危重疾病谵妄的血清生物标志物:机制和诊断证据的系统回顾。

IF 2.8 Q2 CRITICAL CARE MEDICINE
Fergus O'Keeffe, Isolde Cervoni, Mario Ganau, Lara Prisco
{"title":"危重疾病谵妄的血清生物标志物:机制和诊断证据的系统回顾。","authors":"Fergus O'Keeffe, Isolde Cervoni, Mario Ganau, Lara Prisco","doi":"10.1186/s40635-025-00795-z","DOIUrl":null,"url":null,"abstract":"<p><p>Delirium is a frequent and serious complication of critical illness, yet its pathophysiological mechanisms remain incompletely understood. Serum biomarkers offer a potential avenue for improved diagnosis, risk stratification, and mechanistic insight. This systematic review synthesises evidence from 28 studies evaluating 54 serum biomarkers in relation to delirium among critically ill adult patients. Biomarkers were categorised by mechanistic pathway, including central nervous system (CNS) injury, immune activation, hormonal dysregulation, neurotransmission, coagulation, and amino acid metabolism. Among CNS injury markers, S100β and neurofilament light chain (NfL) demonstrated the most consistent associations with delirium presence and severity, supporting a role for astrocytic and axonal injury in delirium pathogenesis. Inflammatory markers such as interleukin-6 (IL-6), C-reactive protein (CRP), and tumour necrosis factor-alpha (TNF-α) were frequently studied but showed variable associations, reflecting the complex and non-specific nature of systemic inflammation. Hormonal biomarkers, including cortisol and prolactin, showed preliminary promise, while neurotransmitter-related biomarkers yielded inconsistent results, challenging canonical hypotheses. A major limitation in the literature was the lack of standardisation in delirium assessment, sampling timelines, and adjustment for confounding variables. Only a minority of studies incorporated temporal profiling or longitudinal outcomes, and replication across cohorts was limited. Heterogeneity in ICU populations further reduced generalisability. This review proposes a new conceptual framework of mechanistic endotyping, integrating multimodal biomarker profiling with clinical phenotyping to define biologically distinct subtypes of delirium. Such an approach may support precision medicine strategies by aligning therapeutic interventions with underlying pathophysiology. Future biomarker research should prioritise longitudinal sampling, harmonised protocols, and integration with EEG, imaging, and cognitive outcomes. Despite early promise, serum biomarkers for ICU delirium remain investigational and require further validation before clinical application.</p>","PeriodicalId":13750,"journal":{"name":"Intensive Care Medicine Experimental","volume":"13 1","pages":"90"},"PeriodicalIF":2.8000,"publicationDate":"2025-09-01","publicationTypes":"Journal Article","fieldsOfStudy":null,"isOpenAccess":false,"openAccessPdf":"https://www.ncbi.nlm.nih.gov/pmc/articles/PMC12401822/pdf/","citationCount":"0","resultStr":"{\"title\":\"Serum biomarkers of delirium in critical illness: a systematic review of mechanistic and diagnostic evidence.\",\"authors\":\"Fergus O'Keeffe, Isolde Cervoni, Mario Ganau, Lara Prisco\",\"doi\":\"10.1186/s40635-025-00795-z\",\"DOIUrl\":null,\"url\":null,\"abstract\":\"<p><p>Delirium is a frequent and serious complication of critical illness, yet its pathophysiological mechanisms remain incompletely understood. Serum biomarkers offer a potential avenue for improved diagnosis, risk stratification, and mechanistic insight. This systematic review synthesises evidence from 28 studies evaluating 54 serum biomarkers in relation to delirium among critically ill adult patients. Biomarkers were categorised by mechanistic pathway, including central nervous system (CNS) injury, immune activation, hormonal dysregulation, neurotransmission, coagulation, and amino acid metabolism. Among CNS injury markers, S100β and neurofilament light chain (NfL) demonstrated the most consistent associations with delirium presence and severity, supporting a role for astrocytic and axonal injury in delirium pathogenesis. Inflammatory markers such as interleukin-6 (IL-6), C-reactive protein (CRP), and tumour necrosis factor-alpha (TNF-α) were frequently studied but showed variable associations, reflecting the complex and non-specific nature of systemic inflammation. Hormonal biomarkers, including cortisol and prolactin, showed preliminary promise, while neurotransmitter-related biomarkers yielded inconsistent results, challenging canonical hypotheses. A major limitation in the literature was the lack of standardisation in delirium assessment, sampling timelines, and adjustment for confounding variables. Only a minority of studies incorporated temporal profiling or longitudinal outcomes, and replication across cohorts was limited. Heterogeneity in ICU populations further reduced generalisability. This review proposes a new conceptual framework of mechanistic endotyping, integrating multimodal biomarker profiling with clinical phenotyping to define biologically distinct subtypes of delirium. Such an approach may support precision medicine strategies by aligning therapeutic interventions with underlying pathophysiology. Future biomarker research should prioritise longitudinal sampling, harmonised protocols, and integration with EEG, imaging, and cognitive outcomes. Despite early promise, serum biomarkers for ICU delirium remain investigational and require further validation before clinical application.</p>\",\"PeriodicalId\":13750,\"journal\":{\"name\":\"Intensive Care Medicine Experimental\",\"volume\":\"13 1\",\"pages\":\"90\"},\"PeriodicalIF\":2.8000,\"publicationDate\":\"2025-09-01\",\"publicationTypes\":\"Journal Article\",\"fieldsOfStudy\":null,\"isOpenAccess\":false,\"openAccessPdf\":\"https://www.ncbi.nlm.nih.gov/pmc/articles/PMC12401822/pdf/\",\"citationCount\":\"0\",\"resultStr\":null,\"platform\":\"Semanticscholar\",\"paperid\":null,\"PeriodicalName\":\"Intensive Care Medicine Experimental\",\"FirstCategoryId\":\"1085\",\"ListUrlMain\":\"https://doi.org/10.1186/s40635-025-00795-z\",\"RegionNum\":0,\"RegionCategory\":null,\"ArticlePicture\":[],\"TitleCN\":null,\"AbstractTextCN\":null,\"PMCID\":null,\"EPubDate\":\"\",\"PubModel\":\"\",\"JCR\":\"Q2\",\"JCRName\":\"CRITICAL CARE MEDICINE\",\"Score\":null,\"Total\":0}","platform":"Semanticscholar","paperid":null,"PeriodicalName":"Intensive Care Medicine Experimental","FirstCategoryId":"1085","ListUrlMain":"https://doi.org/10.1186/s40635-025-00795-z","RegionNum":0,"RegionCategory":null,"ArticlePicture":[],"TitleCN":null,"AbstractTextCN":null,"PMCID":null,"EPubDate":"","PubModel":"","JCR":"Q2","JCRName":"CRITICAL CARE MEDICINE","Score":null,"Total":0}
引用次数: 0

