创伤性治疗后的主观和客观睡眠障碍。

IF 4.1 2区 医学 Q1 PSYCHIATRY
Salomé Porten, Franziska Friedmann, Nikola Schoofs, Charlotte Barth, Kristina Meyer, Philip Santangelo, Ulrich Ebner-Priemer, Meike Müller-Engelmann, Regina Steil, Nikolaus Kleindienst, Frank Enning, Thomas Fydrich, Kathlen Priebe
{"title":"创伤性治疗后的主观和客观睡眠障碍。","authors":"Salomé Porten, Franziska Friedmann, Nikola Schoofs, Charlotte Barth, Kristina Meyer, Philip Santangelo, Ulrich Ebner-Priemer, Meike Müller-Engelmann, Regina Steil, Nikolaus Kleindienst, Frank Enning, Thomas Fydrich, Kathlen Priebe","doi":"10.1080/20008066.2025.2542044","DOIUrl":null,"url":null,"abstract":"<p><p><b>Background:</b> Most individuals with posttraumatic stress disorder (PTSD) report sleep disturbances. Yet, results on the impact of trauma-focused therapy on subjective and objective sleep disturbances are inconsistent.<b>Objectives:</b> This study conducted secondary analyses from a randomized controlled trial (RCT; German Clinical Trials Registration: DRKS00005578) to investigate changes in both subjective and objective sleep over the course of trauma-focused therapy and whether these changes differed for dialectical behaviour therapy for PTSD (DBT-PTSD) or cognitive processing therapy (CPT).<b>Methods:</b> Women with PTSD related to childhood abuse were randomized to receive DBT-PTSD or CPT. Sleep was assessed in <i>n</i> = 180 women using the Pittsburgh Sleep Quality Index (PSQI), sleep diaries, and actigraphy at baseline, 6 and 12 months into treatment, with sleep monitoring for 1 week at each assessment.<b>Results:</b> Subjective sleep disturbances improved significantly from pre- to post-treatment, reflected in better PSQI scores (<i>d</i> = 0.76), sleep quality (<i>d</i> = 0.69), and total sleep time (<i>d</i> = 0.11) in sleep diary entries with no differences between treatment groups. No significant changes were observed in actigraphy measures. In total, 76% of participants still met the clinical cut-off of 5 on the PSQI, indicating clinically significant subjective sleep disturbances.<b>Conclusions:</b> PTSD treatments were linked to improvements in subjective sleep quality, but objective sleep measures remained unaffected. A high percentage of participants with persistent clinical sleep disturbances after treatment highlight the need for further research on the efficacy of PTSD treatments on sleep disturbances. To reduce the burden of sleep disturbances, sleep-specific treatment components may need to be added to trauma-focused treatments.</p>","PeriodicalId":12055,"journal":{"name":"European Journal of Psychotraumatology","volume":"16 1","pages":"2542044"},"PeriodicalIF":4.1000,"publicationDate":"2025-12-01","publicationTypes":"Journal Article","fieldsOfStudy":null,"isOpenAccess":false,"openAccessPdf":"https://www.ncbi.nlm.nih.gov/pmc/articles/PMC12392437/pdf/","citationCount":"0","resultStr":"{\"title\":\"Subjective and objective sleep disturbances following trauma-focused treatment.\",\"authors\":\"Salomé Porten, Franziska Friedmann, Nikola Schoofs, Charlotte Barth, Kristina Meyer, Philip Santangelo, Ulrich Ebner-Priemer, Meike Müller-Engelmann, Regina Steil, Nikolaus Kleindienst, Frank Enning, Thomas Fydrich, Kathlen Priebe\",\"doi\":\"10.1080/20008066.2025.2542044\",\"DOIUrl\":null,\"url\":null,\"abstract\":\"<p><p><b>Background:</b> Most individuals with posttraumatic stress disorder (PTSD) report sleep disturbances. Yet, results on the impact of trauma-focused therapy on subjective and objective sleep disturbances are inconsistent.<b>Objectives:</b> This study conducted secondary analyses from a randomized controlled trial (RCT; German Clinical Trials Registration: DRKS00005578) to investigate changes in both subjective and objective sleep over the course of trauma-focused therapy and whether these changes differed for dialectical behaviour therapy for PTSD (DBT-PTSD) or cognitive processing therapy (CPT).<b>Methods:</b> Women with PTSD related to childhood abuse were randomized to receive DBT-PTSD or CPT. Sleep was assessed in <i>n</i> = 180 women using the Pittsburgh Sleep Quality Index (PSQI), sleep diaries, and actigraphy at baseline, 6 and 12 months into treatment, with sleep monitoring for 1 week at each assessment.<b>Results:</b> Subjective sleep disturbances improved significantly from pre- to post-treatment, reflected in better PSQI scores (<i>d</i> = 0.76), sleep quality (<i>d</i> = 0.69), and total sleep time (<i>d</i> = 0.11) in sleep diary entries with no differences between treatment groups. No significant changes were observed in actigraphy measures. In total, 76% of participants still met the clinical cut-off of 5 on the PSQI, indicating clinically significant subjective sleep disturbances.<b>Conclusions:</b> PTSD treatments were linked to improvements in subjective sleep quality, but objective sleep measures remained unaffected. A high percentage of participants with persistent clinical sleep disturbances after treatment highlight the need for further research on the efficacy of PTSD treatments on sleep disturbances. To reduce the burden of sleep disturbances, sleep-specific treatment components may need to be added to trauma-focused treatments.</p>\",\"PeriodicalId\":12055,\"journal\":{\"name\":\"European Journal of Psychotraumatology\",\"volume\":\"16 1\",\"pages\":\"2542044\"},\"PeriodicalIF\":4.1000,\"publicationDate\":\"2025-12-01\",\"publicationTypes\":\"Journal Article\",\"fieldsOfStudy\":null,\"isOpenAccess\":false,\"openAccessPdf\":\"https://www.ncbi.nlm.nih.gov/pmc/articles/PMC12392437/pdf/\",\"citationCount\":\"0\",\"resultStr\":null,\"platform\":\"Semanticscholar\",\"paperid\":null,\"PeriodicalName\":\"European Journal of Psychotraumatology\",\"FirstCategoryId\":\"3\",\"ListUrlMain\":\"https://doi.org/10.1080/20008066.2025.2542044\",\"RegionNum\":2,\"RegionCategory\":\"医学\",\"ArticlePicture\":[],\"TitleCN\":null,\"AbstractTextCN\":null,\"PMCID\":null,\"EPubDate\":\"2025/8/27 0:00:00\",\"PubModel\":\"Epub\",\"JCR\":\"Q1\",\"JCRName\":\"PSYCHIATRY\",\"Score\":null,\"Total\":0}","platform":"Semanticscholar","paperid":null,"PeriodicalName":"European Journal of Psychotraumatology","FirstCategoryId":"3","ListUrlMain":"https://doi.org/10.1080/20008066.2025.2542044","RegionNum":2,"RegionCategory":"医学","ArticlePicture":[],"TitleCN":null,"AbstractTextCN":null,"PMCID":null,"EPubDate":"2025/8/27 0:00:00","PubModel":"Epub","JCR":"Q1","JCRName":"PSYCHIATRY","Score":null,"Total":0}
引用次数: 0

