌肉骨骼(n = 230)和疼痛相关(n = 55)。使用非参数检验和Spearman相关分析领域水平得分。结果显示,神经系统疾病与最高的残疾水平相关,特别是在认知、人际关系和参与方面。肌肉骨骼疾病在活动能力和自我护理方面表现出更大的损害,而与疼痛相关的疾病表现出各种残疾,尤其是在参与方面。神经内科组的女性残疾评分较高,神经内科组在认知领域的差异有统计学意义(p = 0.048)。年龄与自我照顾和行动能力的残疾呈正相关,尤其是在肌肉骨骼疾病方面。结论:这些发现突出了WHODAS 2.0在识别临床人群中特定领域局限性方面的实用性。他们支持有必要制定个性化、对诊断和性别问题敏感的康复战略,并建议WHODAS 2.0可以为康复环境中有针对性的护理规划和资源分配提供信息。未来的研究应纳入纵向设计,并探索影响功能结果的环境因素。
本文章由计算机程序翻译,如有差异,请以英文原文为准。

Functional Profile Differences Across Diagnostic Categories Using WHODAS 2.0 in Adults with Neurological, Musculoskeletal, and Chronic Pain Conditions.

Functional Profile Differences Across Diagnostic Categories Using WHODAS 2.0 in Adults with Neurological, Musculoskeletal, and Chronic Pain Conditions.

Background: Functional disability is a growing concern in aging populations with chronic health conditions, yet few studies have compared disability profiles across diagnostic categories using standardized tools. Objectives: This study aimed to characterize the functional profiles of adults with neurological, musculoskeletal, and chronic pain conditions using the World Health Organization Disability Assessment Schedule 2.0 (WHODAS 2.0) and to examine differences by age and sex. Methods: A total of 419 participants (median age = 73 years; 73% female) completed the 36-item WHODAS 2.0. Diagnoses were classified into three groups: neurological (n = 134), musculoskeletal (n = 230), and pain-related (n = 55). Domain-level scores were analyzed using non-parametric tests and Spearman correlations. Results: revealed that neurological conditions were associated with the highest disability levels, particularly in cognition, interpersonal relations, and participation. Musculoskeletal conditions showed greater impairments in mobility and self-care, while pain-related conditions demonstrated variable disability, especially in participation. Women reported higher disability scores in the neurologic group, with significant differences observed in the cognition domain among neurological cases (p = 0.048). Age was positively correlated with disability in self-care and mobility, especially in musculoskeletal conditions. Conclusions: These findings highlight the utility of WHODAS 2.0 in identifying domain-specific limitations across clinical populations. They support the need for individualized, diagnosis- and gender-sensitive rehabilitation strategies, and suggest that WHODAS 2.0 can inform targeted care planning and resource allocation in rehabilitation settings. Future research should incorporate longitudinal designs and explore contextual factors influencing functional outcomes.

求助全文
通过发布文献求助,成功后即可免费获取论文全文。 去求助
来源期刊
Journal of Functional Morphology and Kinesiology
Journal of Functional Morphology and Kinesiology Health Professions-Physical Therapy, Sports Therapy and Rehabilitation
CiteScore
4.20
自引率
0.00%
发文量
94
审稿时长
12 weeks
×
引用
GB/T 7714-2015
复制
MLA
复制
APA
复制
导出至
BibTeX EndNote RefMan NoteFirst NoteExpress
×
提示
您的信息不完整,为了账户安全,请先补充。
现在去补充
×
提示
您因"违规操作"
具体请查看互助需知
我知道了
×
提示
确定
请完成安全验证×
copy
已复制链接
快去分享给好友吧!
我知道了
右上角分享
点击右上角分享
0
联系我们:info@booksci.cn Book学术提供免费学术资源搜索服务,方便国内外学者检索中英文文献。致力于提供最便捷和优质的服务体验。 Copyright © 2023 布克学术 All rights reserved.
京ICP备2023020795号-1
ghs 京公网安备 11010802042870号
Book学术文献互助
Book学术文献互助群
群 号:604180095
Book学术官方微信