饮食疗法和益生菌改善代谢综合征老年人睡眠呼吸暂停风险和生活质量:一项来自罗马尼亚的研究

IF 2.1 Q3 GERIATRICS & GERONTOLOGY
Amina Venter, Amin-Florin El-Kharoubi, Mousa El-Kharoubi, Evelin Claudia Ghitea, Marc Cristian Ghitea, Timea Claudia Ghitea, Ciprian Florian Venter
{"title":"饮食疗法和益生菌改善代谢综合征老年人睡眠呼吸暂停风险和生活质量:一项来自罗马尼亚的研究","authors":"Amina Venter, Amin-Florin El-Kharoubi, Mousa El-Kharoubi, Evelin Claudia Ghitea, Marc Cristian Ghitea, Timea Claudia Ghitea, Ciprian Florian Venter","doi":"10.3390/geriatrics10040100","DOIUrl":null,"url":null,"abstract":"<p><p><b>Background:</b> Metabolic syndrome (MetS) and obstructive sleep apnea (OSA) are prevalent and interrelated conditions in older adults, both contributing to decreased quality of life and increased health risks. Nutritional interventions, including dietary changes and probiotic supplementation, may offer effective non-pharmacological strategies to address these conditions. This study aimed to evaluate the impact of diet therapy alone and in combination with probiotics on quality of life and sleep apnea risk in older adults (>60 years) with MetS. <b>Methods:</b> In this controlled interventional study, 192 older adults with metabolic syndrome were assigned to one of three groups: control, diet therapy alone, or diet therapy plus probiotic supplementation. Participants were evaluated at baseline and after the intervention period using the SF-36 quality of life questionnaire and an apnea risk screening tool. Clinical and metabolic parameters, including BMI, HOMA index, and visceral fat, were also assessed. <b>Results:</b> Significant improvements in SF-36 scores were observed in both intervention groups compared to the control group (<i>p</i> < 0.05) (mean difference = -5.31, <i>p</i> = 0.016), with the diet + probiotics group showing the greatest enhancement. Participants who reduced their apnea risk also reported higher post-intervention SF-36 scores. The intervention led to reductions in visceral fat, inflammatory markers (CRP), and insulin resistance (HOMA index), which were correlated with improved quality of life. <b>Conclusions:</b> Integrated nutritional strategies, especially the combination of diet and probiotics, significantly improve quality of life and reduce apnea risk in older adults with metabolic syndrome. These findings support the use of personalized, non-pharmacological interventions targeting both metabolic health and sleep-related outcomes in geriatric populations.</p>","PeriodicalId":12653,"journal":{"name":"Geriatrics","volume":"10 4","pages":""},"PeriodicalIF":2.1000,"publicationDate":"2025-07-25","publicationTypes":"Journal Article","fieldsOfStudy":null,"isOpenAccess":false,"openAccessPdf":"https://www.ncbi.nlm.nih.gov/pmc/articles/PMC12385722/pdf/","citationCount":"0","resultStr":"{\"title\":\"Diet Therapy and Probiotics to Improve Sleep Apnea Risk and Quality of Life in Older Adults (>60 Years) with Metabolic Syndrome: A Study from Romania.\",\"authors\":\"Amina Venter, Amin-Florin El-Kharoubi, Mousa El-Kharoubi, Evelin Claudia Ghitea, Marc Cristian Ghitea, Timea Claudia Ghitea, Ciprian Florian Venter\",\"doi\":\"10.3390/geriatrics10040100\",\"DOIUrl\":null,\"url\":null,\"abstract\":\"<p><p><b>Background:</b> Metabolic syndrome (MetS) and obstructive sleep apnea (OSA) are prevalent and interrelated conditions in older adults, both contributing to decreased quality of life and increased health risks. Nutritional interventions, including dietary changes and probiotic supplementation, may offer effective non-pharmacological strategies to address these conditions. This study aimed to evaluate the impact of diet therapy alone and in combination with probiotics on quality of life and sleep apnea risk in older adults (>60 years) with MetS. <b>Methods:</b> In this controlled interventional study, 192 older adults with metabolic syndrome were assigned to one of three groups: control, diet therapy alone, or diet therapy plus probiotic supplementation. Participants were evaluated at baseline and after the intervention period using the SF-36 quality of life questionnaire and an apnea risk screening tool. Clinical and metabolic parameters, including BMI, HOMA index, and visceral fat, were also assessed. <b>Results:</b> Significant improvements in SF-36 scores were observed in both intervention groups compared to the control group (<i>p</i> < 0.05) (mean difference = -5.31, <i>p</i> = 0.016), with the diet + probiotics group showing the greatest enhancement. Participants who reduced their apnea risk also reported higher post-intervention SF-36 scores. The intervention led to reductions in visceral fat, inflammatory markers (CRP), and insulin resistance (HOMA index), which were correlated with improved quality of life. <b>Conclusions:</b> Integrated nutritional strategies, especially the combination of diet and probiotics, significantly improve quality of life and reduce apnea risk in older adults with metabolic syndrome. These findings support the use of personalized, non-pharmacological interventions targeting both metabolic health and sleep-related outcomes in geriatric populations.</p>\",\"PeriodicalId\":12653,\"journal\":{\"name\":\"Geriatrics\",\"volume\":\"10 4\",\"pages\":\"\"},\"PeriodicalIF\":2.1000,\"publicationDate\":\"2025-07-25\",\"publicationTypes\":\"Journal Article\",\"fieldsOfStudy\":null,\"isOpenAccess\":false,\"openAccessPdf\":\"https://www.ncbi.nlm.nih.gov/pmc/articles/PMC12385722/pdf/\",\"citationCount\":\"0\",\"resultStr\":null,\"platform\":\"Semanticscholar\",\"paperid\":null,\"PeriodicalName\":\"Geriatrics\",\"FirstCategoryId\":\"1085\",\"ListUrlMain\":\"https://doi.org/10.3390/geriatrics10040100\",\"RegionNum\":0,\"RegionCategory\":null,\"ArticlePicture\":[],\"TitleCN\":null,\"AbstractTextCN\":null,\"PMCID\":null,\"EPubDate\":\"\",\"PubModel\":\"\",\"JCR\":\"Q3\",\"JCRName\":\"GERIATRICS & GERONTOLOGY\",\"Score\":null,\"Total\":0}","platform":"Semanticscholar","paperid":null,"PeriodicalName":"Geriatrics","FirstCategoryId":"1085","ListUrlMain":"https://doi.org/10.3390/geriatrics10040100","RegionNum":0,"RegionCategory":null,"ArticlePicture":[],"TitleCN":null,"AbstractTextCN":null,"PMCID":null,"EPubDate":"","PubModel":"","JCR":"Q3","JCRName":"GERIATRICS & GERONTOLOGY","Score":null,"Total":0}
引用次数: 0

