新冠肺炎疫情期间及后华东地区儿童百日咳流行趋势及特点

IF 2.9 3区 医学 Q2 INFECTIOUS DISEASES
Infection and Drug Resistance Pub Date : 2025-08-26 eCollection Date: 2025-01-01 DOI:10.2147/IDR.S527009
Linli Wang, Meiying Gao, Ying Chen, Qing Gu, Lejing Guan, Lidan Sun, Antonita Shereen George, Abdul Rafay, Yang Yang, Guannan Bai
{"title":"新冠肺炎疫情期间及后华东地区儿童百日咳流行趋势及特点","authors":"Linli Wang, Meiying Gao, Ying Chen, Qing Gu, Lejing Guan, Lidan Sun, Antonita Shereen George, Abdul Rafay, Yang Yang, Guannan Bai","doi":"10.2147/IDR.S527009","DOIUrl":null,"url":null,"abstract":"<p><strong>Background: </strong>Pertussis is a highly contagious respiratory disease caused by Bordetella pertussis, posing a significant health threat to children. Despite vaccination efforts, a resurgence of pertussis has been observed globally, especially during and after the COVID-19 pandemic. This study aims to investigate the epidemiological trends and characteristics of pertussis among pediatric patients during and after the COVID-19 pandemic in East China.</p><p><strong>Methods: </strong>We included 92,300 patients aged 0-18 years with suspected symptoms of pertussis infection from January 1, 2022, to November 30, 2024, in a tertiary children's hospital in China. Clinical information (eg, detection date, date of birth, gender, type of patients) and pertussis test results were extracted from the laboratory information system. We used two independent sample <i>t</i>-tests and Chi-square tests to compare differences in the above-mentioned variables between the two pandemic phases. Positive detection rates were calculated across age groups, gender, patient types, seasons, and pandemic phases, while nonlinear associations between age and detection rates were assessed using restricted cubic spline regression models.</p><p><strong>Results: </strong>Twenty-two thousand six hundred and forty-two (24.5%) cases were detected as positive cases. Cases surged from November 2023, peaking in April 2024 (n=5363). The highest positive detection rate of pertussis infection was observed in children aged over 6 years (36.2%), particularly among outpatients (37.6%), while the lowest rate was in those aged 18 months to 3 years (12.8%); significant differences were also noted by gender, patient type, season, and COVID-19 pandemic phases (<i>p</i> < 0.05). Nonlinear regression analysis shows a higher risk and wider susceptible age range after the COVID-19 pandemic than those during the pandemic (<i>p</i> <sub>non-linear</sub> < 0.001).</p><p><strong>Conclusion: </strong>This study highlights the resurgence of pertussis among children in Eastern China during and after the COVID-19 pandemic, emphasizing significant epidemiological shifts and expanded age susceptibility, underscoring the urgent need for enhanced vaccination strategies and public health interventions.</p>","PeriodicalId":13577,"journal":{"name":"Infection and Drug Resistance","volume":"18 ","pages":"4351-4361"},"PeriodicalIF":2.9000,"publicationDate":"2025-08-26","publicationTypes":"Journal Article","fieldsOfStudy":null,"isOpenAccess":false,"openAccessPdf":"https://www.ncbi.nlm.nih.gov/pmc/articles/PMC12398290/pdf/","citationCount":"0","resultStr":"{\"title\":\"Trends and Characteristics of Pertussis Epidemic in Pediatric Patients During and After the COVID-19 Pandemic in East China.\",\"authors\":\"Linli Wang, Meiying Gao, Ying Chen, Qing Gu, Lejing Guan, Lidan Sun, Antonita Shereen George, Abdul Rafay, Yang Yang, Guannan Bai\",\"doi\":\"10.2147/IDR.S527009\",\"DOIUrl\":null,\"url\":null,\"abstract\":\"<p><strong>Background: </strong>Pertussis is a highly contagious respiratory disease caused by Bordetella pertussis, posing a significant health threat to children. Despite vaccination efforts, a resurgence of pertussis has been observed globally, especially during and after the COVID-19 pandemic. This study aims to investigate the epidemiological trends and characteristics of pertussis among pediatric patients during and after the COVID-19 pandemic in East China.</p><p><strong>Methods: </strong>We included 92,300 patients aged 0-18 years with suspected symptoms of pertussis infection from January 1, 2022, to November 30, 2024, in a tertiary children's hospital in China. Clinical information (eg, detection date, date of birth, gender, type of patients) and pertussis test results were extracted from the laboratory information system. We used two independent sample <i>t</i>-tests and Chi-square tests to compare differences in the above-mentioned variables between the two pandemic phases. Positive detection rates were calculated across age groups, gender, patient types, seasons, and pandemic phases, while nonlinear associations between age and detection rates were assessed using restricted cubic spline regression models.</p><p><strong>Results: </strong>Twenty-two thousand six hundred and forty-two (24.5%) cases were detected as positive cases. Cases surged from November 2023, peaking in April 2024 (n=5363). The highest positive detection rate of pertussis infection was observed in children aged over 6 years (36.2%), particularly among outpatients (37.6%), while the lowest rate was in those aged 18 months to 3 years (12.8%); significant differences were also noted by gender, patient type, season, and COVID-19 pandemic phases (<i>p</i> < 0.05). Nonlinear regression analysis shows a higher risk and wider susceptible age range after the COVID-19 pandemic than those during the pandemic (<i>p</i> <sub>non-linear</sub> < 0.001).</p><p><strong>Conclusion: </strong>This study highlights the resurgence of pertussis among children in Eastern China during and after the COVID-19 pandemic, emphasizing significant epidemiological shifts and expanded age susceptibility, underscoring the urgent need for enhanced vaccination strategies and public health interventions.</p>\",\"PeriodicalId\":13577,\"journal\":{\"name\":\"Infection and Drug Resistance\",\"volume\":\"18 \",\"pages\":\"4351-4361\"},\"PeriodicalIF\":2.9000,\"publicationDate\":\"2025-08-26\",\"publicationTypes\":\"Journal Article\",\"fieldsOfStudy\":null,\"isOpenAccess\":false,\"openAccessPdf\":\"https://www.ncbi.nlm.nih.gov/pmc/articles/PMC12398290/pdf/\",\"citationCount\":\"0\",\"resultStr\":null,\"platform\":\"Semanticscholar\",\"paperid\":null,\"PeriodicalName\":\"Infection and Drug Resistance\",\"FirstCategoryId\":\"3\",\"ListUrlMain\":\"https://doi.org/10.2147/IDR.S527009\",\"RegionNum\":3,\"RegionCategory\":\"医学\",\"ArticlePicture\":[],\"TitleCN\":null,\"AbstractTextCN\":null,\"PMCID\":null,\"EPubDate\":\"2025/1/1 0:00:00\",\"PubModel\":\"eCollection\",\"JCR\":\"Q2\",\"JCRName\":\"INFECTIOUS DISEASES\",\"Score\":null,\"Total\":0}","platform":"Semanticscholar","paperid":null,"PeriodicalName":"Infection and Drug Resistance","FirstCategoryId":"3","ListUrlMain":"https://doi.org/10.2147/IDR.S527009","RegionNum":3,"RegionCategory":"医学","ArticlePicture":[],"TitleCN":null,"AbstractTextCN":null,"PMCID":null,"EPubDate":"2025/1/1 0:00:00","PubModel":"eCollection","JCR":"Q2","JCRName":"INFECTIOUS DISEASES","Score":null,"Total":0}
引用次数: 0

