术前血清炎症标志物在I/II期肝细胞癌切除术预后评估中的作用。

IF 3.9 3区 生物学 Q2 BIOCHEMISTRY & MOLECULAR BIOLOGY
Frontiers in Molecular Biosciences Pub Date : 2025-08-15 eCollection Date: 2025-01-01 DOI:10.3389/fmolb.2025.1640390
Fan Liu, Yuan Xiang, Hao Xu, Xiaoxue Xu
{"title":"术前血清炎症标志物在I/II期肝细胞癌切除术预后评估中的作用。","authors":"Fan Liu, Yuan Xiang, Hao Xu, Xiaoxue Xu","doi":"10.3389/fmolb.2025.1640390","DOIUrl":null,"url":null,"abstract":"<p><strong>Background: </strong>Hepatocellular carcinoma (HCC) remains a global health challenge, with early-stage resection offering the best chance for improved outcomes. However, limitations of the TNM staging system highlight the need for additional prognostic tools. This study evaluates the prognostic value of preoperative serum inflammatory markers in patients with stage I/II HCC undergoing surgical resection.</p><p><strong>Methods: </strong>A retrospective cohort study was conducted on 410 HCC patients (stage I/II) who underwent surgical resection at the Affiliated Hospital of North Sichuan Medical College between November 2011 and March 2020. Clinical and serological data, including neutrophil-to-lymphocyte ratio (NLR), platelet-to-lymphocyte ratio (PLR), and platelet-to-neutrophil ratio (PNR), were analyzed. Prognostic factors for overall survival (OS) were identified through univariate and multivariate Cox regression analyses. A nomogram was developed to predict 1-year, 3-year, and 5-year OS, with its performance assessed using ROC curves, calibration plots, and decision curve analysis (DCA). Kaplan-Meier survival curves were used to compare risk groups, and the model's predictive efficacy was evaluated against the AJCC 8th Edition TNM staging system.</p><p><strong>Results: </strong>Multivariate Cox regression identified NLR, PLR, ALBI score, AFP levels, and HBeAg status as independent prognostic factors for OS. The nomogram demonstrated superior discriminatory power (AUC: 0.78, 0.74, and 0.71 for 1-, 3-, and 5-year OS, respectively) compared to TNM staging. Kaplan-Meier analysis revealed significantly worse OS in the high-risk group (log-rank <i>p</i> < 0.001). The nomogram outperformed the AJCC TNM system in both discrimination and clinical utility, as validated by decision curve analysis and the Integrated Discrimination Improvement Index.</p><p><strong>Conclusion: </strong>Preoperative serum inflammatory markers, when integrated with traditional TNM staging, significantly improve prognostic accuracy for stage I/II HCC patients undergoing surgical resection. The developed nomogram provides a practical tool for individualized risk stratification and may guide postoperative management to improve patient outcomes.</p>","PeriodicalId":12465,"journal":{"name":"Frontiers in Molecular Biosciences","volume":"12 ","pages":"1640390"},"PeriodicalIF":3.9000,"publicationDate":"2025-08-15","publicationTypes":"Journal Article","fieldsOfStudy":null,"isOpenAccess":false,"openAccessPdf":"https://www.ncbi.nlm.nih.gov/pmc/articles/PMC12394059/pdf/","citationCount":"0","resultStr":"{\"title\":\"Preoperative serum inflammatory markers in the prognostic assessment of hepatocellular carcinoma resection in stages I/II.\",\"authors\":\"Fan Liu, Yuan Xiang, Hao Xu, Xiaoxue Xu\",\"doi\":\"10.3389/fmolb.2025.1640390\",\"DOIUrl\":null,\"url\":null,\"abstract\":\"<p><strong>Background: </strong>Hepatocellular carcinoma (HCC) remains a global health challenge, with early-stage resection offering the best chance for improved outcomes. However, limitations of the TNM staging system highlight the need for additional prognostic tools. This study evaluates the prognostic value of preoperative serum inflammatory markers in patients with stage I/II HCC undergoing surgical resection.</p><p><strong>Methods: </strong>A retrospective cohort study was conducted on 410 HCC patients (stage I/II) who underwent surgical resection at the Affiliated Hospital of North Sichuan Medical College between November 2011 and March 2020. Clinical and serological data, including neutrophil-to-lymphocyte ratio (NLR), platelet-to-lymphocyte ratio (PLR), and platelet-to-neutrophil ratio (PNR), were analyzed. Prognostic factors for overall survival (OS) were identified through univariate and multivariate Cox regression analyses. A nomogram was developed to predict 1-year, 3-year, and 5-year OS, with its performance assessed using ROC curves, calibration plots, and decision curve analysis (DCA). Kaplan-Meier survival curves were used to compare risk groups, and the model's predictive efficacy was evaluated against the AJCC 8th Edition TNM staging system.</p><p><strong>Results: </strong>Multivariate Cox regression identified NLR, PLR, ALBI score, AFP levels, and HBeAg status as independent prognostic factors for OS. The nomogram demonstrated superior discriminatory power (AUC: 0.78, 0.74, and 0.71 for 1-, 3-, and 5-year OS, respectively) compared to TNM staging. Kaplan-Meier analysis revealed significantly worse OS in the high-risk group (log-rank <i>p</i> < 0.001). The nomogram outperformed the AJCC TNM system in both discrimination and clinical utility, as validated by decision curve analysis and the Integrated Discrimination Improvement Index.</p><p><strong>Conclusion: </strong>Preoperative serum inflammatory markers, when integrated with traditional TNM staging, significantly improve prognostic accuracy for stage I/II HCC patients undergoing surgical resection. The developed nomogram provides a practical tool for individualized risk stratification and may guide postoperative management to improve patient outcomes.</p>\",\"PeriodicalId\":12465,\"journal\":{\"name\":\"Frontiers in Molecular Biosciences\",\"volume\":\"12 \",\"pages\":\"1640390\"},\"PeriodicalIF\":3.9000,\"publicationDate\":\"2025-08-15\",\"publicationTypes\":\"Journal Article\",\"fieldsOfStudy\":null,\"isOpenAccess\":false,\"openAccessPdf\":\"https://www.ncbi.nlm.nih.gov/pmc/articles/PMC12394059/pdf/\",\"citationCount\":\"0\",\"resultStr\":null,\"platform\":\"Semanticscholar\",\"paperid\":null,\"PeriodicalName\":\"Frontiers in Molecular Biosciences\",\"FirstCategoryId\":\"99\",\"ListUrlMain\":\"https://doi.org/10.3389/fmolb.2025.1640390\",\"RegionNum\":3,\"RegionCategory\":\"生物学\",\"ArticlePicture\":[],\"TitleCN\":null,\"AbstractTextCN\":null,\"PMCID\":null,\"EPubDate\":\"2025/1/1 0:00:00\",\"PubModel\":\"eCollection\",\"JCR\":\"Q2\",\"JCRName\":\"BIOCHEMISTRY & MOLECULAR BIOLOGY\",\"Score\":null,\"Total\":0}","platform":"Semanticscholar","paperid":null,"PeriodicalName":"Frontiers in Molecular Biosciences","FirstCategoryId":"99","ListUrlMain":"https://doi.org/10.3389/fmolb.2025.1640390","RegionNum":3,"RegionCategory":"生物学","ArticlePicture":[],"TitleCN":null,"AbstractTextCN":null,"PMCID":null,"EPubDate":"2025/1/1 0:00:00","PubModel":"eCollection","JCR":"Q2","JCRName":"BIOCHEMISTRY & MOLECULAR BIOLOGY","Score":null,"Total":0}
引用次数: 0

