膀胱出口梗阻对男性膀胱收缩性年龄相关性变化的影响。

IF 2.1 3区 医学 Q2 UROLOGY & NEPHROLOGY
Jin Bong Choi, Kang Jun Cho, Joon Chul Kim, Young Kyu Han, Ju Hun Ahn, Seong Joo Yang, Jun Sung Koh
{"title":"膀胱出口梗阻对男性膀胱收缩性年龄相关性变化的影响。","authors":"Jin Bong Choi, Kang Jun Cho, Joon Chul Kim, Young Kyu Han, Ju Hun Ahn, Seong Joo Yang, Jun Sung Koh","doi":"10.4111/icu.20250161","DOIUrl":null,"url":null,"abstract":"<p><strong>Purpose: </strong>Changes in bladder contractility due to aging are among the important causes of lower urinary tract symptoms (LUTS) in elderly males. The purpose of this study was to observe changes in bladder contractility due to aging in male patients taking medications commonly used to treat LUTS in clinical practice.</p><p><strong>Materials and methods: </strong>Male patients aged over 40 years who underwent urodynamic studies for LUTS from January 2012 to December 2024 were included. The bladder outlet obstruction (BOO) index was used to distinguish between males with BOO and those without BOO. Changes in bladder contractility according to age in each group were analyzed using the bladder contractility index. The Pearson correlation coefficient (<i>r</i>) was used to calculate the strength of the linear relationship between age and the variables.</p><p><strong>Results: </strong>A total of 449 male patients who underwent urodynamic studies for LUTS were eligible for this study (311 in the BOO group and 138 in the BOO group). Age and the maximum flow rate were inversely related in both groups. Age and bladder contractility were significantly correlated in the non-BOO group (p=0.021) but not in the BOO group (p=0.057).</p><p><strong>Conclusions: </strong>This study revealed that BOO might act as a confounding variable in measuring the contractility of an aged bladder. Excluding the effect of BOO, bladder contractility significantly decreases with age. Therefore, when male LUTS are treated, changes in bladder contractility due to aging vary depending on BOO.</p>","PeriodicalId":14522,"journal":{"name":"Investigative and Clinical Urology","volume":"66 5","pages":"462-468"},"PeriodicalIF":2.1000,"publicationDate":"2025-09-01","publicationTypes":"Journal Article","fieldsOfStudy":null,"isOpenAccess":false,"openAccessPdf":"https://www.ncbi.nlm.nih.gov/pmc/articles/PMC12437572/pdf/","citationCount":"0","resultStr":"{\"title\":\"Influence of bladder outlet obstruction on age-related changes in male bladder contractility.\",\"authors\":\"Jin Bong Choi, Kang Jun Cho, Joon Chul Kim, Young Kyu Han, Ju Hun Ahn, Seong Joo Yang, Jun Sung Koh\",\"doi\":\"10.4111/icu.20250161\",\"DOIUrl\":null,\"url\":null,\"abstract\":\"<p><strong>Purpose: </strong>Changes in bladder contractility due to aging are among the important causes of lower urinary tract symptoms (LUTS) in elderly males. The purpose of this study was to observe changes in bladder contractility due to aging in male patients taking medications commonly used to treat LUTS in clinical practice.</p><p><strong>Materials and methods: </strong>Male patients aged over 40 years who underwent urodynamic studies for LUTS from January 2012 to December 2024 were included. The bladder outlet obstruction (BOO) index was used to distinguish between males with BOO and those without BOO. Changes in bladder contractility according to age in each group were analyzed using the bladder contractility index. The Pearson correlation coefficient (<i>r</i>) was used to calculate the strength of the linear relationship between age and the variables.</p><p><strong>Results: </strong>A total of 449 male patients who underwent urodynamic studies for LUTS were eligible for this study (311 in the BOO group and 138 in the BOO group). Age and the maximum flow rate were inversely related in both groups. Age and bladder contractility were significantly correlated in the non-BOO group (p=0.021) but not in the BOO group (p=0.057).</p><p><strong>Conclusions: </strong>This study revealed that BOO might act as a confounding variable in measuring the contractility of an aged bladder. Excluding the effect of BOO, bladder contractility significantly decreases with age. Therefore, when male LUTS are treated, changes in bladder contractility due to aging vary depending on BOO.</p>\",\"PeriodicalId\":14522,\"journal\":{\"name\":\"Investigative and Clinical Urology\",\"volume\":\"66 5\",\"pages\":\"462-468\"},\"PeriodicalIF\":2.1000,\"publicationDate\":\"2025-09-01\",\"publicationTypes\":\"Journal Article\",\"fieldsOfStudy\":null,\"isOpenAccess\":false,\"openAccessPdf\":\"https://www.ncbi.nlm.nih.gov/pmc/articles/PMC12437572/pdf/\",\"citationCount\":\"0\",\"resultStr\":null,\"platform\":\"Semanticscholar\",\"paperid\":null,\"PeriodicalName\":\"Investigative and Clinical Urology\",\"FirstCategoryId\":\"3\",\"ListUrlMain\":\"https://doi.org/10.4111/icu.20250161\",\"RegionNum\":3,\"RegionCategory\":\"医学\",\"ArticlePicture\":[],\"TitleCN\":null,\"AbstractTextCN\":null,\"PMCID\":null,\"EPubDate\":\"\",\"PubModel\":\"\",\"JCR\":\"Q2\",\"JCRName\":\"UROLOGY & NEPHROLOGY\",\"Score\":null,\"Total\":0}","platform":"Semanticscholar","paperid":null,"PeriodicalName":"Investigative and Clinical Urology","FirstCategoryId":"3","ListUrlMain":"https://doi.org/10.4111/icu.20250161","RegionNum":3,"RegionCategory":"医学","ArticlePicture":[],"TitleCN":null,"AbstractTextCN":null,"PMCID":null,"EPubDate":"","PubModel":"","JCR":"Q2","JCRName":"UROLOGY & NEPHROLOGY","Score":null,"Total":0}
引用次数: 0

