不同高度落差跳远下肢不对称性分析。

IF 2.8 3区 医学 Q2 SPORT SCIENCES
Journal of Human Kinetics Pub Date : 2025-05-29 eCollection Date: 2025-07-01 DOI:10.5114/jhk/194893
I-Lin Wang, Chien-Ting Lai, Yu Su, Chin-Yi Gu
{"title":"不同高度落差跳远下肢不对称性分析。","authors":"I-Lin Wang, Chien-Ting Lai, Yu Su, Chin-Yi Gu","doi":"10.5114/jhk/194893","DOIUrl":null,"url":null,"abstract":"<p><p>This study aimed to investigate the effects of lower limb muscular asymmetry on the bilateral variations observed in high platform drop jumps, with a particular emphasis on the side-to-side differences in both the initial and secondary ground contacts during these jumps. Seventy-one students from the Physical Education department were selected to perform countermovement jumps. Participants were further classified into two groups, strength symmetry and strength asymmetry groups, based on the asymmetry strength index calculated from data collected via the force plates. Drop jumps were performed from three designated heights, i.e., 30 cm, 40 cm and 50 cm (DJ30, DJ40 and DJ50, respectively). The mixed design two-way ANOVA revealed notable differences between the stronger and weaker legs. Significant differences were observed in the timing of the peak vertical ground reaction force at the first ground contact of the DJ30 (p < 0.05) and in the shape factor of the push-off phase of the DJ40 (p < 0.05). The unilateral preference might lead to an increased risk of lower limb injuries. Prolonged training may exacerbate the degree of lower limb asymmetry. Potentially these findings can provide valuable suggestions for athletes and coaches in their training.</p>","PeriodicalId":16055,"journal":{"name":"Journal of Human Kinetics","volume":"98 ","pages":"57-66"},"PeriodicalIF":2.8000,"publicationDate":"2025-05-29","publicationTypes":"Journal Article","fieldsOfStudy":null,"isOpenAccess":false,"openAccessPdf":"https://www.ncbi.nlm.nih.gov/pmc/articles/PMC12360929/pdf/","citationCount":"0","resultStr":"{\"title\":\"Analysis of Lower Limb Asymmetry in Drop Jumps from Different Heights.\",\"authors\":\"I-Lin Wang, Chien-Ting Lai, Yu Su, Chin-Yi Gu\",\"doi\":\"10.5114/jhk/194893\",\"DOIUrl\":null,\"url\":null,\"abstract\":\"<p><p>This study aimed to investigate the effects of lower limb muscular asymmetry on the bilateral variations observed in high platform drop jumps, with a particular emphasis on the side-to-side differences in both the initial and secondary ground contacts during these jumps. Seventy-one students from the Physical Education department were selected to perform countermovement jumps. Participants were further classified into two groups, strength symmetry and strength asymmetry groups, based on the asymmetry strength index calculated from data collected via the force plates. Drop jumps were performed from three designated heights, i.e., 30 cm, 40 cm and 50 cm (DJ30, DJ40 and DJ50, respectively). The mixed design two-way ANOVA revealed notable differences between the stronger and weaker legs. Significant differences were observed in the timing of the peak vertical ground reaction force at the first ground contact of the DJ30 (p < 0.05) and in the shape factor of the push-off phase of the DJ40 (p < 0.05). The unilateral preference might lead to an increased risk of lower limb injuries. Prolonged training may exacerbate the degree of lower limb asymmetry. Potentially these findings can provide valuable suggestions for athletes and coaches in their training.</p>\",\"PeriodicalId\":16055,\"journal\":{\"name\":\"Journal of Human Kinetics\",\"volume\":\"98 \",\"pages\":\"57-66\"},\"PeriodicalIF\":2.8000,\"publicationDate\":\"2025-05-29\",\"publicationTypes\":\"Journal Article\",\"fieldsOfStudy\":null,\"isOpenAccess\":false,\"openAccessPdf\":\"https://www.ncbi.nlm.nih.gov/pmc/articles/PMC12360929/pdf/\",\"citationCount\":\"0\",\"resultStr\":null,\"platform\":\"Semanticscholar\",\"paperid\":null,\"PeriodicalName\":\"Journal of Human Kinetics\",\"FirstCategoryId\":\"3\",\"ListUrlMain\":\"https://doi.org/10.5114/jhk/194893\",\"RegionNum\":3,\"RegionCategory\":\"医学\",\"ArticlePicture\":[],\"TitleCN\":null,\"AbstractTextCN\":null,\"PMCID\":null,\"EPubDate\":\"2025/7/1 0:00:00\",\"PubModel\":\"eCollection\",\"JCR\":\"Q2\",\"JCRName\":\"SPORT SCIENCES\",\"Score\":null,\"Total\":0}","platform":"Semanticscholar","paperid":null,"PeriodicalName":"Journal of Human Kinetics","FirstCategoryId":"3","ListUrlMain":"https://doi.org/10.5114/jhk/194893","RegionNum":3,"RegionCategory":"医学","ArticlePicture":[],"TitleCN":null,"AbstractTextCN":null,"PMCID":null,"EPubDate":"2025/7/1 0:00:00","PubModel":"eCollection","JCR":"Q2","JCRName":"SPORT SCIENCES","Score":null,"Total":0}
引用次数: 0

