跨比赛水平和比赛距离的年度游泳成绩进步。

IF 2.5 Q1 SPORT SCIENCES
Jesús J Ruiz-Navarro, Dennis-Peter Born
{"title":"跨比赛水平和比赛距离的年度游泳成绩进步。","authors":"Jesús J Ruiz-Navarro, Dennis-Peter Born","doi":"10.3390/jfmk10030297","DOIUrl":null,"url":null,"abstract":"<p><p><b>Objective:</b> As performance progression provides an essential indicator for talent selection and development, this study aimed to compare annual swimming performance progression between different competitive levels and to establish benchmarks for long-term athlete development. <b>Methods:</b> Annual best times of swimmers who competed up to the age of 21 years and achieved over 450 World Aquatics points were extracted from the database of European Aquatics. A total of 13,310 male and 7798 female pool swimmers of all race distances were grouped into three performance levels. <b>Results:</b> The results showed a continuous decline in annual performance progression throughout the years across all race distances (all <i>p</i> < 0.001) and in both sexes. There were differences between performance level across the age groups for all race distances in male swimmers, but only for the 100-400 m races in females (<i>p</i> < 0.05). Absolute performance showed significant main effects for level and age over all race distances for both sexes (all <i>p</i> < 0.001). <b>Conclusions:</b> Annual performance progression of swimmers consistently decreases across the competitive lifetime in both sexes, regardless of race distance and performance level. The event-specific benchmarks should be used as a framework to set realistic goals for both sexes and swimmers of different competitive levels, as well as to guide swimmers throughout their careers.</p>","PeriodicalId":16052,"journal":{"name":"Journal of Functional Morphology and Kinesiology","volume":"10 3","pages":""},"PeriodicalIF":2.5000,"publicationDate":"2025-07-31","publicationTypes":"Journal Article","fieldsOfStudy":null,"isOpenAccess":false,"openAccessPdf":"https://www.ncbi.nlm.nih.gov/pmc/articles/PMC12372078/pdf/","citationCount":"0","resultStr":"{\"title\":\"Annual Performance Progression in Swimming Across Competition Levels and Race Distances.\",\"authors\":\"Jesús J Ruiz-Navarro, Dennis-Peter Born\",\"doi\":\"10.3390/jfmk10030297\",\"DOIUrl\":null,\"url\":null,\"abstract\":\"<p><p><b>Objective:</b> As performance progression provides an essential indicator for talent selection and development, this study aimed to compare annual swimming performance progression between different competitive levels and to establish benchmarks for long-term athlete development. <b>Methods:</b> Annual best times of swimmers who competed up to the age of 21 years and achieved over 450 World Aquatics points were extracted from the database of European Aquatics. A total of 13,310 male and 7798 female pool swimmers of all race distances were grouped into three performance levels. <b>Results:</b> The results showed a continuous decline in annual performance progression throughout the years across all race distances (all <i>p</i> < 0.001) and in both sexes. There were differences between performance level across the age groups for all race distances in male swimmers, but only for the 100-400 m races in females (<i>p</i> < 0.05). Absolute performance showed significant main effects for level and age over all race distances for both sexes (all <i>p</i> < 0.001). <b>Conclusions:</b> Annual performance progression of swimmers consistently decreases across the competitive lifetime in both sexes, regardless of race distance and performance level. The event-specific benchmarks should be used as a framework to set realistic goals for both sexes and swimmers of different competitive levels, as well as to guide swimmers throughout their careers.</p>\",\"PeriodicalId\":16052,\"journal\":{\"name\":\"Journal of Functional Morphology and Kinesiology\",\"volume\":\"10 3\",\"pages\":\"\"},\"PeriodicalIF\":2.5000,\"publicationDate\":\"2025-07-31\",\"publicationTypes\":\"Journal Article\",\"fieldsOfStudy\":null,\"isOpenAccess\":false,\"openAccessPdf\":\"https://www.ncbi.nlm.nih.gov/pmc/articles/PMC12372078/pdf/\",\"citationCount\":\"0\",\"resultStr\":null,\"platform\":\"Semanticscholar\",\"paperid\":null,\"PeriodicalName\":\"Journal of Functional Morphology and Kinesiology\",\"FirstCategoryId\":\"1085\",\"ListUrlMain\":\"https://doi.org/10.3390/jfmk10030297\",\"RegionNum\":0,\"RegionCategory\":null,\"ArticlePicture\":[],\"TitleCN\":null,\"AbstractTextCN\":null,\"PMCID\":null,\"EPubDate\":\"\",\"PubModel\":\"\",\"JCR\":\"Q1\",\"JCRName\":\"SPORT SCIENCES\",\"Score\":null,\"Total\":0}","platform":"Semanticscholar","paperid":null,"PeriodicalName":"Journal of Functional Morphology and Kinesiology","FirstCategoryId":"1085","ListUrlMain":"https://doi.org/10.3390/jfmk10030297","RegionNum":0,"RegionCategory":null,"ArticlePicture":[],"TitleCN":null,"AbstractTextCN":null,"PMCID":null,"EPubDate":"","PubModel":"","JCR":"Q1","JCRName":"SPORT SCIENCES","Score":null,"Total":0}
引用次数: 0