摘要

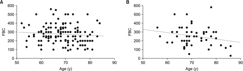
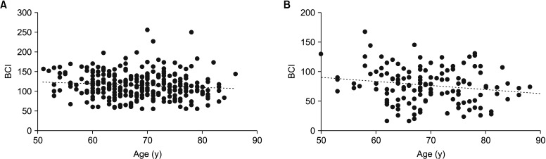
目的:老年男性膀胱收缩性改变是引起下尿路症状的重要原因之一。本研究的目的是观察临床常用LUTS治疗药物的男性患者膀胱收缩力随年龄的变化。材料和方法:纳入2012年1月至2024年12月接受LUTS尿动力学研究的40岁以上男性患者。膀胱出口梗阻(BOO)指数用于区分男性与非男性膀胱出口梗阻。采用膀胱收缩指数分析各组患者膀胱收缩力随年龄的变化。使用Pearson相关系数(r)来计算年龄与变量之间的线性关系的强度。结果:共有449名接受LUTS尿动力学研究的男性患者符合本研究的条件(BOO组311名,BOO组138名)。两组患者年龄与最大流量呈负相关。年龄与膀胱收缩力在非BOO组有显著相关性(p=0.021),而在BOO组无显著相关性(p=0.057)。结论:这项研究表明,BOO可能是测量老年膀胱收缩性的一个混杂变量。排除BOO的影响,膀胱收缩力随年龄的增长而明显下降。因此,在治疗男性LUTS时,由于衰老引起的膀胱收缩性变化因BOO而异。
本文章由计算机程序翻译,如有差异,请以英文原文为准。

Influence of bladder outlet obstruction on age-related changes in male bladder contractility.

Influence of bladder outlet obstruction on age-related changes in male bladder contractility.

Influence of bladder outlet obstruction on age-related changes in male bladder contractility.

Influence of bladder outlet obstruction on age-related changes in male bladder contractility.

Purpose: Changes in bladder contractility due to aging are among the important causes of lower urinary tract symptoms (LUTS) in elderly males. The purpose of this study was to observe changes in bladder contractility due to aging in male patients taking medications commonly used to treat LUTS in clinical practice.

Materials and methods: Male patients aged over 40 years who underwent urodynamic studies for LUTS from January 2012 to December 2024 were included. The bladder outlet obstruction (BOO) index was used to distinguish between males with BOO and those without BOO. Changes in bladder contractility according to age in each group were analyzed using the bladder contractility index. The Pearson correlation coefficient (r) was used to calculate the strength of the linear relationship between age and the variables.

Results: A total of 449 male patients who underwent urodynamic studies for LUTS were eligible for this study (311 in the BOO group and 138 in the BOO group). Age and the maximum flow rate were inversely related in both groups. Age and bladder contractility were significantly correlated in the non-BOO group (p=0.021) but not in the BOO group (p=0.057).

Conclusions: This study revealed that BOO might act as a confounding variable in measuring the contractility of an aged bladder. Excluding the effect of BOO, bladder contractility significantly decreases with age. Therefore, when male LUTS are treated, changes in bladder contractility due to aging vary depending on BOO.

求助全文
通过发布文献求助,成功后即可免费获取论文全文。 去求助
来源期刊
CiteScore
4.10
自引率
4.30%
发文量
82
审稿时长
4 weeks
期刊介绍: Investigative and Clinical Urology (Investig Clin Urol, ICUrology) is an international, peer-reviewed, platinum open access journal published bimonthly. ICUrology aims to provide outstanding scientific and clinical research articles, that will advance knowledge and understanding of urological diseases and current therapeutic treatments. ICUrology publishes Original Articles, Rapid Communications, Review Articles, Special Articles, Innovations in Urology, Editorials, and Letters to the Editor, with a focus on the following areas of expertise: • Precision Medicine in Urology • Urological Oncology • Robotics/Laparoscopy • Endourology/Urolithiasis • Lower Urinary Tract Dysfunction • Female Urology • Sexual Dysfunction/Infertility • Infection/Inflammation • Reconstruction/Transplantation • Geriatric Urology • Pediatric Urology • Basic/Translational Research One of the notable features of ICUrology is the application of multimedia platforms facilitating easy-to-access online video clips of newly developed surgical techniques from the journal''s website, by a QR (quick response) code located in the article, or via YouTube. ICUrology provides current and highly relevant knowledge to a broad audience at the cutting edge of urological research and clinical practice.
×
引用
GB/T 7714-2015
复制
MLA
复制
APA
复制
导出至
BibTeX EndNote RefMan NoteFirst NoteExpress
×
提示
您的信息不完整,为了账户安全,请先补充。
现在去补充
×
提示
您因"违规操作"
具体请查看互助需知
我知道了
×
提示
确定
请完成安全验证×
copy
已复制链接
快去分享给好友吧!
我知道了
右上角分享
点击右上角分享
0
联系我们:info@booksci.cn Book学术提供免费学术资源搜索服务,方便国内外学者检索中英文文献。致力于提供最便捷和优质的服务体验。 Copyright © 2023 布克学术 All rights reserved.
京ICP备2023020795号-1
ghs 京公网安备 11010802042870号
Book学术文献互助
Book学术文献互助群
群 号:604180095
Book学术官方微信