摘要

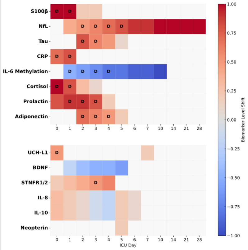
谵妄是危重症常见的严重并发症,但其病理生理机制尚不完全清楚。血清生物标志物为改进诊断、风险分层和机制洞察提供了潜在的途径。本系统综述综合了28项研究的证据,评估了54种与危重成人患者谵妄相关的血清生物标志物。生物标志物按机制途径分类,包括中枢神经系统(CNS)损伤、免疫激活、激素失调、神经传递、凝血和氨基酸代谢。在中枢神经系统损伤标志物中,S100β和神经丝轻链(NfL)与谵妄的存在和严重程度表现出最一致的相关性,支持星形细胞和轴突损伤在谵妄发病机制中的作用。炎症标志物如白细胞介素-6 (IL-6)、c反应蛋白(CRP)和肿瘤坏死因子-α (TNF-α)经常被研究,但显示出不同的相关性,反映了系统性炎症的复杂性和非特异性。激素生物标志物,包括皮质醇和催乳素,显示出初步的希望,而神经递质相关的生物标志物产生了不一致的结果,挑战了规范的假设。文献中的一个主要限制是在谵妄评估、采样时间线和混杂变量调整方面缺乏标准化。只有少数研究纳入了时间分析或纵向结果,并且跨队列的复制是有限的。ICU人群的异质性进一步降低了普遍性。这篇综述提出了一个新的机械内分型概念框架,将多模态生物标志物分析与临床表型相结合,以定义谵妄的生物学不同亚型。这种方法可以通过将治疗干预与潜在的病理生理学相结合来支持精准医学策略。未来的生物标志物研究应优先考虑纵向采样、协调方案以及与脑电图、成像和认知结果的整合。尽管有早期的希望,但ICU谵妄的血清生物标志物仍处于研究阶段,在临床应用前需要进一步验证。
本文章由计算机程序翻译,如有差异,请以英文原文为准。