摘要

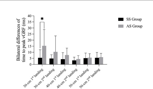
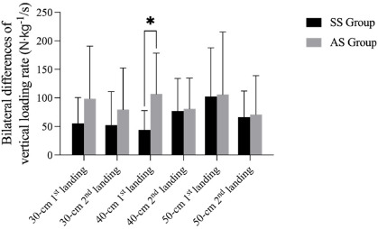
本研究旨在探讨下肢肌肉不对称对高台落体跳跃中观察到的双边变化的影响,特别强调在这些跳跃过程中初始和二次地面接触的侧面差异。体育系的71名学生被选中表演反向跳跃。根据测力板数据计算的不对称强度指数,将参与者进一步分为强度对称组和强度不对称组。从指定高度30 cm、40 cm和50 cm(分别为DJ30、DJ40和DJ50)进行落跳。混合设计双因素方差分析显示强壮腿和虚弱腿之间存在显著差异。DJ30在首次接触地面时垂直反力峰值出现的时间(p < 0.05)和DJ40推离阶段的形状因子(p < 0.05)存在显著差异。单侧偏好可能导致下肢损伤的风险增加。长时间的训练可能会加重下肢不对称的程度。这些发现可能为运动员和教练的训练提供有价值的建议。
本文章由计算机程序翻译,如有差异,请以英文原文为准。

Analysis of Lower Limb Asymmetry in Drop Jumps from Different Heights.

Analysis of Lower Limb Asymmetry in Drop Jumps from Different Heights.

Analysis of Lower Limb Asymmetry in Drop Jumps from Different Heights.

Analysis of Lower Limb Asymmetry in Drop Jumps from Different Heights.

This study aimed to investigate the effects of lower limb muscular asymmetry on the bilateral variations observed in high platform drop jumps, with a particular emphasis on the side-to-side differences in both the initial and secondary ground contacts during these jumps. Seventy-one students from the Physical Education department were selected to perform countermovement jumps. Participants were further classified into two groups, strength symmetry and strength asymmetry groups, based on the asymmetry strength index calculated from data collected via the force plates. Drop jumps were performed from three designated heights, i.e., 30 cm, 40 cm and 50 cm (DJ30, DJ40 and DJ50, respectively). The mixed design two-way ANOVA revealed notable differences between the stronger and weaker legs. Significant differences were observed in the timing of the peak vertical ground reaction force at the first ground contact of the DJ30 (p < 0.05) and in the shape factor of the push-off phase of the DJ40 (p < 0.05). The unilateral preference might lead to an increased risk of lower limb injuries. Prolonged training may exacerbate the degree of lower limb asymmetry. Potentially these findings can provide valuable suggestions for athletes and coaches in their training.

求助全文
通过发布文献求助,成功后即可免费获取论文全文。 去求助
来源期刊
Journal of Human Kinetics
Journal of Human Kinetics 医学-运动科学
CiteScore
4.80
自引率
0.00%
发文量
83
审稿时长
3 months
期刊介绍: The Journal of Human Kinetics is an open access interdisciplinary periodical offering the latest research in the science of human movement studies. This comprehensive professional journal features articles and research notes encompassing such topic areas as: Kinesiology, Exercise Physiology and Nutrition, Sports Training and Behavioural Sciences in Sport, but especially considering elite and competitive aspects of sport. The journal publishes original papers, invited reviews, short communications and letters to the Editors. Manuscripts submitted to the journal must contain novel data on theoretical or experimental research or on practical applications in the field of sport sciences. The Journal of Human Kinetics is published in March, June, September and December. We encourage scientists from around the world to submit their papers to our periodical.
×
引用
GB/T 7714-2015
复制
MLA
复制
APA
复制
导出至
BibTeX EndNote RefMan NoteFirst NoteExpress
×
提示
您的信息不完整,为了账户安全,请先补充。
现在去补充
×
提示
您因"违规操作"
具体请查看互助需知
我知道了
×
提示
确定
请完成安全验证×
copy
已复制链接
快去分享给好友吧!
我知道了
右上角分享
点击右上角分享
0
联系我们:info@booksci.cn Book学术提供免费学术资源搜索服务,方便国内外学者检索中英文文献。致力于提供最便捷和优质的服务体验。 Copyright © 2023 布克学术 All rights reserved.
京ICP备2023020795号-1
ghs 京公网安备 11010802042870号
Book学术文献互助
Book学术文献互助群
群 号:604180095
Book学术官方微信