因心脏骤停和其他原因入院的ICU患者的肠道微生物群不同:一项次要的倾向匹配队列分析。

IF 2.8 Q2 CRITICAL CARE MEDICINE
Hannah Wozniak, Eleonora Balzani, Vladimir Lazarevic, Nadia Gaia, Aude de Watteville, Raphaël Giraud, Jacques Schrenzel, Claudia Heidegger
{"title":"因心脏骤停和其他原因入院的ICU患者的肠道微生物群不同:一项次要的倾向匹配队列分析。","authors":"Hannah Wozniak, Eleonora Balzani, Vladimir Lazarevic, Nadia Gaia, Aude de Watteville, Raphaël Giraud, Jacques Schrenzel, Claudia Heidegger","doi":"10.1186/s40635-025-00803-2","DOIUrl":null,"url":null,"abstract":"<p><strong>Background: </strong>Critical illness is known to reduce gut microbiota (GM) diversity, a change associated with adverse outcomes. Among potential mechanisms, splanchnic hypoperfusion may play a key role. Cardiac arrest (CA), characterized by transient global hypoperfusion, provides a relevant model to explore this effect.</p><p><strong>Results: </strong>We conducted a secondary, propensity score-matched analysis of a cohort study investigating GM changes during early intensive care unit stay. Stool samples were collected at ICU admission (S1) and at least 24 h later (S2). GM profiling was performed using 16S rRNA sequencing. Shannon diversity index and taxonomic composition were compared between CA and non-CA patients. Propensity score matching and generalized linear models (GLM) were used to adjust for confounding. A total of 26 patients were included in this analysis (13 CA, 13 matched controls). At S1, CA patients had significantly lower GM diversity (Shannon index: 3.6 [3.0-3.8] vs. 4.3 [3.9-4.8], p = 0.019). This was confirmed in the GLM (β = - 0.30, SE 0.12, p = 0.022). At S2, diversity remained lower (3.2 [2.7-3.8] vs. 4.0 [3.7-4.3], p = 0.064). While no global compositional shifts were observed between groups, differences in the abundance of specific taxa were noted.</p><p><strong>Conclusion: </strong>CA is associated with reduced GM diversity in the first few days of intensive care unit admission compared to non-CA patients, supporting a role for splanchnic hypoperfusion in GM modulation. Further research should investigate clinical consequences and evaluate microbiota-targeted interventions in this high-risk population.</p>","PeriodicalId":13750,"journal":{"name":"Intensive Care Medicine Experimental","volume":"13 1","pages":"88"},"PeriodicalIF":2.8000,"publicationDate":"2025-08-28","publicationTypes":"Journal Article","fieldsOfStudy":null,"isOpenAccess":false,"openAccessPdf":"https://www.ncbi.nlm.nih.gov/pmc/articles/PMC12394093/pdf/","citationCount":"0","resultStr":"{\"title\":\"Gut microbiota differs between ICU patients admitted for cardiac arrest and other causes: a secondary, propensity-matched cohort analysis.\",\"authors\":\"Hannah Wozniak, Eleonora Balzani, Vladimir Lazarevic, Nadia Gaia, Aude de Watteville, Raphaël Giraud, Jacques Schrenzel, Claudia Heidegger\",\"doi\":\"10.1186/s40635-025-00803-2\",\"DOIUrl\":null,\"url\":null,\"abstract\":\"<p><strong>Background: </strong>Critical illness is known to reduce gut microbiota (GM) diversity, a change associated with adverse outcomes. Among potential mechanisms, splanchnic hypoperfusion may play a key role. Cardiac arrest (CA), characterized by transient global hypoperfusion, provides a relevant model to explore this effect.</p><p><strong>Results: </strong>We conducted a secondary, propensity score-matched analysis of a cohort study investigating GM changes during early intensive care unit stay. Stool samples were collected at ICU admission (S1) and at least 24 h later (S2). GM profiling was performed using 16S rRNA sequencing. Shannon diversity index and taxonomic composition were compared between CA and non-CA patients. Propensity score matching and generalized linear models (GLM) were used to adjust for confounding. A total of 26 patients were included in this analysis (13 CA, 13 matched controls). At S1, CA patients had significantly lower GM diversity (Shannon index: 3.6 [3.0-3.8] vs. 4.3 [3.9-4.8], p = 0.019). This was confirmed in the GLM (β = - 0.30, SE 0.12, p = 0.022). At S2, diversity remained lower (3.2 [2.7-3.8] vs. 4.0 [3.7-4.3], p = 0.064). While no global compositional shifts were observed between groups, differences in the abundance of specific taxa were noted.</p><p><strong>Conclusion: </strong>CA is associated with reduced GM diversity in the first few days of intensive care unit admission compared to non-CA patients, supporting a role for splanchnic hypoperfusion in GM modulation. Further research should investigate clinical consequences and evaluate microbiota-targeted interventions in this high-risk population.</p>\",\"PeriodicalId\":13750,\"journal\":{\"name\":\"Intensive Care Medicine Experimental\",\"volume\":\"13 1\",\"pages\":\"88\"},\"PeriodicalIF\":2.8000,\"publicationDate\":\"2025-08-28\",\"publicationTypes\":\"Journal Article\",\"fieldsOfStudy\":null,\"isOpenAccess\":false,\"openAccessPdf\":\"https://www.ncbi.nlm.nih.gov/pmc/articles/PMC12394093/pdf/\",\"citationCount\":\"0\",\"resultStr\":null,\"platform\":\"Semanticscholar\",\"paperid\":null,\"PeriodicalName\":\"Intensive Care Medicine Experimental\",\"FirstCategoryId\":\"1085\",\"ListUrlMain\":\"https://doi.org/10.1186/s40635-025-00803-2\",\"RegionNum\":0,\"RegionCategory\":null,\"ArticlePicture\":[],\"TitleCN\":null,\"AbstractTextCN\":null,\"PMCID\":null,\"EPubDate\":\"\",\"PubModel\":\"\",\"JCR\":\"Q2\",\"JCRName\":\"CRITICAL CARE MEDICINE\",\"Score\":null,\"Total\":0}","platform":"Semanticscholar","paperid":null,"PeriodicalName":"Intensive Care Medicine Experimental","FirstCategoryId":"1085","ListUrlMain":"https://doi.org/10.1186/s40635-025-00803-2","RegionNum":0,"RegionCategory":null,"ArticlePicture":[],"TitleCN":null,"AbstractTextCN":null,"PMCID":null,"EPubDate":"","PubModel":"","JCR":"Q2","JCRName":"CRITICAL CARE MEDICINE","Score":null,"Total":0}
引用次数: 0