Serum biomarkers of delirium in critical illness: a systematic review of mechanistic and diagnostic evidence.

Serum biomarkers of delirium in critical illness: a systematic review of mechanistic and diagnostic evidence.

Serum biomarkers of delirium in critical illness: a systematic review of mechanistic and diagnostic evidence.

Serum biomarkers of delirium in critical illness: a systematic review of mechanistic and diagnostic evidence.

Delirium is a frequent and serious complication of critical illness, yet its pathophysiological mechanisms remain incompletely understood. Serum biomarkers offer a potential avenue for improved diagnosis, risk stratification, and mechanistic insight. This systematic review synthesises evidence from 28 studies evaluating 54 serum biomarkers in relation to delirium among critically ill adult patients. Biomarkers were categorised by mechanistic pathway, including central nervous system (CNS) injury, immune activation, hormonal dysregulation, neurotransmission, coagulation, and amino acid metabolism. Among CNS injury markers, S100β and neurofilament light chain (NfL) demonstrated the most consistent associations with delirium presence and severity, supporting a role for astrocytic and axonal injury in delirium pathogenesis. Inflammatory markers such as interleukin-6 (IL-6), C-reactive protein (CRP), and tumour necrosis factor-alpha (TNF-α) were frequently studied but showed variable associations, reflecting the complex and non-specific nature of systemic inflammation. Hormonal biomarkers, including cortisol and prolactin, showed preliminary promise, while neurotransmitter-related biomarkers yielded inconsistent results, challenging canonical hypotheses. A major limitation in the literature was the lack of standardisation in delirium assessment, sampling timelines, and adjustment for confounding variables. Only a minority of studies incorporated temporal profiling or longitudinal outcomes, and replication across cohorts was limited. Heterogeneity in ICU populations further reduced generalisability. This review proposes a new conceptual framework of mechanistic endotyping, integrating multimodal biomarker profiling with clinical phenotyping to define biologically distinct subtypes of delirium. Such an approach may support precision medicine strategies by aligning therapeutic interventions with underlying pathophysiology. Future biomarker research should prioritise longitudinal sampling, harmonised protocols, and integration with EEG, imaging, and cognitive outcomes. Despite early promise, serum biomarkers for ICU delirium remain investigational and require further validation before clinical application.

求助全文
通过发布文献求助,成功后即可免费获取论文全文。 去求助
来源期刊
Intensive Care Medicine Experimental
Intensive Care Medicine Experimental CRITICAL CARE MEDICINE-
CiteScore
5.10
自引率
2.90%
发文量
48
审稿时长
13 weeks
×
引用
GB/T 7714-2015
复制
MLA
复制
APA
复制
导出至
BibTeX EndNote RefMan NoteFirst NoteExpress
×
提示
您的信息不完整,为了账户安全,请先补充。
现在去补充
×
提示
您因"违规操作"
具体请查看互助需知
我知道了
×
提示
确定
请完成安全验证×
copy
已复制链接
快去分享给好友吧!
我知道了
右上角分享
点击右上角分享
0
联系我们:info@booksci.cn Book学术提供免费学术资源搜索服务,方便国内外学者检索中英文文献。致力于提供最便捷和优质的服务体验。 Copyright © 2023 布克学术 All rights reserved.
京ICP备2023020795号-1
ghs 京公网安备 11010802042870号
Book学术文献互助
Book学术文献互助群
群 号:604180095
Book学术官方微信