头颈部鳞状细胞癌患者生命末期的全身抗癌治疗。回顾性单中心研究。

IF 2.8 3区 医学 Q3 ONCOLOGY
Simone Rota, Silvia Buriolla, Andrea Franza, Stefano Cavalieri, Cristiana Bergamini, Salvatore Alfieri, Imperia Nuzzolese, Elena Colombo, Arianna Ottini, Benedetta Lombardi Stocchetti, Giacomo Massa, Augusto Caraceni, Lisa Licitra, Carlo Resteghini
{"title":"头颈部鳞状细胞癌患者生命末期的全身抗癌治疗。回顾性单中心研究。","authors":"Simone Rota, Silvia Buriolla, Andrea Franza, Stefano Cavalieri, Cristiana Bergamini, Salvatore Alfieri, Imperia Nuzzolese, Elena Colombo, Arianna Ottini, Benedetta Lombardi Stocchetti, Giacomo Massa, Augusto Caraceni, Lisa Licitra, Carlo Resteghini","doi":"10.1007/s00432-025-06297-5","DOIUrl":null,"url":null,"abstract":"","PeriodicalId":15118,"journal":{"name":"Journal of Cancer Research and Clinical Oncology","volume":"151 8","pages":"240"},"PeriodicalIF":2.8000,"publicationDate":"2025-08-29","publicationTypes":"Journal Article","fieldsOfStudy":null,"isOpenAccess":false,"openAccessPdf":"https://www.ncbi.nlm.nih.gov/pmc/articles/PMC12397045/pdf/","citationCount":"0","resultStr":"{\"title\":\"Systemic anticancer therapy during end of life in head and neck squamous cell carcinoma patients. A retrospective single center study.\",\"authors\":\"Simone Rota, Silvia Buriolla, Andrea Franza, Stefano Cavalieri, Cristiana Bergamini, Salvatore Alfieri, Imperia Nuzzolese, Elena Colombo, Arianna Ottini, Benedetta Lombardi Stocchetti, Giacomo Massa, Augusto Caraceni, Lisa Licitra, Carlo Resteghini\",\"doi\":\"10.1007/s00432-025-06297-5\",\"DOIUrl\":null,\"url\":null,\"abstract\":\"\",\"PeriodicalId\":15118,\"journal\":{\"name\":\"Journal of Cancer Research and Clinical Oncology\",\"volume\":\"151 8\",\"pages\":\"240\"},\"PeriodicalIF\":2.8000,\"publicationDate\":\"2025-08-29\",\"publicationTypes\":\"Journal Article\",\"fieldsOfStudy\":null,\"isOpenAccess\":false,\"openAccessPdf\":\"https://www.ncbi.nlm.nih.gov/pmc/articles/PMC12397045/pdf/\",\"citationCount\":\"0\",\"resultStr\":null,\"platform\":\"Semanticscholar\",\"paperid\":null,\"PeriodicalName\":\"Journal of Cancer Research and Clinical Oncology\",\"FirstCategoryId\":\"3\",\"ListUrlMain\":\"https://doi.org/10.1007/s00432-025-06297-5\",\"RegionNum\":3,\"RegionCategory\":\"医学\",\"ArticlePicture\":[],\"TitleCN\":null,\"AbstractTextCN\":null,\"PMCID\":null,\"EPubDate\":\"\",\"PubModel\":\"\",\"JCR\":\"Q3\",\"JCRName\":\"ONCOLOGY\",\"Score\":null,\"Total\":0}","platform":"Semanticscholar","paperid":null,"PeriodicalName":"Journal of Cancer Research and Clinical Oncology","FirstCategoryId":"3","ListUrlMain":"https://doi.org/10.1007/s00432-025-06297-5","RegionNum":3,"RegionCategory":"医学","ArticlePicture":[],"TitleCN":null,"AbstractTextCN":null,"PMCID":null,"EPubDate":"","PubModel":"","JCR":"Q3","JCRName":"ONCOLOGY","Score":null,"Total":0}
引用次数: 0

摘要

本文章由计算机程序翻译,如有差异,请以英文原文为准。

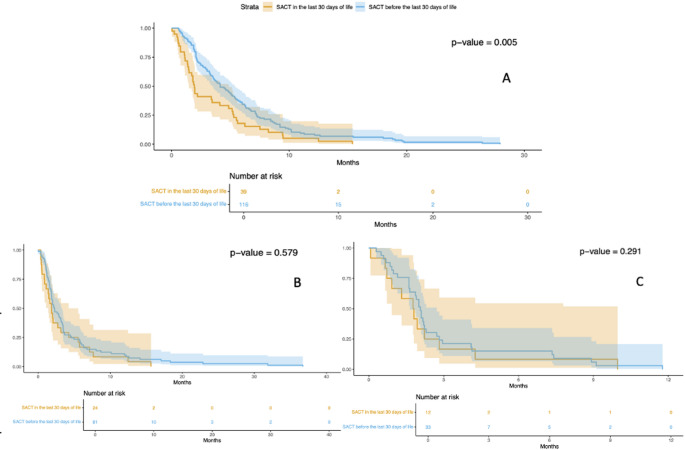
Systemic anticancer therapy during end of life in head and neck squamous cell carcinoma patients. A retrospective single center study.

Systemic anticancer therapy during end of life in head and neck squamous cell carcinoma patients. A retrospective single center study.

Systemic anticancer therapy during end of life in head and neck squamous cell carcinoma patients. A retrospective single center study.

Systemic anticancer therapy during end of life in head and neck squamous cell carcinoma patients. A retrospective single center study.
求助全文
通过发布文献求助,成功后即可免费获取论文全文。 去求助
来源期刊
CiteScore
4.00
自引率
2.80%
发文量
577
审稿时长
2 months
期刊介绍: The "Journal of Cancer Research and Clinical Oncology" publishes significant and up-to-date articles within the fields of experimental and clinical oncology. The journal, which is chiefly devoted to Original papers, also includes Reviews as well as Editorials and Guest editorials on current, controversial topics. The section Letters to the editors provides a forum for a rapid exchange of comments and information concerning previously published papers and topics of current interest. Meeting reports provide current information on the latest results presented at important congresses. The following fields are covered: carcinogenesis - etiology, mechanisms; molecular biology; recent developments in tumor therapy; general diagnosis; laboratory diagnosis; diagnostic and experimental pathology; oncologic surgery; and epidemiology.
×
引用
GB/T 7714-2015
复制
MLA
复制
APA
复制
导出至
BibTeX EndNote RefMan NoteFirst NoteExpress
×
提示
您的信息不完整,为了账户安全,请先补充。
现在去补充
×
提示
您因"违规操作"
具体请查看互助需知
我知道了
×
提示
确定
请完成安全验证×
copy
已复制链接
快去分享给好友吧!
我知道了
右上角分享
点击右上角分享
0
联系我们:info@booksci.cn Book学术提供免费学术资源搜索服务,方便国内外学者检索中英文文献。致力于提供最便捷和优质的服务体验。 Copyright © 2023 布克学术 All rights reserved.
京ICP备2023020795号-1
ghs 京公网安备 11010802042870号
Book学术文献互助
Book学术文献互助群
群 号:604180095
Book学术官方微信