利用机器学习方法研究挥发性有机化合物在非酒精性脂肪性肝病中的作用。

IF 3.9 3区 生物学 Q2 BIOCHEMISTRY & MOLECULAR BIOLOGY
Frontiers in Molecular Biosciences Pub Date : 2025-08-06 eCollection Date: 2025-01-01 DOI:10.3389/fmolb.2025.1631265
Chih-Hao Shen, Ruei-Hao Huang, Yaw-Kuen Li, Ta-Wei Chu, Dee Pei
{"title":"利用机器学习方法研究挥发性有机化合物在非酒精性脂肪性肝病中的作用。","authors":"Chih-Hao Shen, Ruei-Hao Huang, Yaw-Kuen Li, Ta-Wei Chu, Dee Pei","doi":"10.3389/fmolb.2025.1631265","DOIUrl":null,"url":null,"abstract":"<p><strong>Aims: </strong>Approximately 25%-30% of the global population is affected by non-alcoholic fatty liver disease (NAFLD). This study aimed to explore whether NAFLD could be effectively detected using 341 volatile organic compounds (VOCs) via 10 machine learning (Mach-L) algorithms in a cohort of 1,501 individuals.</p><p><strong>Methods: </strong>Participants were selected from the Taiwan MJ cohort, which includes comprehensive demographic, biochemical, lifestyle, and VOCs data. NAFLD was diagnosed by experienced gastroenterologists. Exhaled breath samples were collected using a 1.0-L aluminum bag (late expiratory fraction) and analyzed with selected-ion flow-tube mass spectrometry. Ten Mach-L techniques were employed to evaluate two predictive models: Model 1 (demographic, lifestyle, and biochemical data), and Model 2 (Model 1 + VOCs), assessed using area under the receiver operating characteristic curve (AUC).</p><p><strong>Results: </strong>Subjects with NAFLD had significantly higher values for age, BMI, blood pressure, and other biomedical markers, except for eGFR and HDL-C. Key predictors of NAFLD included BMI, triglycerides (TG), uric acid (UA), fasting plasma glucose (FPG), γ-GT, gender, LDL-C, and sleep duration. The addition of VOCs to Model 1 improved the AUC from 0.722 ± 0.149 to 0.770 ± 0.264 (p < 0.001). Ten VOCs were identified as the most influential, in order of importance: 2-propanol, acetone, butyl 2-methylbutanoate, diethylethanolamine, urethane, β-caryophyllene, furfural, tridecane, 4-methyloctanoic acid, and (S)-2-methyl-1-butanol.</p><p><strong>Conclusion: </strong>Incorporating VOCs into traditional demographic, biochemical, and lifestyle data significantly enhanced the model's predictive performance. This suggests that VOCs may be associated with the underlying pathophysiology of NAFLD.</p>","PeriodicalId":12465,"journal":{"name":"Frontiers in Molecular Biosciences","volume":"12 ","pages":"1631265"},"PeriodicalIF":3.9000,"publicationDate":"2025-08-06","publicationTypes":"Journal Article","fieldsOfStudy":null,"isOpenAccess":false,"openAccessPdf":"https://www.ncbi.nlm.nih.gov/pmc/articles/PMC12365380/pdf/","citationCount":"0","resultStr":"{\"title\":\"Using machine learning methods to investigate the role of volatile organic compounds in non-alcoholic fatty liver disease.\",\"authors\":\"Chih-Hao Shen, Ruei-Hao Huang, Yaw-Kuen Li, Ta-Wei Chu, Dee Pei\",\"doi\":\"10.3389/fmolb.2025.1631265\",\"DOIUrl\":null,\"url\":null,\"abstract\":\"<p><strong>Aims: </strong>Approximately 25%-30% of the global population is affected by non-alcoholic fatty liver disease (NAFLD). This study aimed to explore whether NAFLD could be effectively detected using 341 volatile organic compounds (VOCs) via 10 machine learning (Mach-L) algorithms in a cohort of 1,501 individuals.