摘要

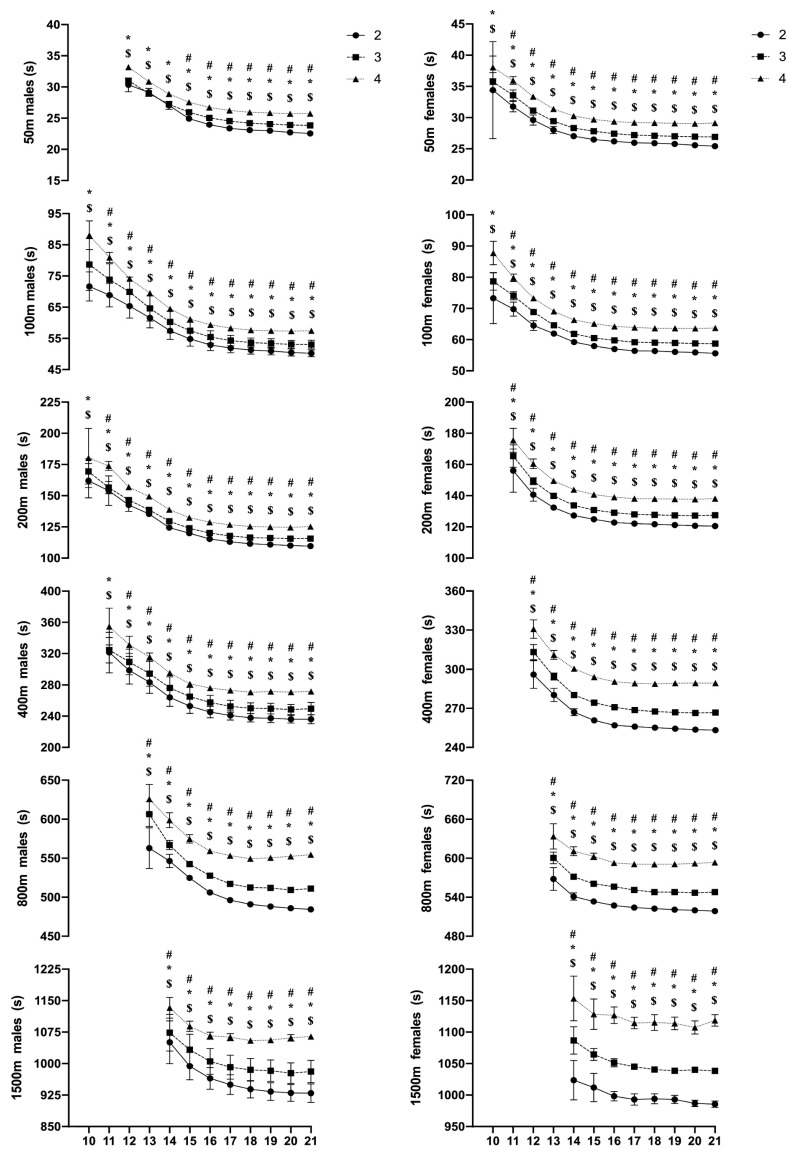
目的:由于成绩进步是人才选拔和发展的重要指标,本研究旨在比较不同竞技水平之间的年度游泳成绩进步,为运动员的长期发展建立基准。方法:从欧洲游泳数据库中提取21岁以下、世界游泳积分超过450分的游泳运动员的年度最佳成绩。所有比赛距离的13310名男子和7798名女子游泳运动员被分为三个水平。结果:结果显示,在所有比赛距离(均p < 0.001)和性别中,多年来年度表现进步持续下降。各年龄组男子游泳运动员各赛程成绩水平存在差异,但女子游泳运动员100-400米成绩水平存在差异(p < 0.05)。绝对表现在所有性别的比赛距离上都显示出水平和年龄的显著主要影响(均p < 0.001)。结论:无论比赛距离和成绩水平如何,游泳运动员的年度成绩进步在整个竞技生涯中都持续下降。具体项目的基准应作为一个框架,为男女和不同竞技水平的游泳运动员设定现实的目标,并指导游泳运动员的整个职业生涯。
本文章由计算机程序翻译,如有差异,请以英文原文为准。

