Fallskip®参数及其与糖尿病和非糖尿病老年人跌倒风险的关系

IF 2.1 Q3 GERIATRICS & GERONTOLOGY
Azahar Castillo-Montesinos, Lorenzo Brognara, Alejandra Mafla-España, Omar Cauli
{"title":"Fallskip®参数及其与糖尿病和非糖尿病老年人跌倒风险的关系","authors":"Azahar Castillo-Montesinos, Lorenzo Brognara, Alejandra Mafla-España, Omar Cauli","doi":"10.3390/geriatrics10040109","DOIUrl":null,"url":null,"abstract":"<p><strong>Background/objectives: </strong>the assessment and prevention of fall risk is an essential component of healthcare, particularly for vulnerable populations such as older adults with or without diabetes. The use of objective and validated tools to assess balance, gait, and other risk factors enables healthcare professionals to make informed clinical decisions and design personalized prevention programs. An observational cross-sectional study was conducted with a probabilistic sample of older patients, with and without diabetes, attending a podiatric clinic (Valencia, Spain).</p><p><strong>Methods: </strong>fall risk was assessed using the Tinetti Scale and the FallSkip<sup>®</sup> device, which measures posture (i.e., medial-lateral and anterior-posterior displacements), gait (vertical and medial-lateral ranges), turn-to-sit (time) and sit-to-stand (power) tests, total time and gait reaction time.</p><p><strong>Results: </strong>the results showed a significant association between the values obtained with FallSkip<sup>®</sup> and the Tinetti Scale (<i>p</i> < 0.001), identifying the older individuals at high risk of falls. The \"reaction time\" parameter measured by FallSkip<sup>®</sup> showed a significant difference between diabetic and non-diabetic patients (<i>p</i> < 0.05), as well as the balance score assessed by the Tinetti Scale (<i>p</i> < 0.05). Having experienced falls in the previous year had a strong (<i>p</i> < 0.001) significant influence on the results evaluated using both the Tinetti Scale and FallSkip<sup>®</sup>. Among the FallSkip<sup>®</sup> parameters in the multivariate analysis, the 'Total Time (%)' parameter significantly (<i>p</i> < 0.01, Exp(B) = 0.974 (CI 95%: 0.961-0.988) discriminates individuals with or without falls in the previous year.</p><p><strong>Conclusions: </strong>this study supports the usefulness of the FallSkip<sup>®</sup> device as an objective, efficient, and easy-to-use tool for fall risk assessment in primary care settings.</p>","PeriodicalId":12653,"journal":{"name":"Geriatrics","volume":"10 4","pages":""},"PeriodicalIF":2.1000,"publicationDate":"2025-08-08","publicationTypes":"Journal Article","fieldsOfStudy":null,"isOpenAccess":false,"openAccessPdf":"https://www.ncbi.nlm.nih.gov/pmc/articles/PMC12385935/pdf/","citationCount":"0","resultStr":"{\"title\":\"Fallskip<sup>®</sup> Parameters and Their Relationship with the Risk of Falls in Older Individuals with and Without Diabetes.\",\"authors\":\"Azahar Castillo-Montesinos, Lorenzo Brognara, Alejandra Mafla-España, Omar Cauli\",\"doi\":\"10.3390/geriatrics10040109\",\"DOIUrl\":null,\"url\":null,\"abstract\":\"<p><strong>Background/objectives: </strong>the assessment and prevention of fall risk is an essential component of healthcare, particularly for vulnerable populations such as older adults with or without diabetes. The use of objective and validated tools to assess balance, gait, and other risk factors enables healthcare professionals to make informed clinical decisions and design personalized prevention programs. An observational cross-sectional study was conducted with a probabilistic sample of older patients, with and without diabetes, attending a podiatric clinic (Valencia, Spain).</p><p><strong>Methods: </strong>fall risk was assessed using the Tinetti Scale and the FallSkip<sup>®</sup> device, which measures posture (i.e., medial-lateral and anterior-posterior displacements), gait (vertical and medial-lateral ranges), turn-to-sit (time) and sit-to-stand (power) tests, total time and gait reaction time.</p><p><strong>Results: </strong>the results showed a significant association between the values obtained with FallSkip<sup>®</sup> and the Tinetti Scale (<i>p</i> < 0.001), identifying the older individuals at high risk of falls. The \\\"reaction time\\\" parameter measured by FallSkip<sup>®</sup> showed a significant difference between diabetic and non-diabetic patients (<i>p</i> < 0.05), as well as the balance score assessed by the Tinetti Scale (<i>p</i> < 0.05). Having experienced falls in the previous year had a strong (<i>p</i> < 0.001) significant influence on the results evaluated using both the Tinetti Scale and FallSkip<sup>®</sup>. Among the FallSkip<sup>®</sup> parameters in the multivariate analysis, the 'Total Time (%)' parameter significantly (<i>p</i> < 0.01, Exp(B) = 0.974 (CI 95%: 0.961-0.988) discriminates individuals with or without falls in the previous year.</p><p><strong>Conclusions: </strong>this study supports the usefulness of the FallSkip<sup>®</sup> device as an objective, efficient, and easy-to-use tool for fall risk assessment in primary care settings.</p>\",\"PeriodicalId\":12653,\"journal\":{\"name\":\"Geriatrics\",\"volume\":\"10 4\",\"pages\":\"\"},\"PeriodicalIF\":2.1000,\"publicationDate\":\"2025-08-08\",\"publicationTypes\":\"Journal Article\",\"fieldsOfStudy\":null,\"isOpenAccess\":false,\"openAccessPdf\":\"https://www.ncbi.nlm.nih.gov/pmc/articles/PMC12385935/pdf/\",\"citationCount\":\"0\",\"resultStr\":null,\"platform\":\"Semanticscholar\",\"paperid\":null,\"PeriodicalName\":\"Geriatrics\",\"FirstCategoryId\":\"1085\",\"ListUrlMain\":\"https://doi.org/10.3390/geriatrics10040109\",\"RegionNum\":0,\"RegionCategory\":null,\"ArticlePicture\":[],\"TitleCN\":null,\"AbstractTextCN\":null,\"PMCID\":null,\"EPubDate\":\"\",\"PubModel\":\"\",\"JCR\":\"Q3\",\"JCRName\":\"GERIATRICS & GERONTOLOGY\",\"Score\":null,\"Total\":0}","platform":"Semanticscholar","paperid":null,"PeriodicalName":"Geriatrics","FirstCategoryId":"1085","ListUrlMain":"https://doi.org/10.3390/geriatrics10040109","RegionNum":0,"RegionCategory":null,"ArticlePicture":[],"TitleCN":null,"AbstractTextCN":null,"PMCID":null,"EPubDate":"","PubModel":"","JCR":"Q3","JCRName":"GERIATRICS & GERONTOLOGY","Score":null,"Total":0}
引用次数: 0

