一种新的思念诱导任务的开发与验证:中、瑞两国遗属的跨文化研究。

IF 4.1 2区 医学 Q1 PSYCHIATRY
Jun Wen, Guangyuan Shi, Xin Xu, David Eberle, Wenli Qian, Jianping Wang, Andreas Maercker
{"title":"一种新的思念诱导任务的开发与验证:中、瑞两国遗属的跨文化研究。","authors":"Jun Wen, Guangyuan Shi, Xin Xu, David Eberle, Wenli Qian, Jianping Wang, Andreas Maercker","doi":"10.1080/20008066.2025.2545660","DOIUrl":null,"url":null,"abstract":"<p><p><b>Background:</b> Yearning is a core symptom of prolonged grief disorder (PGD), typically manifesting as vivid counterfactual thoughts and bittersweet emotions. However, current self-report measures fail to capture the dynamic nature of yearning and are often compromised by social desirability bias. This highlights the critical need for accurate and objective tools to assess this complex emotional experience.<b>Objective:</b> This study aimed to develop and validate the Yearning Induction Task (YIT), an innovative experimental paradigm designed to induce yearning in bereaved individuals from China and Switzerland. We also sought to explore how cultural differences shape emotional and cognitive responses following experimentally induced yearning.<b>Methods:</b> A total of 231 bereaved participants (130 from China and 101 from Switzerland) were recruited. After completing baseline measures, participants were randomly assigned to either the yearning or control condition of the YIT. Momentary yearning and emotion responses were assessed both pre- and post-induction. Data were analysed using ANCOVA to examine cultural differences in the induction effect of the task.<b>Results:</b> The task demonstrated good interrater reliability across cultures but did not significantly alter momentary yearning levels. However, significant cultural differences emerged in emotional responses. Swiss participants predominantly showed increases in negative emotions, such as sadness, anger, and loneliness, following the yearning induction. In contrast, Chinese participants experienced a decrease in positive emotions, including happiness. In the control condition, Swiss participants reported declines in positive emotions (e.g. gratitude, love), while Chinese participants experienced an increase in happiness and a reduction in overall negative emotions.<b>Conclusion:</b> This study provided preliminary evidence for the reliability and validity of a novel task to induce yearning among Swiss and Chinese bereaved individuals. Cultural differences emerged in emotional responses to induced yearning, although construct validity was only partially supported. These findings highlight the importance of culturally sensitive assessment tools and interventions for yearning in PGD.</p>","PeriodicalId":12055,"journal":{"name":"European Journal of Psychotraumatology","volume":"16 1","pages":"2545660"},"PeriodicalIF":4.1000,"publicationDate":"2025-12-01","publicationTypes":"Journal Article","fieldsOfStudy":null,"isOpenAccess":false,"openAccessPdf":"https://www.ncbi.nlm.nih.gov/pmc/articles/PMC12409917/pdf/","citationCount":"0","resultStr":"{\"title\":\"Development and validation of a new yearning induction task: a cross-cultural study of Chinese and Swiss bereaved.\",\"authors\":\"Jun Wen, Guangyuan Shi, Xin Xu, David Eberle, Wenli Qian, Jianping Wang, Andreas Maercker\",\"doi\":\"10.1080/20008066.2025.2545660\",\"DOIUrl\":null,\"url\":null,\"abstract\":\"<p><p><b>Background:</b> Yearning is a core symptom of prolonged grief disorder (PGD), typically manifesting as vivid counterfactual thoughts and bittersweet emotions. However, current self-report measures fail to capture the dynamic nature of yearning and are often compromised by social desirability bias. This highlights the critical need for accurate and objective tools to assess this complex emotional experience.<b>Objective:</b> This study aimed to develop and validate the Yearning Induction Task (YIT), an innovative experimental paradigm designed to induce yearning in bereaved individuals from China and Switzerland. We also sought to explore how cultural differences shape emotional and cognitive responses following experimentally induced yearning.<b>Methods:</b> A total of 231 bereaved participants (130 from China and 101 from Switzerland) were recruited. After completing baseline measures, participants were randomly assigned to either the yearning or control condition of the YIT. Momentary yearning and emotion responses were assessed both pre- and post-induction. Data were analysed using ANCOVA to examine cultural differences in the induction effect of the task.<b>Results:</b> The task demonstrated good interrater reliability across cultures but did not significantly alter momentary yearning levels. However, significant cultural differences emerged in emotional responses. Swiss participants predominantly showed increases in negative emotions, such as sadness, anger, and loneliness, following the yearning induction. In contrast, Chinese participants experienced a decrease in positive emotions, including happiness. In the control condition, Swiss participants reported declines in positive emotions (e.g. gratitude, love), while Chinese participants experienced an increase in happiness and a reduction in overall negative emotions.<b>Conclusion:</b> This study provided preliminary evidence for the reliability and validity of a novel task to induce yearning among Swiss and Chinese bereaved individuals. Cultural differences emerged in emotional responses to induced yearning, although construct validity was only partially supported. These findings highlight the importance of culturally sensitive assessment tools and interventions for yearning in PGD.</p>\",\"PeriodicalId\":12055,\"journal\":{\"name\":\"European Journal of Psychotraumatology\",\"volume\":\"16 1\",\"pages\":\"2545660\"},\"PeriodicalIF\":4.1000,\"publicationDate\":\"2025-12-01\",\"publicationTypes\":\"Journal Article\",\"fieldsOfStudy\":null,\"isOpenAccess\":false,\"openAccessPdf\":\"https://www.ncbi.nlm.nih.gov/pmc/articles/PMC12409917/pdf/\",\"citationCount\":\"0\",\"resultStr\":null,\"platform\":\"Semanticscholar\",\"paperid\":null,\"PeriodicalName\":\"European Journal of Psychotraumatology\",\"FirstCategoryId\":\"3\",\"ListUrlMain\":\"https://doi.org/10.1080/20008066.2025.2545660\",\"RegionNum\":2,\"RegionCategory\":\"医学\",\"ArticlePicture\":[],\"TitleCN\":null,\"AbstractTextCN\":null,\"PMCID\":null,\"EPubDate\":\"2025/9/3 0:00:00\",\"PubModel\":\"Epub\",\"JCR\":\"Q1\",\"JCRName\":\"PSYCHIATRY\",\"Score\":null,\"Total\":0}","platform":"Semanticscholar","paperid":null,"PeriodicalName":"European Journal of Psychotraumatology","FirstCategoryId":"3","ListUrlMain":"https://doi.org/10.1080/20008066.2025.2545660","RegionNum":2,"RegionCategory":"医学","ArticlePicture":[],"TitleCN":null,"AbstractTextCN":null,"PMCID":null,"EPubDate":"2025/9/3 0:00:00","PubModel":"Epub","JCR":"Q1","JCRName":"PSYCHIATRY","Score":null,"Total":0}
引用次数: 0