Annual Performance Progression in Swimming Across Competition Levels and Race Distances.

Annual Performance Progression in Swimming Across Competition Levels and Race Distances.

Objective: As performance progression provides an essential indicator for talent selection and development, this study aimed to compare annual swimming performance progression between different competitive levels and to establish benchmarks for long-term athlete development. Methods: Annual best times of swimmers who competed up to the age of 21 years and achieved over 450 World Aquatics points were extracted from the database of European Aquatics. A total of 13,310 male and 7798 female pool swimmers of all race distances were grouped into three performance levels. Results: The results showed a continuous decline in annual performance progression throughout the years across all race distances (all p < 0.001) and in both sexes. There were differences between performance level across the age groups for all race distances in male swimmers, but only for the 100-400 m races in females (p < 0.05). Absolute performance showed significant main effects for level and age over all race distances for both sexes (all p < 0.001). Conclusions: Annual performance progression of swimmers consistently decreases across the competitive lifetime in both sexes, regardless of race distance and performance level. The event-specific benchmarks should be used as a framework to set realistic goals for both sexes and swimmers of different competitive levels, as well as to guide swimmers throughout their careers.

求助全文
通过发布文献求助,成功后即可免费获取论文全文。 去求助
来源期刊
Journal of Functional Morphology and Kinesiology
Journal of Functional Morphology and Kinesiology Health Professions-Physical Therapy, Sports Therapy and Rehabilitation
CiteScore
4.20
自引率
0.00%
发文量
94
审稿时长
12 weeks
×
引用
GB/T 7714-2015
复制
MLA
复制
APA
复制
导出至
BibTeX EndNote RefMan NoteFirst NoteExpress
×
提示
您的信息不完整,为了账户安全,请先补充。
现在去补充
×
提示
您因"违规操作"
具体请查看互助需知
我知道了
×
提示
确定
请完成安全验证×
copy
已复制链接
快去分享给好友吧!
我知道了
右上角分享
点击右上角分享
0
联系我们:info@booksci.cn Book学术提供免费学术资源搜索服务,方便国内外学者检索中英文文献。致力于提供最便捷和优质的服务体验。 Copyright © 2023 布克学术 All rights reserved.
京ICP备2023020795号-1
ghs 京公网安备 11010802042870号
Book学术文献互助
Book学术文献互助群
群 号:604180095
Book学术官方微信