摘要

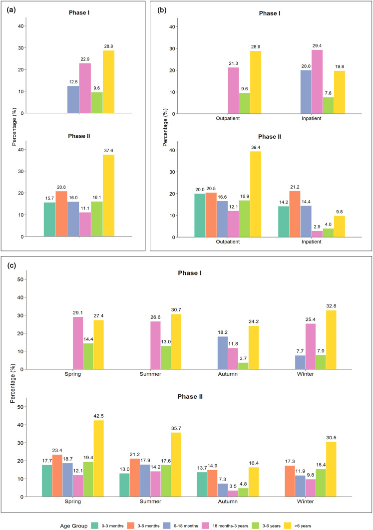
背景:百日咳是一种由百日咳博德泰拉引起的高度传染性呼吸道疾病,对儿童健康构成重大威胁。尽管努力接种疫苗,但在全球范围内,特别是在COVID-19大流行期间和之后,百日咳死灰复燃。本研究旨在了解新冠肺炎疫情期间及疫情后华东地区儿童百日咳的流行趋势及特点。方法:从2022年1月1日至2024年11月30日,我们在中国某三级儿童医院收集了92,300例0-18岁的疑似百日咳感染患者。从实验室信息系统中提取临床信息(如检测日期、出生日期、性别、患者类型)和百日咳检查结果。我们使用两个独立样本t检验和卡方检验来比较上述变量在两个大流行阶段之间的差异。阳性检出率按年龄组、性别、患者类型、季节和流行阶段进行计算,同时使用受限三次样条回归模型评估年龄与检出率之间的非线性关联。结果:检出阳性病例22642例,占24.5%。病例从2023年11月开始激增,2024年4月达到高峰(5363例)。6岁以上儿童百日咳感染检出率最高(36.2%),其中门诊患者检出率最高(37.6%),18个月~ 3岁最低(12.8%);性别、患者类型、季节和COVID-19大流行阶段也存在显著差异(p < 0.05)。非线性回归分析显示,与大流行期间相比,新冠肺炎大流行后的风险更高,易感年龄范围更广(p非线性< 0.001)。结论:本研究突出了2019冠状病毒病大流行期间和之后中国东部儿童百日咳的复苏,强调了显著的流行病学变化和年龄易感性的扩大,强调了加强疫苗接种策略和公共卫生干预的迫切需要。
本文章由计算机程序翻译,如有差异,请以英文原文为准。