摘要

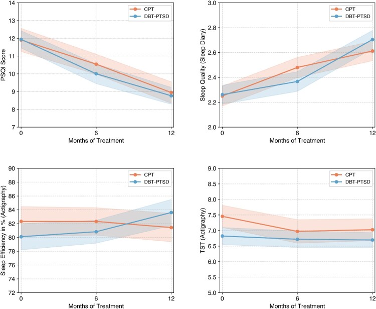
背景:大多数创伤后应激障碍(PTSD)患者报告睡眠障碍。然而,创伤治疗对主观和客观睡眠障碍的影响结果并不一致。目的:本研究对一项随机对照试验(RCT;德国临床试验注册号:DRKS00005578)进行了二次分析,以调查创伤集中治疗过程中主观和客观睡眠的变化,以及这些变化是否在辩证行为治疗PTSD (DBT-PTSD)或认知加工治疗(CPT)中有所不同。方法:将儿童期受虐相关的PTSD女性随机分为DBT-PTSD或CPT两组。使用匹兹堡睡眠质量指数(PSQI)、睡眠日记和活动记录仪对n = 180名女性的睡眠进行评估,在治疗6个月和12个月时进行基线评估,每次评估时进行1周的睡眠监测。结果:主观睡眠障碍从治疗前到治疗后显著改善,反映在睡眠日记条目中更好的PSQI评分(d = 0.76),睡眠质量(d = 0.69)和总睡眠时间(d = 0.11),治疗组之间无差异。活动描记术未见明显变化。总的来说,76%的参与者在PSQI上仍然达到了5分的临床临界值,这表明临床上存在明显的主观睡眠障碍。结论:创伤后应激障碍治疗与主观睡眠质量的改善有关,但客观睡眠测量不受影响。高百分比的参与者在治疗后出现持续的临床睡眠障碍,这表明需要进一步研究创伤后应激障碍治疗对睡眠障碍的疗效。为了减轻睡眠障碍的负担,可能需要在以创伤为重点的治疗中增加针对睡眠的治疗成分。
本文章由计算机程序翻译,如有差异,请以英文原文为准。

Subjective and objective sleep disturbances following trauma-focused treatment.