摘要

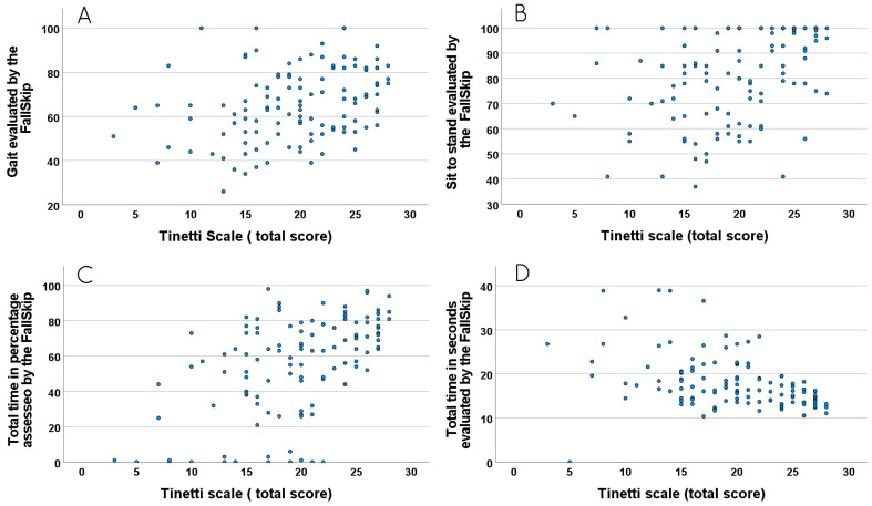
背景/目的:评估和预防跌倒风险是医疗保健的重要组成部分,特别是对有或无糖尿病的老年人等弱势群体。使用客观和有效的工具来评估平衡、步态和其他风险因素,使医疗保健专业人员能够做出明智的临床决策并设计个性化的预防方案。一项观察性横断面研究对在西班牙瓦伦西亚一家足科诊所就诊的老年患者(有或没有糖尿病)进行了概率抽样。方法:使用Tinetti量表和FallSkip®装置评估跌倒风险,该装置测量姿势(即内侧外侧和前后移位)、步态(垂直和内侧外侧范围)、转坐(时间)和坐立(力量)测试、总时间和步态反应时间。结果:结果显示FallSkip®获得的值与Tinetti量表之间存在显著关联(p < 0.001),识别出跌倒高风险的老年人。FallSkip®测量的“反应时间”参数在糖尿病和非糖尿病患者之间有显著差异(p < 0.05), Tinetti量表评估的平衡评分也有显著差异(p < 0.05)。在前一年经历过跌倒对使用Tinetti量表和FallSkip®评估的结果有很强的(p < 0.001)显著影响。在多变量分析的FallSkip®参数中,“Total Time(%)”参数显著(p < 0.01, Exp(B) = 0.974 (CI 95%: 0.961-0.988)区分了上一年是否跌倒的个体。结论:本研究支持FallSkip®设备作为初级保健机构跌倒风险评估的客观、有效和易于使用的工具的有效性。
本文章由计算机程序翻译,如有差异,请以英文原文为准。