</p><p><strong>Methods: </strong>Participants were selected from the Taiwan MJ cohort, which includes comprehensive demographic, biochemical, lifestyle, and VOCs data. NAFLD was diagnosed by experienced gastroenterologists. Exhaled breath samples were collected using a 1.0-L aluminum bag (late expiratory fraction) and analyzed with selected-ion flow-tube mass spectrometry. Ten Mach-L techniques were employed to evaluate two predictive models: Model 1 (demographic, lifestyle, and biochemical data), and Model 2 (Model 1 + VOCs), assessed using area under the receiver operating characteristic curve (AUC).</p><p><strong>Results: </strong>Subjects with NAFLD had significantly higher values for age, BMI, blood pressure, and other biomedical markers, except for eGFR and HDL-C. Key predictors of NAFLD included BMI, triglycerides (TG), uric acid (UA), fasting plasma glucose (FPG), γ-GT, gender, LDL-C, and sleep duration. The addition of VOCs to Model 1 improved the AUC from 0.722 ± 0.149 to 0.770 ± 0.264 (p < 0.001). Ten VOCs were identified as the most influential, in order of importance: 2-propanol, acetone, butyl 2-methylbutanoate, diethylethanolamine, urethane, β-caryophyllene, furfural, tridecane, 4-methyloctanoic acid, and (S)-2-methyl-1-butanol.</p><p><strong>Conclusion: </strong>Incorporating VOCs into traditional demographic, biochemical, and lifestyle data significantly enhanced the model's predictive performance. This suggests that VOCs may be associated with the underlying pathophysiology of NAFLD.</p>\",\"PeriodicalId\":12465,\"journal\":{\"name\":\"Frontiers in Molecular Biosciences\",\"volume\":\"12 \",\"pages\":\"1631265\"},\"PeriodicalIF\":3.9000,\"publicationDate\":\"2025-08-06\",\"publicationTypes\":\"Journal Article\",\"fieldsOfStudy\":null,\"isOpenAccess\":false,\"openAccessPdf\":\"https://www.ncbi.nlm.nih.gov/pmc/articles/PMC12365380/pdf/\",\"citationCount\":\"0\",\"resultStr\":null,\"platform\":\"Semanticscholar\",\"paperid\":null,\"PeriodicalName\":\"Frontiers in Molecular Biosciences\",\"FirstCategoryId\":\"99\",\"ListUrlMain\":\"https://doi.org/10.3389/fmolb.2025.1631265\",\"RegionNum\":3,\"RegionCategory\":\"生物学\",\"ArticlePicture\":[],\"TitleCN\":null,\"AbstractTextCN\":null,\"PMCID\":null,\"EPubDate\":\"2025/1/1 0:00:00\",\"PubModel\":\"eCollection\",\"JCR\":\"Q2\",\"JCRName\":\"BIOCHEMISTRY & MOLECULAR BIOLOGY\",\"Score\":null,\"Total\":0}","platform":"Semanticscholar","paperid":null,"PeriodicalName":"Frontiers in Molecular Biosciences","FirstCategoryId":"99","ListUrlMain":"https://doi.org/10.3389/fmolb.2025.1631265","RegionNum":3,"RegionCategory":"生物学","ArticlePicture":[],"TitleCN":null,"AbstractTextCN":null,"PMCID":null,"EPubDate":"2025/1/1 0:00:00","PubModel":"eCollection","JCR":"Q2","JCRName":"BIOCHEMISTRY & MOLECULAR BIOLOGY","Score":null,"Total":0}
引用次数: 0