Subjective and objective sleep disturbances following trauma-focused treatment.

Subjective and objective sleep disturbances following trauma-focused treatment.

Background: Most individuals with posttraumatic stress disorder (PTSD) report sleep disturbances. Yet, results on the impact of trauma-focused therapy on subjective and objective sleep disturbances are inconsistent.Objectives: This study conducted secondary analyses from a randomized controlled trial (RCT; German Clinical Trials Registration: DRKS00005578) to investigate changes in both subjective and objective sleep over the course of trauma-focused therapy and whether these changes differed for dialectical behaviour therapy for PTSD (DBT-PTSD) or cognitive processing therapy (CPT).Methods: Women with PTSD related to childhood abuse were randomized to receive DBT-PTSD or CPT. Sleep was assessed in n = 180 women using the Pittsburgh Sleep Quality Index (PSQI), sleep diaries, and actigraphy at baseline, 6 and 12 months into treatment, with sleep monitoring for 1 week at each assessment.Results: Subjective sleep disturbances improved significantly from pre- to post-treatment, reflected in better PSQI scores (d = 0.76), sleep quality (d = 0.69), and total sleep time (d = 0.11) in sleep diary entries with no differences between treatment groups. No significant changes were observed in actigraphy measures. In total, 76% of participants still met the clinical cut-off of 5 on the PSQI, indicating clinically significant subjective sleep disturbances.Conclusions: PTSD treatments were linked to improvements in subjective sleep quality, but objective sleep measures remained unaffected. A high percentage of participants with persistent clinical sleep disturbances after treatment highlight the need for further research on the efficacy of PTSD treatments on sleep disturbances. To reduce the burden of sleep disturbances, sleep-specific treatment components may need to be added to trauma-focused treatments.

求助全文
通过发布文献求助,成功后即可免费获取论文全文。 去求助
来源期刊
CiteScore
7.60
自引率
12.00%
发文量
153
审稿时长
18 weeks
期刊介绍: The European Journal of Psychotraumatology (EJPT) is a peer-reviewed open access interdisciplinary journal owned by the European Society of Traumatic Stress Studies (ESTSS). The European Journal of Psychotraumatology (EJPT) aims to engage scholars, clinicians and researchers in the vital issues of how to understand, prevent and treat the consequences of stress and trauma, including but not limited to, posttraumatic stress disorder (PTSD), depressive disorders, substance abuse, burnout, and neurobiological or physical consequences, using the latest research or clinical experience in these areas. The journal shares ESTSS’ mission to advance and disseminate scientific knowledge about traumatic stress. Papers may address individual events, repeated or chronic (complex) trauma, large scale disasters, or violence. Being open access, the European Journal of Psychotraumatology is also evidence of ESTSS’ stand on free accessibility of research publications to a wider community via the web. The European Journal of Psychotraumatology seeks to attract contributions from academics and practitioners from diverse professional backgrounds, including, but not restricted to, those in mental health, social sciences, and health and welfare services. Contributions from outside Europe are welcome. The journal welcomes original basic and clinical research articles that consolidate and expand the theoretical and professional basis of the field of traumatic stress; Review articles including meta-analyses; short communications presenting new ideas or early-stage promising research; study protocols that describe proposed or ongoing research; case reports examining a single individual or event in a real‑life context; clinical practice papers sharing experience from the clinic; letters to the Editor debating articles already published in the Journal; inaugural Lectures; conference abstracts and book reviews. Both quantitative and qualitative research is welcome.
×
引用
GB/T 7714-2015
复制
MLA
复制
APA
复制
导出至
BibTeX EndNote RefMan NoteFirst NoteExpress
×
提示
您的信息不完整,为了账户安全,请先补充。
现在去补充
×
提示
您因"违规操作"
具体请查看互助需知
我知道了
×
提示
确定
请完成安全验证×
copy
已复制链接
快去分享给好友吧!
我知道了
右上角分享
点击右上角分享
0
联系我们:info@booksci.cn Book学术提供免费学术资源搜索服务,方便国内外学者检索中英文文献。致力于提供最便捷和优质的服务体验。 Copyright © 2023 布克学术 All rights reserved.
京ICP备2023020795号-1
ghs 京公网安备 11010802042870号
Book学术文献互助
Book学术文献互助群
群 号:604180095
Book学术官方微信