摘要

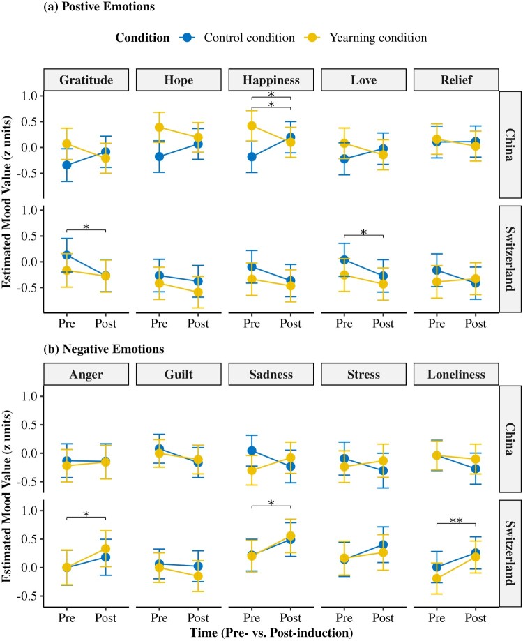
背景:渴望是长期悲伤障碍(PGD)的核心症状,典型表现为生动的反事实思想和苦乐参半的情绪。然而,目前的自我报告措施未能捕捉渴望的动态性质,并经常受到社会可取性偏见的损害。这凸显了对准确和客观的工具来评估这种复杂的情感体验的迫切需要。目的:本研究旨在开发和验证思念诱导任务(YIT),这是一个创新的实验范式,旨在诱导来自中国和瑞士的丧亲者的思念。我们还试图探索文化差异如何塑造实验诱导的渴望后的情感和认知反应。方法:共招募231名丧偶者,其中130名来自中国,101名来自瑞士。在完成基线测量后,参与者被随机分配到向往或控制条件的YIT。在诱导前和诱导后分别评估瞬时渴望和情绪反应。使用ANCOVA对数据进行分析,以检验任务的诱导效应中的文化差异。结果:该任务显示了良好的跨文化互译者信度,但没有显著改变瞬时渴望水平。然而,在情绪反应上出现了显著的文化差异。在渴望诱导后,瑞士的参与者主要表现出消极情绪的增加,如悲伤、愤怒和孤独。相比之下,中国参与者的积极情绪(包括幸福感)有所下降。在控制条件下,瑞士参与者的积极情绪(如感激、爱)有所下降,而中国参与者的幸福感有所增加,整体负面情绪有所减少。结论:本研究为一种新颖的任务在瑞士和中国的丧亲个体中诱发思念的信度和效度提供了初步证据。虽然构念效度只得到部分支持,但文化差异出现在诱发渴望的情绪反应中。这些发现强调了文化敏感性评估工具和干预措施对PGD向往的重要性。
本文章由计算机程序翻译,如有差异,请以英文原文为准。

Development and validation of a new yearning induction task: a cross-cultural study of Chinese and Swiss bereaved.