摘要

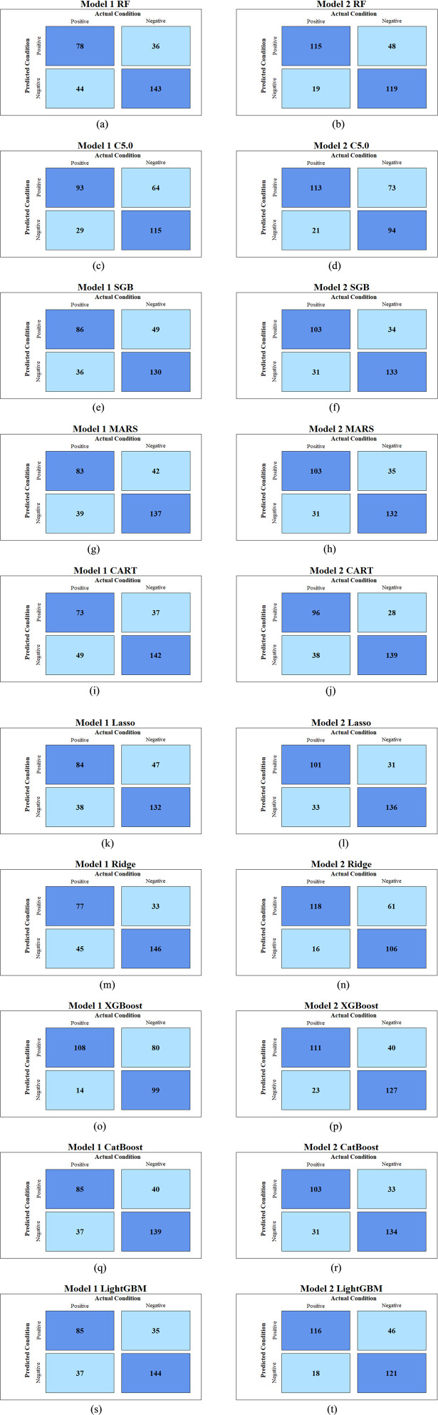
目的:全球约25%-30%的人口受到非酒精性脂肪性肝病(NAFLD)的影响。本研究旨在探索是否可以通过10种机器学习(Mach-L)算法在1,501人的队列中使用341种挥发性有机化合物(VOCs)有效检测NAFLD。方法:从台湾MJ队列中选择参与者,包括综合的人口统计、生化、生活方式和VOCs数据。NAFLD由经验丰富的胃肠病学家诊断。呼气样本采用1.0 l铝袋(呼气末分数)收集,选择离子流管质谱法分析。采用10种马赫- l技术来评估两个预测模型:模型1(人口统计学、生活方式和生化数据)和模型2(模型1 + VOCs),使用受试者工作特征曲线下面积(AUC)进行评估。结果:NAFLD患者的年龄、BMI、血压和其他生物医学指标均显著升高,但eGFR和HDL-C除外。NAFLD的主要预测因子包括BMI、甘油三酯(TG)、尿酸(UA)、空腹血糖(FPG)、γ-GT、性别、LDL-C和睡眠时间。模型1中VOCs的加入使AUC由0.722±0.149提高到0.770±0.264 (p < 0.001)。10种挥发性有机化合物被确定为影响最大的,按重要性排序为:2-丙醇、丙酮、2-甲基丁酸丁酯、二乙基乙醇胺、聚氨酯、β-石竹烯、糠醛、三十六烷、4-甲基辛酸和(S)-2-甲基-1-丁醇。结论:将VOCs纳入传统的人口统计、生化和生活方式数据显著提高了模型的预测性能。这表明挥发性有机化合物可能与NAFLD的潜在病理生理有关。
本文章由计算机程序翻译,如有差异,请以英文原文为准。

Using machine learning methods to investigate the role of volatile organic compounds in non-alcoholic fatty liver disease.

Using machine learning methods to investigate the role of volatile organic compounds in non-alcoholic fatty liver disease.

Using machine learning methods to investigate the role of volatile organic compounds in non-alcoholic fatty liver disease.

Using machine learning methods to investigate the role of volatile organic compounds in non-alcoholic fatty liver disease.

Aims: Approximately 25%-30% of the global population is affected by non-alcoholic fatty liver disease (NAFLD). This study aimed to explore whether NAFLD could be effectively detected using 341 volatile organic compounds (VOCs) via 10 machine learning (Mach-L) algorithms in a cohort of 1,501 individuals.