Fallskip<sup>®</sup> Parameters and Their Relationship with the Risk of Falls in Older Individuals with and Without Diabetes.

Fallskip<sup>®</sup> Parameters and Their Relationship with the Risk of Falls in Older Individuals with and Without Diabetes.

Fallskip<sup>®</sup> Parameters and Their Relationship with the Risk of Falls in Older Individuals with and Without Diabetes.

Fallskip® Parameters and Their Relationship with the Risk of Falls in Older Individuals with and Without Diabetes.

Background/objectives: the assessment and prevention of fall risk is an essential component of healthcare, particularly for vulnerable populations such as older adults with or without diabetes. The use of objective and validated tools to assess balance, gait, and other risk factors enables healthcare professionals to make informed clinical decisions and design personalized prevention programs. An observational cross-sectional study was conducted with a probabilistic sample of older patients, with and without diabetes, attending a podiatric clinic (Valencia, Spain).

Methods: fall risk was assessed using the Tinetti Scale and the FallSkip® device, which measures posture (i.e., medial-lateral and anterior-posterior displacements), gait (vertical and medial-lateral ranges), turn-to-sit (time) and sit-to-stand (power) tests, total time and gait reaction time.

Results: the results showed a significant association between the values obtained with FallSkip® and the Tinetti Scale (p < 0.001), identifying the older individuals at high risk of falls. The "reaction time" parameter measured by FallSkip® showed a significant difference between diabetic and non-diabetic patients (p < 0.05), as well as the balance score assessed by the Tinetti Scale (p < 0.05). Having experienced falls in the previous year had a strong (p < 0.001) significant influence on the results evaluated using both the Tinetti Scale and FallSkip®. Among the FallSkip® parameters in the multivariate analysis, the 'Total Time (%)' parameter significantly (p < 0.01, Exp(B) = 0.974 (CI 95%: 0.961-0.988) discriminates individuals with or without falls in the previous year.

Conclusions: this study supports the usefulness of the FallSkip® device as an objective, efficient, and easy-to-use tool for fall risk assessment in primary care settings.

求助全文
通过发布文献求助,成功后即可免费获取论文全文。 去求助
来源期刊
Geriatrics
Geriatrics 医学-老年医学
CiteScore
3.30
自引率
0.00%
发文量
115
审稿时长
20.03 days
期刊介绍: • Geriatric biology • Geriatric health services research • Geriatric medicine research • Geriatric neurology, stroke, cognition and oncology • Geriatric surgery • Geriatric physical functioning, physical health and activity • Geriatric psychiatry and psychology • Geriatric nutrition • Geriatric epidemiology • Geriatric rehabilitation
×
引用
GB/T 7714-2015
复制
MLA
复制
APA
复制
导出至
BibTeX EndNote RefMan NoteFirst NoteExpress
×
提示
您的信息不完整,为了账户安全,请先补充。
现在去补充
×
提示
您因"违规操作"
具体请查看互助需知
我知道了
×
提示
确定
请完成安全验证×
copy
已复制链接
快去分享给好友吧!
我知道了
右上角分享
点击右上角分享
0
联系我们:info@booksci.cn Book学术提供免费学术资源搜索服务,方便国内外学者检索中英文文献。致力于提供最便捷和优质的服务体验。 Copyright © 2023 布克学术 All rights reserved.
京ICP备2023020795号-1
ghs 京公网安备 11010802042870号
Book学术文献互助
Book学术文献互助群
群 号:604180095
Book学术官方微信