Trends and Characteristics of Pertussis Epidemic in Pediatric Patients During and After the COVID-19 Pandemic in East China.

Trends and Characteristics of Pertussis Epidemic in Pediatric Patients During and After the COVID-19 Pandemic in East China.

Trends and Characteristics of Pertussis Epidemic in Pediatric Patients During and After the COVID-19 Pandemic in East China.

Trends and Characteristics of Pertussis Epidemic in Pediatric Patients During and After the COVID-19 Pandemic in East China.

Background: Pertussis is a highly contagious respiratory disease caused by Bordetella pertussis, posing a significant health threat to children. Despite vaccination efforts, a resurgence of pertussis has been observed globally, especially during and after the COVID-19 pandemic. This study aims to investigate the epidemiological trends and characteristics of pertussis among pediatric patients during and after the COVID-19 pandemic in East China.

Methods: We included 92,300 patients aged 0-18 years with suspected symptoms of pertussis infection from January 1, 2022, to November 30, 2024, in a tertiary children's hospital in China. Clinical information (eg, detection date, date of birth, gender, type of patients) and pertussis test results were extracted from the laboratory information system. We used two independent sample t-tests and Chi-square tests to compare differences in the above-mentioned variables between the two pandemic phases. Positive detection rates were calculated across age groups, gender, patient types, seasons, and pandemic phases, while nonlinear associations between age and detection rates were assessed using restricted cubic spline regression models.

Results: Twenty-two thousand six hundred and forty-two (24.5%) cases were detected as positive cases. Cases surged from November 2023, peaking in April 2024 (n=5363). The highest positive detection rate of pertussis infection was observed in children aged over 6 years (36.2%), particularly among outpatients (37.6%), while the lowest rate was in those aged 18 months to 3 years (12.8%); significant differences were also noted by gender, patient type, season, and COVID-19 pandemic phases (p < 0.05). Nonlinear regression analysis shows a higher risk and wider susceptible age range after the COVID-19 pandemic than those during the pandemic (p non-linear < 0.001).

Conclusion: This study highlights the resurgence of pertussis among children in Eastern China during and after the COVID-19 pandemic, emphasizing significant epidemiological shifts and expanded age susceptibility, underscoring the urgent need for enhanced vaccination strategies and public health interventions.

求助全文
通过发布文献求助,成功后即可免费获取论文全文。 去求助
来源期刊
Infection and Drug Resistance
Infection and Drug Resistance Medicine-Pharmacology (medical)
CiteScore
5.60
自引率
7.70%
发文量
826
审稿时长
16 weeks
期刊介绍: About Journal Editors Peer Reviewers Articles Article Publishing Charges Aims and Scope Call For Papers ISSN: 1178-6973 Editor-in-Chief: Professor Suresh Antony An international, peer-reviewed, open access journal that focuses on the optimal treatment of infection (bacterial, fungal and viral) and the development and institution of preventative strategies to minimize the development and spread of resistance.
×
引用
GB/T 7714-2015
复制
MLA
复制
APA
复制
导出至
BibTeX EndNote RefMan NoteFirst NoteExpress
×
提示
您的信息不完整,为了账户安全,请先补充。
现在去补充
×
提示
您因"违规操作"
具体请查看互助需知
我知道了
×
提示
确定
请完成安全验证×
copy
已复制链接
快去分享给好友吧!
我知道了
右上角分享
点击右上角分享
0
联系我们:info@booksci.cn Book学术提供免费学术资源搜索服务,方便国内外学者检索中英文文献。致力于提供最便捷和优质的服务体验。 Copyright © 2023 布克学术 All rights reserved.
京ICP备2023020795号-1
ghs 京公网安备 11010802042870号
Book学术文献互助
Book学术文献互助群
群 号:604180095
Book学术官方微信