Methods: Participants were selected from the Taiwan MJ cohort, which includes comprehensive demographic, biochemical, lifestyle, and VOCs data. NAFLD was diagnosed by experienced gastroenterologists. Exhaled breath samples were collected using a 1.0-L aluminum bag (late expiratory fraction) and analyzed with selected-ion flow-tube mass spectrometry. Ten Mach-L techniques were employed to evaluate two predictive models: Model 1 (demographic, lifestyle, and biochemical data), and Model 2 (Model 1 + VOCs), assessed using area under the receiver operating characteristic curve (AUC).

Results: Subjects with NAFLD had significantly higher values for age, BMI, blood pressure, and other biomedical markers, except for eGFR and HDL-C. Key predictors of NAFLD included BMI, triglycerides (TG), uric acid (UA), fasting plasma glucose (FPG), γ-GT, gender, LDL-C, and sleep duration. The addition of VOCs to Model 1 improved the AUC from 0.722 ± 0.149 to 0.770 ± 0.264 (p < 0.001). Ten VOCs were identified as the most influential, in order of importance: 2-propanol, acetone, butyl 2-methylbutanoate, diethylethanolamine, urethane, β-caryophyllene, furfural, tridecane, 4-methyloctanoic acid, and (S)-2-methyl-1-butanol.

Conclusion: Incorporating VOCs into traditional demographic, biochemical, and lifestyle data significantly enhanced the model's predictive performance. This suggests that VOCs may be associated with the underlying pathophysiology of NAFLD.

求助全文
通过发布文献求助,成功后即可免费获取论文全文。 去求助
来源期刊
Frontiers in Molecular Biosciences
Frontiers in Molecular Biosciences Biochemistry, Genetics and Molecular Biology-Biochemistry
CiteScore
7.20
自引率
4.00%
发文量
1361
审稿时长
14 weeks
期刊介绍: Much of contemporary investigation in the life sciences is devoted to the molecular-scale understanding of the relationships between genes and the environment — in particular, dynamic alterations in the levels, modifications, and interactions of cellular effectors, including proteins. Frontiers in Molecular Biosciences offers an international publication platform for basic as well as applied research; we encourage contributions spanning both established and emerging areas of biology. To this end, the journal draws from empirical disciplines such as structural biology, enzymology, biochemistry, and biophysics, capitalizing as well on the technological advancements that have enabled metabolomics and proteomics measurements in massively parallel throughput, and the development of robust and innovative computational biology strategies. We also recognize influences from medicine and technology, welcoming studies in molecular genetics, molecular diagnostics and therapeutics, and nanotechnology. Our ultimate objective is the comprehensive illustration of the molecular mechanisms regulating proteins, nucleic acids, carbohydrates, lipids, and small metabolites in organisms across all branches of life. In addition to interesting new findings, techniques, and applications, Frontiers in Molecular Biosciences will consider new testable hypotheses to inspire different perspectives and stimulate scientific dialogue. The integration of in silico, in vitro, and in vivo approaches will benefit endeavors across all domains of the life sciences.
×
引用
GB/T 7714-2015
复制
MLA
复制
APA
复制
导出至
BibTeX EndNote RefMan NoteFirst NoteExpress
×
提示
您的信息不完整,为了账户安全,请先补充。
现在去补充
×
提示
您因"违规操作"
具体请查看互助需知
我知道了
×
提示
确定
请完成安全验证×
copy
已复制链接
快去分享给好友吧!
我知道了
右上角分享
点击右上角分享
0
联系我们:info@booksci.cn Book学术提供免费学术资源搜索服务,方便国内外学者检索中英文文献。致力于提供最便捷和优质的服务体验。 Copyright © 2023 布克学术 All rights reserved.
京ICP备2023020795号-1
ghs 京公网安备 11010802042870号
Book学术文献互助
Book学术文献互助群
群 号:604180095
Book学术官方微信