摘要

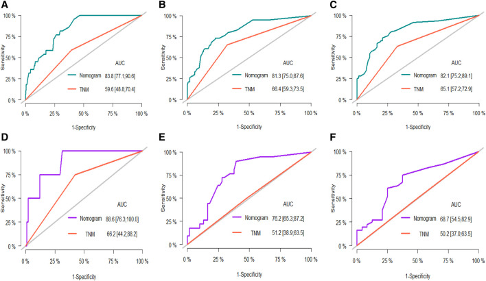
背景:肝细胞癌(HCC)仍然是一个全球性的健康挑战,早期切除提供了改善预后的最佳机会。然而,TNM分期系统的局限性突出了对其他预后工具的需求。本研究评估术前血清炎症标志物对手术切除的I/II期HCC患者的预后价值。方法:对2011年11月至2020年3月在川北医学院附属医院行手术切除的410例肝癌(I/II期)患者进行回顾性队列研究。分析临床和血清学数据,包括中性粒细胞与淋巴细胞比值(NLR)、血小板与淋巴细胞比值(PLR)和血小板与中性粒细胞比值(PNR)。通过单因素和多因素Cox回归分析确定总生存期(OS)的预后因素。采用nomogram预测1年、3年和5年OS,并通过ROC曲线、校准图和决策曲线分析(DCA)对其性能进行评估。Kaplan-Meier生存曲线用于比较风险组,并对照AJCC第8版TNM分期系统评估模型的预测效果。结果:多因素Cox回归发现NLR、PLR、ALBI评分、AFP水平和HBeAg状态是OS的独立预后因素。与TNM分期相比,nomogram显示出更强的区分力(AUC: 0.78, 0.74, 0.71分别为1年,3年和5年OS)。Kaplan-Meier分析显示高危组的OS明显较差(log-rank p < 0.001)。通过决策曲线分析和综合判别改善指数验证,nomogram在辨析和临床应用方面都优于AJCC TNM系统。结论:术前血清炎症标志物与传统TNM分期相结合,可显著提高手术切除的I/II期HCC患者的预后准确性。开发的nomogram为个体化风险分层提供了实用工具,并可指导术后管理以改善患者预后。
本文章由计算机程序翻译,如有差异,请以英文原文为准。

Preoperative serum inflammatory markers in the prognostic assessment of hepatocellular carcinoma resection in stages I/II.