摘要

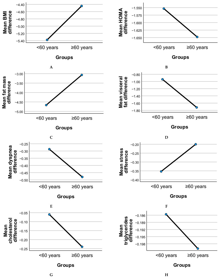
背景:代谢综合征(MetS)和阻塞性睡眠呼吸暂停(OSA)是老年人中普遍存在且相互关联的疾病,两者都导致生活质量下降和健康风险增加。营养干预,包括饮食改变和益生菌补充,可能提供有效的非药物策略来解决这些问题。本研究旨在评估饮食治疗单独和联合益生菌对老年(60岁至60岁)MetS患者的生活质量和睡眠呼吸暂停风险的影响。方法:在这项对照干入性研究中,192名患有代谢综合征的老年人被分为三组:对照组、单独饮食治疗组或饮食治疗加益生菌补充组。在基线和干预期后,使用SF-36生活质量问卷和呼吸暂停风险筛查工具对参与者进行评估。还评估了临床和代谢参数,包括BMI、HOMA指数和内脏脂肪。结果:两组患者SF-36评分均较对照组有显著改善(p < 0.05)(平均差异= -5.31,p = 0.016),其中饮食+益生菌组改善效果最大。降低呼吸暂停风险的参与者也报告了更高的干预后SF-36评分。干预导致内脏脂肪、炎症标志物(CRP)和胰岛素抵抗(HOMA指数)的减少,这些与生活质量的改善相关。结论:综合营养策略,特别是饮食与益生菌的结合,可显著改善老年代谢综合征患者的生活质量,降低呼吸暂停风险。这些发现支持在老年人群中使用针对代谢健康和睡眠相关结果的个性化非药物干预措施。
本文章由计算机程序翻译,如有差异,请以英文原文为准。

