经导管自膨胀生物假体主动脉瓣植入术中影像学评估标准在预测术后扩张需求中的重要性。

IF 2.3 4区 医学 Q2 CARDIAC & CARDIOVASCULAR SYSTEMS
Matthias Hammerer, Philipp Hasenbichler, Nikolaos Schörghofer, Christoph Knapitsch, Nikolaus Clodi, Uta C Hoppe, Klaus Hergan, Elke Boxhammer, Bernhard Scharinger
{"title":"经导管自膨胀生物假体主动脉瓣植入术中影像学评估标准在预测术后扩张需求中的重要性。","authors":"Matthias Hammerer, Philipp Hasenbichler, Nikolaos Schörghofer, Christoph Knapitsch, Nikolaus Clodi, Uta C Hoppe, Klaus Hergan, Elke Boxhammer, Bernhard Scharinger","doi":"10.3390/jcdd12080296","DOIUrl":null,"url":null,"abstract":"<p><strong>Background: </strong>Transcatheter aortic valve implantation (TAVI) has revolutionized the treatment of severe aortic valve stenosis (AS). Balloon post-dilatation (PD) remains an important procedural step to optimize valve function by resolving incomplete valve expansion, which may lead to paravalvular regurgitation and other potentially adverse effects. There are only limited data on the predictors, incidence, and clinical impact of PD during TAVI.</p><p><strong>Methods: </strong>This retrospective, single-center study analyzed 585 patients who underwent TAVI (2016-2022). Pre-procedural evaluations included transthoracic echocardiography and CT angiography to assess key parameters, including the aortic valve calcium score (AVCS); aortic valve calcium density (AVCd); aortic valve maximal systolic transvalvular flow velocity (AV Vmax); and aortic valve mean systolic pressure gradient (AV MPG). We identified imaging predictors of PD and evaluated associated clinical outcomes by analyzing procedural endpoints (according to VARC-3 criteria) and long-term survival.</p><p><strong>Results: </strong>PD was performed on 67 out of 585 patients, with elevated AV Vmax (OR: 1.424, 95% CI: 1.039-1.950; <i>p</i> = 0.028) and AVCd (OR: 1.618, 95% CI: 1.227-2.132; <i>p</i> = 0.001) emerging as a significant independent predictor for PD in TAVI. Kaplan-Meier survival analysis revealed no significant differences in short- and mid-term survival between patients who underwent PD and those who did not. Interestingly, patients requiring PD exhibited a lower incidence of adverse events regarding major vascular complications, permanent pacemaker implantations and stroke.</p><p><strong>Conclusions: </strong>The study highlights AV Vmax and AVCd as key predictors of PD. Importantly, PD was not associated with increased procedural adverse events and did not predict adverse events in this contemporary cohort.</p>","PeriodicalId":15197,"journal":{"name":"Journal of Cardiovascular Development and Disease","volume":"12 8","pages":""},"PeriodicalIF":2.3000,"publicationDate":"2025-08-01","publicationTypes":"Journal Article","fieldsOfStudy":null,"isOpenAccess":false,"openAccessPdf":"https://www.ncbi.nlm.nih.gov/pmc/articles/PMC12386964/pdf/","citationCount":"0","resultStr":"{\"title\":\"Importance of Imaging Assessment Criteria in Predicting the Need for Post-Dilatation in Transcatheter Aortic Valve Implantation with a Self-Expanding Bioprosthesis.\",\"authors\":\"Matthias Hammerer, Philipp Hasenbichler, Nikolaos Schörghofer, Christoph Knapitsch, Nikolaus Clodi, Uta C Hoppe, Klaus Hergan, Elke Boxhammer, Bernhard Scharinger\",\"doi\":\"10.3390/jcdd12080296\",\"DOIUrl\":null,\"url\":null,\"abstract\":\"<p><strong>Background: </strong>Transcatheter aortic valve implantation (TAVI) has revolutionized the treatment of severe aortic valve stenosis (AS). Balloon post-dilatation (PD) remains an important procedural step to optimize valve function by resolving incomplete valve expansion, which may lead to paravalvular regurgitation and other potentially adverse effects. There are only limited data on the predictors, incidence, and clinical impact of PD during TAVI.</p><p><strong>Methods: </strong>This retrospective, single-center study analyzed 585 patients who underwent TAVI (2016-2022). Pre-procedural evaluations included transthoracic echocardiography and CT angiography to assess key parameters, including the aortic valve calcium score (AVCS); aortic valve calcium density (AVCd); aortic valve maximal systolic transvalvular flow velocity (AV Vmax); and aortic valve mean systolic pressure gradient (AV MPG). We identified imaging predictors of PD and evaluated associated clinical outcomes by analyzing procedural endpoints (according to VARC-3 criteria) and long-term survival.</p><p><strong>Results: </strong>PD was performed on 67 out of 585 patients, with elevated AV Vmax (OR: 1.424, 95% CI: 1.039-1.950; <i>p</i> = 0.028) and AVCd (OR: 1.618, 95% CI: 1.227-2.132; <i>p</i> = 0.001) emerging as a significant independent predictor for PD in TAVI. Kaplan-Meier survival analysis revealed no significant differences in short- and mid-term survival between patients who underwent PD and those who did not. Interestingly, patients requiring PD exhibited a lower incidence of adverse events regarding major vascular complications, permanent pacemaker implantations and stroke.</p><p><strong>Conclusions: </strong>The study highlights AV Vmax and AVCd as key predictors of PD. Importantly, PD was not associated with increased procedural adverse events and did not predict adverse events in this contemporary cohort.</p>\",\"PeriodicalId\":15197,\"journal\":{\"name\":\"Journal of Cardiovascular Development and Disease\",\"volume\":\"12 8\",\"pages\":\"\"},\"PeriodicalIF\":2.3000,\"publicationDate\":\"2025-08-01\",\"publicationTypes\":\"Journal Article\",\"fieldsOfStudy\":null,\"isOpenAccess\":false,\"openAccessPdf\":\"https://www.ncbi.nlm.nih.gov/pmc/articles/PMC12386964/pdf/\",\"citationCount\":\"0\",\"resultStr\":null,\"platform\":\"Semanticscholar\",\"paperid\":null,\"PeriodicalName\":\"Journal of Cardiovascular Development and Disease\",\"FirstCategoryId\":\"3\",\"ListUrlMain\":\"https://doi.org/10.3390/jcdd12080296\",\"RegionNum\":4,\"RegionCategory\":\"医学\",\"ArticlePicture\":[],\"TitleCN\":null,\"AbstractTextCN\":null,\"PMCID\":null,\"EPubDate\":\"\",\"PubModel\":\"\",\"JCR\":\"Q2\",\"JCRName\":\"CARDIAC & CARDIOVASCULAR SYSTEMS\",\"Score\":null,\"Total\":0}","platform":"Semanticscholar","paperid":null,"PeriodicalName":"Journal of Cardiovascular Development and Disease","FirstCategoryId":"3","ListUrlMain":"https://doi.org/10.3390/jcdd12080296","RegionNum":4,"RegionCategory":"医学","ArticlePicture":[],"TitleCN":null,"AbstractTextCN":null,"PMCID":null,"EPubDate":"","PubModel":"","JCR":"Q2","JCRName":"CARDIAC & CARDIOVASCULAR SYSTEMS","Score":null,"Total":0}
引用次数: 0