Development and validation of a new yearning induction task: a cross-cultural study of Chinese and Swiss bereaved.

Development and validation of a new yearning induction task: a cross-cultural study of Chinese and Swiss bereaved.

Development and validation of a new yearning induction task: a cross-cultural study of Chinese and Swiss bereaved.

Background: Yearning is a core symptom of prolonged grief disorder (PGD), typically manifesting as vivid counterfactual thoughts and bittersweet emotions. However, current self-report measures fail to capture the dynamic nature of yearning and are often compromised by social desirability bias. This highlights the critical need for accurate and objective tools to assess this complex emotional experience.Objective: This study aimed to develop and validate the Yearning Induction Task (YIT), an innovative experimental paradigm designed to induce yearning in bereaved individuals from China and Switzerland. We also sought to explore how cultural differences shape emotional and cognitive responses following experimentally induced yearning.Methods: A total of 231 bereaved participants (130 from China and 101 from Switzerland) were recruited. After completing baseline measures, participants were randomly assigned to either the yearning or control condition of the YIT. Momentary yearning and emotion responses were assessed both pre- and post-induction. Data were analysed using ANCOVA to examine cultural differences in the induction effect of the task.Results: The task demonstrated good interrater reliability across cultures but did not significantly alter momentary yearning levels. However, significant cultural differences emerged in emotional responses. Swiss participants predominantly showed increases in negative emotions, such as sadness, anger, and loneliness, following the yearning induction. In contrast, Chinese participants experienced a decrease in positive emotions, including happiness. In the control condition, Swiss participants reported declines in positive emotions (e.g. gratitude, love), while Chinese participants experienced an increase in happiness and a reduction in overall negative emotions.Conclusion: This study provided preliminary evidence for the reliability and validity of a novel task to induce yearning among Swiss and Chinese bereaved individuals. Cultural differences emerged in emotional responses to induced yearning, although construct validity was only partially supported. These findings highlight the importance of culturally sensitive assessment tools and interventions for yearning in PGD.

求助全文
通过发布文献求助,成功后即可免费获取论文全文。 去求助
来源期刊
CiteScore
7.60
自引率
12.00%
发文量
153
审稿时长
18 weeks
期刊介绍: The European Journal of Psychotraumatology (EJPT) is a peer-reviewed open access interdisciplinary journal owned by the European Society of Traumatic Stress Studies (ESTSS). The European Journal of Psychotraumatology (EJPT) aims to engage scholars, clinicians and researchers in the vital issues of how to understand, prevent and treat the consequences of stress and trauma, including but not limited to, posttraumatic stress disorder (PTSD), depressive disorders, substance abuse, burnout, and neurobiological or physical consequences, using the latest research or clinical experience in these areas. The journal shares ESTSS’ mission to advance and disseminate scientific knowledge about traumatic stress. Papers may address individual events, repeated or chronic (complex) trauma, large scale disasters, or violence. Being open access, the European Journal of Psychotraumatology is also evidence of ESTSS’ stand on free accessibility of research publications to a wider community via the web. The European Journal of Psychotraumatology seeks to attract contributions from academics and practitioners from diverse professional backgrounds, including, but not restricted to, those in mental health, social sciences, and health and welfare services. Contributions from outside Europe are welcome. The journal welcomes original basic and clinical research articles that consolidate and expand the theoretical and professional basis of the field of traumatic stress; Review articles including meta-analyses; short communications presenting new ideas or early-stage promising research; study protocols that describe proposed or ongoing research; case reports examining a single individual or event in a real‑life context; clinical practice papers sharing experience from the clinic; letters to the Editor debating articles already published in the Journal; inaugural Lectures; conference abstracts and book reviews. Both quantitative and qualitative research is welcome.
×
引用
GB/T 7714-2015
复制
MLA
复制
APA
复制
导出至
BibTeX EndNote RefMan NoteFirst NoteExpress
×
提示
您的信息不完整,为了账户安全,请先补充。
现在去补充
×
提示
您因"违规操作"
具体请查看互助需知
我知道了
×
提示
确定
请完成安全验证×
copy
已复制链接
快去分享给好友吧!
我知道了
右上角分享
点击右上角分享
0
联系我们:info@booksci.cn Book学术提供免费学术资源搜索服务,方便国内外学者检索中英文文献。致力于提供最便捷和优质的服务体验。 Copyright © 2023 布克学术 All rights reserved.
京ICP备2023020795号-1
ghs 京公网安备 11010802042870号
Book学术文献互助
Book学术文献互助群
群 号:604180095
Book学术官方微信