摘要

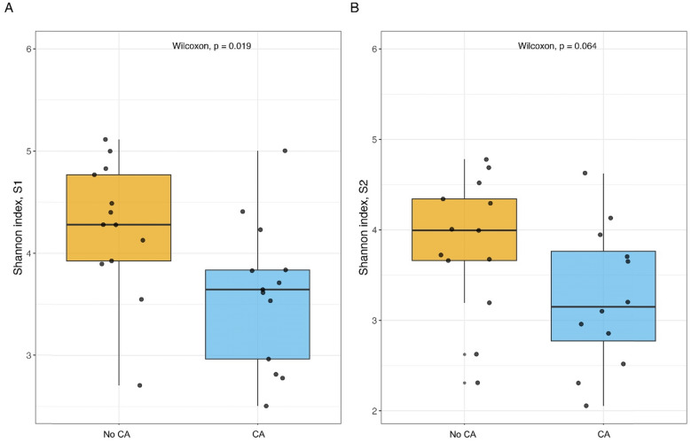
背景:众所周知,危重疾病会减少肠道微生物群(GM)的多样性,这一变化与不良后果相关。在可能的机制中,内脏灌注不足可能起关键作用。心脏骤停(CA)以短暂的全灌注不足为特征,为探讨这种影响提供了相关模型。结果:我们对一项队列研究进行了二次倾向评分匹配分析,该研究调查了重症监护病房早期GM的变化。在ICU入院时(S1)和至少24 h后(S2)收集粪便样本。采用16S rRNA测序进行基因分析。比较了CA与非CA患者的Shannon多样性指数和分类学组成。倾向评分匹配和广义线性模型(GLM)用于调整混杂。该分析共纳入26例患者(13例CA, 13例匹配对照)。在S1时,CA患者的GM多样性显著降低(Shannon指数:3.6 [3.0-3.8]vs. 4.3 [3.9-4.8], p = 0.019)。这在GLM中得到证实(β = - 0.30, SE 0.12, p = 0.022)。S2时,多样性仍然较低(3.2 [2.7-3.8]vs. 4.0 [3.7-4.3], p = 0.064)。虽然没有观察到组间的整体组成变化,但注意到特定分类群丰度的差异。结论:与非CA患者相比,CA与重症监护病房入院前几天的GM多样性降低有关,支持内脏灌注不足在GM调节中的作用。进一步的研究应该调查临床结果,并评估在这一高危人群中针对微生物群的干预措施。
本文章由计算机程序翻译,如有差异,请以英文原文为准。