摘要

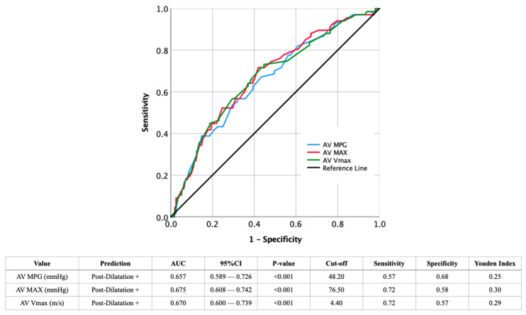
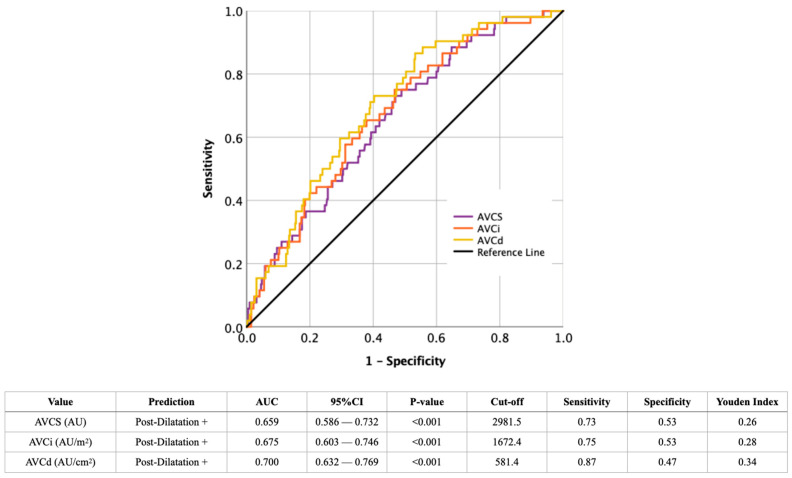
背景:经导管主动脉瓣植入术(TAVI)彻底改变了严重主动脉瓣狭窄(AS)的治疗方法。球囊扩张后(PD)仍然是通过解决可能导致瓣旁反流和其他潜在不良反应的不完全瓣膜扩张来优化瓣膜功能的重要程序步骤。关于TAVI期间PD的预测因素、发病率和临床影响的数据有限。方法:这项回顾性、单中心研究分析了585例接受TAVI(2016-2022)的患者。术前评估包括经胸超声心动图和CT血管造影来评估关键参数,包括主动脉瓣钙评分(AVCS);主动脉瓣钙密度(AVCd);主动脉瓣最大收缩经瓣血流速度(AV Vmax);和主动脉瓣平均收缩压梯度(AV MPG)。我们确定了PD的影像学预测因素,并通过分析程序终点(根据VARC-3标准)和长期生存来评估相关的临床结果。结果:585例患者中有67例接受了PD治疗,AV Vmax升高(OR: 1.424, 95% CI: 1.039-1.950; p = 0.028)和AVCd升高(OR: 1.618, 95% CI: 1.227-2.132; p = 0.001)成为TAVI患者PD的重要独立预测因子。Kaplan-Meier生存分析显示,PD患者与未接受PD患者的短期和中期生存无显著差异。有趣的是,需要PD的患者在主要血管并发症、永久性起搏器植入和中风方面的不良事件发生率较低。结论:研究强调AV Vmax和AVCd是PD的关键预测指标。重要的是,在这个当代队列中,PD与程序性不良事件增加无关,也不能预测不良事件。
本文章由计算机程序翻译,如有差异,请以英文原文为准。