Preoperative serum inflammatory markers in the prognostic assessment of hepatocellular carcinoma resection in stages I/II.

Preoperative serum inflammatory markers in the prognostic assessment of hepatocellular carcinoma resection in stages I/II.

Preoperative serum inflammatory markers in the prognostic assessment of hepatocellular carcinoma resection in stages I/II.

Background: Hepatocellular carcinoma (HCC) remains a global health challenge, with early-stage resection offering the best chance for improved outcomes. However, limitations of the TNM staging system highlight the need for additional prognostic tools. This study evaluates the prognostic value of preoperative serum inflammatory markers in patients with stage I/II HCC undergoing surgical resection.

Methods: A retrospective cohort study was conducted on 410 HCC patients (stage I/II) who underwent surgical resection at the Affiliated Hospital of North Sichuan Medical College between November 2011 and March 2020. Clinical and serological data, including neutrophil-to-lymphocyte ratio (NLR), platelet-to-lymphocyte ratio (PLR), and platelet-to-neutrophil ratio (PNR), were analyzed. Prognostic factors for overall survival (OS) were identified through univariate and multivariate Cox regression analyses. A nomogram was developed to predict 1-year, 3-year, and 5-year OS, with its performance assessed using ROC curves, calibration plots, and decision curve analysis (DCA). Kaplan-Meier survival curves were used to compare risk groups, and the model's predictive efficacy was evaluated against the AJCC 8th Edition TNM staging system.

Results: Multivariate Cox regression identified NLR, PLR, ALBI score, AFP levels, and HBeAg status as independent prognostic factors for OS. The nomogram demonstrated superior discriminatory power (AUC: 0.78, 0.74, and 0.71 for 1-, 3-, and 5-year OS, respectively) compared to TNM staging. Kaplan-Meier analysis revealed significantly worse OS in the high-risk group (log-rank p < 0.001). The nomogram outperformed the AJCC TNM system in both discrimination and clinical utility, as validated by decision curve analysis and the Integrated Discrimination Improvement Index.

Conclusion: Preoperative serum inflammatory markers, when integrated with traditional TNM staging, significantly improve prognostic accuracy for stage I/II HCC patients undergoing surgical resection. The developed nomogram provides a practical tool for individualized risk stratification and may guide postoperative management to improve patient outcomes.

求助全文
通过发布文献求助,成功后即可免费获取论文全文。 去求助
来源期刊
Frontiers in Molecular Biosciences
Frontiers in Molecular Biosciences Biochemistry, Genetics and Molecular Biology-Biochemistry
CiteScore
7.20
自引率
4.00%
发文量
1361
审稿时长
14 weeks
期刊介绍: Much of contemporary investigation in the life sciences is devoted to the molecular-scale understanding of the relationships between genes and the environment — in particular, dynamic alterations in the levels, modifications, and interactions of cellular effectors, including proteins. Frontiers in Molecular Biosciences offers an international publication platform for basic as well as applied research; we encourage contributions spanning both established and emerging areas of biology. To this end, the journal draws from empirical disciplines such as structural biology, enzymology, biochemistry, and biophysics, capitalizing as well on the technological advancements that have enabled metabolomics and proteomics measurements in massively parallel throughput, and the development of robust and innovative computational biology strategies. We also recognize influences from medicine and technology, welcoming studies in molecular genetics, molecular diagnostics and therapeutics, and nanotechnology. Our ultimate objective is the comprehensive illustration of the molecular mechanisms regulating proteins, nucleic acids, carbohydrates, lipids, and small metabolites in organisms across all branches of life. In addition to interesting new findings, techniques, and applications, Frontiers in Molecular Biosciences will consider new testable hypotheses to inspire different perspectives and stimulate scientific dialogue. The integration of in silico, in vitro, and in vivo approaches will benefit endeavors across all domains of the life sciences.
×
引用
GB/T 7714-2015
复制
MLA
复制
APA
复制
导出至
BibTeX EndNote RefMan NoteFirst NoteExpress
×
提示
您的信息不完整,为了账户安全,请先补充。
现在去补充
×
提示
您因"违规操作"
具体请查看互助需知
我知道了
×
提示
确定
请完成安全验证×
copy
已复制链接
快去分享给好友吧!
我知道了
右上角分享
点击右上角分享
0
联系我们:info@booksci.cn Book学术提供免费学术资源搜索服务,方便国内外学者检索中英文文献。致力于提供最便捷和优质的服务体验。 Copyright © 2023 布克学术 All rights reserved.
京ICP备2023020795号-1
ghs 京公网安备 11010802042870号
Book学术文献互助
Book学术文献互助群
群 号:604180095
Book学术官方微信