Diet Therapy and Probiotics to Improve Sleep Apnea Risk and Quality of Life in Older Adults (>60 Years) with Metabolic Syndrome: A Study from Romania.

Diet Therapy and Probiotics to Improve Sleep Apnea Risk and Quality of Life in Older Adults (>60 Years) with Metabolic Syndrome: A Study from Romania.

Diet Therapy and Probiotics to Improve Sleep Apnea Risk and Quality of Life in Older Adults (>60 Years) with Metabolic Syndrome: A Study from Romania.

Diet Therapy and Probiotics to Improve Sleep Apnea Risk and Quality of Life in Older Adults (>60 Years) with Metabolic Syndrome: A Study from Romania.

Background: Metabolic syndrome (MetS) and obstructive sleep apnea (OSA) are prevalent and interrelated conditions in older adults, both contributing to decreased quality of life and increased health risks. Nutritional interventions, including dietary changes and probiotic supplementation, may offer effective non-pharmacological strategies to address these conditions. This study aimed to evaluate the impact of diet therapy alone and in combination with probiotics on quality of life and sleep apnea risk in older adults (>60 years) with MetS. Methods: In this controlled interventional study, 192 older adults with metabolic syndrome were assigned to one of three groups: control, diet therapy alone, or diet therapy plus probiotic supplementation. Participants were evaluated at baseline and after the intervention period using the SF-36 quality of life questionnaire and an apnea risk screening tool. Clinical and metabolic parameters, including BMI, HOMA index, and visceral fat, were also assessed. Results: Significant improvements in SF-36 scores were observed in both intervention groups compared to the control group (p < 0.05) (mean difference = -5.31, p = 0.016), with the diet + probiotics group showing the greatest enhancement. Participants who reduced their apnea risk also reported higher post-intervention SF-36 scores. The intervention led to reductions in visceral fat, inflammatory markers (CRP), and insulin resistance (HOMA index), which were correlated with improved quality of life. Conclusions: Integrated nutritional strategies, especially the combination of diet and probiotics, significantly improve quality of life and reduce apnea risk in older adults with metabolic syndrome. These findings support the use of personalized, non-pharmacological interventions targeting both metabolic health and sleep-related outcomes in geriatric populations.

求助全文
通过发布文献求助,成功后即可免费获取论文全文。 去求助
来源期刊
Geriatrics
Geriatrics 医学-老年医学
CiteScore
3.30
自引率
0.00%
发文量
115
审稿时长
20.03 days
期刊介绍: • Geriatric biology • Geriatric health services research • Geriatric medicine research • Geriatric neurology, stroke, cognition and oncology • Geriatric surgery • Geriatric physical functioning, physical health and activity • Geriatric psychiatry and psychology • Geriatric nutrition • Geriatric epidemiology • Geriatric rehabilitation
×
引用
GB/T 7714-2015
复制
MLA
复制
APA
复制
导出至
BibTeX EndNote RefMan NoteFirst NoteExpress
×
提示
您的信息不完整,为了账户安全,请先补充。
现在去补充
×
提示
您因"违规操作"
具体请查看互助需知
我知道了
×
提示
确定
请完成安全验证×
copy
已复制链接
快去分享给好友吧!
我知道了
右上角分享
点击右上角分享
0
联系我们:info@booksci.cn Book学术提供免费学术资源搜索服务,方便国内外学者检索中英文文献。致力于提供最便捷和优质的服务体验。 Copyright © 2023 布克学术 All rights reserved.
京ICP备2023020795号-1
ghs 京公网安备 11010802042870号
Book学术文献互助
Book学术文献互助群
群 号:604180095
Book学术官方微信