Gut microbiota differs between ICU patients admitted for cardiac arrest and other causes: a secondary, propensity-matched cohort analysis.

Gut microbiota differs between ICU patients admitted for cardiac arrest and other causes: a secondary, propensity-matched cohort analysis.

Gut microbiota differs between ICU patients admitted for cardiac arrest and other causes: a secondary, propensity-matched cohort analysis.

Background: Critical illness is known to reduce gut microbiota (GM) diversity, a change associated with adverse outcomes. Among potential mechanisms, splanchnic hypoperfusion may play a key role. Cardiac arrest (CA), characterized by transient global hypoperfusion, provides a relevant model to explore this effect.

Results: We conducted a secondary, propensity score-matched analysis of a cohort study investigating GM changes during early intensive care unit stay. Stool samples were collected at ICU admission (S1) and at least 24 h later (S2). GM profiling was performed using 16S rRNA sequencing. Shannon diversity index and taxonomic composition were compared between CA and non-CA patients. Propensity score matching and generalized linear models (GLM) were used to adjust for confounding. A total of 26 patients were included in this analysis (13 CA, 13 matched controls). At S1, CA patients had significantly lower GM diversity (Shannon index: 3.6 [3.0-3.8] vs. 4.3 [3.9-4.8], p = 0.019). This was confirmed in the GLM (β = - 0.30, SE 0.12, p = 0.022). At S2, diversity remained lower (3.2 [2.7-3.8] vs. 4.0 [3.7-4.3], p = 0.064). While no global compositional shifts were observed between groups, differences in the abundance of specific taxa were noted.

Conclusion: CA is associated with reduced GM diversity in the first few days of intensive care unit admission compared to non-CA patients, supporting a role for splanchnic hypoperfusion in GM modulation. Further research should investigate clinical consequences and evaluate microbiota-targeted interventions in this high-risk population.

求助全文
通过发布文献求助,成功后即可免费获取论文全文。 去求助
来源期刊
Intensive Care Medicine Experimental
Intensive Care Medicine Experimental CRITICAL CARE MEDICINE-
CiteScore
5.10
自引率
2.90%
发文量
48
审稿时长
13 weeks
×
引用
GB/T 7714-2015
复制
MLA
复制
APA
复制
导出至
BibTeX EndNote RefMan NoteFirst NoteExpress
×
提示
您的信息不完整,为了账户安全,请先补充。
现在去补充
×
提示
您因"违规操作"
具体请查看互助需知
我知道了
×
提示
确定
请完成安全验证×
copy
已复制链接
快去分享给好友吧!
我知道了
右上角分享
点击右上角分享
0
联系我们:info@booksci.cn Book学术提供免费学术资源搜索服务,方便国内外学者检索中英文文献。致力于提供最便捷和优质的服务体验。 Copyright © 2023 布克学术 All rights reserved.
京ICP备2023020795号-1
ghs 京公网安备 11010802042870号
Book学术文献互助
Book学术文献互助群
群 号:604180095
Book学术官方微信