Importance of Imaging Assessment Criteria in Predicting the Need for Post-Dilatation in Transcatheter Aortic Valve Implantation with a Self-Expanding Bioprosthesis.

Importance of Imaging Assessment Criteria in Predicting the Need for Post-Dilatation in Transcatheter Aortic Valve Implantation with a Self-Expanding Bioprosthesis.

Importance of Imaging Assessment Criteria in Predicting the Need for Post-Dilatation in Transcatheter Aortic Valve Implantation with a Self-Expanding Bioprosthesis.

Importance of Imaging Assessment Criteria in Predicting the Need for Post-Dilatation in Transcatheter Aortic Valve Implantation with a Self-Expanding Bioprosthesis.

Background: Transcatheter aortic valve implantation (TAVI) has revolutionized the treatment of severe aortic valve stenosis (AS). Balloon post-dilatation (PD) remains an important procedural step to optimize valve function by resolving incomplete valve expansion, which may lead to paravalvular regurgitation and other potentially adverse effects. There are only limited data on the predictors, incidence, and clinical impact of PD during TAVI.

Methods: This retrospective, single-center study analyzed 585 patients who underwent TAVI (2016-2022). Pre-procedural evaluations included transthoracic echocardiography and CT angiography to assess key parameters, including the aortic valve calcium score (AVCS); aortic valve calcium density (AVCd); aortic valve maximal systolic transvalvular flow velocity (AV Vmax); and aortic valve mean systolic pressure gradient (AV MPG). We identified imaging predictors of PD and evaluated associated clinical outcomes by analyzing procedural endpoints (according to VARC-3 criteria) and long-term survival.

Results: PD was performed on 67 out of 585 patients, with elevated AV Vmax (OR: 1.424, 95% CI: 1.039-1.950; p = 0.028) and AVCd (OR: 1.618, 95% CI: 1.227-2.132; p = 0.001) emerging as a significant independent predictor for PD in TAVI. Kaplan-Meier survival analysis revealed no significant differences in short- and mid-term survival between patients who underwent PD and those who did not. Interestingly, patients requiring PD exhibited a lower incidence of adverse events regarding major vascular complications, permanent pacemaker implantations and stroke.

Conclusions: The study highlights AV Vmax and AVCd as key predictors of PD. Importantly, PD was not associated with increased procedural adverse events and did not predict adverse events in this contemporary cohort.

求助全文
通过发布文献求助,成功后即可免费获取论文全文。 去求助
来源期刊
Journal of Cardiovascular Development and Disease
Journal of Cardiovascular Development and Disease CARDIAC & CARDIOVASCULAR SYSTEMS-
CiteScore
2.60
自引率
12.50%
发文量
381
×
引用
GB/T 7714-2015
复制
MLA
复制
APA
复制
导出至
BibTeX EndNote RefMan NoteFirst NoteExpress
×
提示
您的信息不完整,为了账户安全,请先补充。
现在去补充
×
提示
您因"违规操作"
具体请查看互助需知
我知道了
×
提示
确定
请完成安全验证×
copy
已复制链接
快去分享给好友吧!
我知道了
右上角分享
点击右上角分享
0
联系我们:info@booksci.cn Book学术提供免费学术资源搜索服务,方便国内外学者检索中英文文献。致力于提供最便捷和优质的服务体验。 Copyright © 2023 布克学术 All rights reserved.
京ICP备2023020795号-1
ghs 京公网安备 11010802042870号
Book学术文献互助
Book学术文献互助群
群 号:604180095
Book学术官方微信