社会经济因素对首发精神病发病率和特征的影响。

IF 6.1 2区 医学 Q1 PSYCHIATRY
Martino Belvederi Murri, Alice Onofrio, Chiara Punzi, Nicola Caranci, Enrico Rubolino, Francesco Giovinazzi, Danila Azzolina, Federica Folesani, Luigi Grassi, Ilaria Tarricone, Fabrizio Starace
{"title":"社会经济因素对首发精神病发病率和特征的影响。","authors":"Martino Belvederi Murri, Alice Onofrio, Chiara Punzi, Nicola Caranci, Enrico Rubolino, Francesco Giovinazzi, Danila Azzolina, Federica Folesani, Luigi Grassi, Ilaria Tarricone, Fabrizio Starace","doi":"10.1017/S2045796025100206","DOIUrl":null,"url":null,"abstract":"<p><strong>Aim: </strong>The environment shapes the risk of psychosis. In particular, urbanicity, deprivation or inequality, migrant density and cannabis availability may not only influence psychosis incidence, but also the characteristics of individuals who arrive at clinical services. This study examined how socioeconomic factors influence the incidence and characteristics of cases of First-Episode Psychosis (FEP).</p><p><strong>Methods: </strong>We analysed prospective data collected from the FEP early detection programme of Emilia-Romagna, a high-income Italian region. Participants were 1240 individuals aged 18-35 years, who presented at the public healthcare services for a FEP. Exposures were derived from area-level data of 331 municipalities. We used population density, socioeconomic deprivation, educational deprivation, economic inequality, migrant density (proportion of migrants), frequent cannabis use (proportion of people aged 15-19 years old who reported frequent cannabis use). Outcome measures were FEP incidence (cases/100 000 inhabitants at risk per year) and characteristics (age of onset, migrant status, unemployment, substance use, treatment lag [DUP], family and resource problems). We reviewed pertinent literature, and formulated a Directed Acyclic Graph to present causal assumptions and provide adjustment sets for Bayesian spatial and multilevel models of social causation. To compare the effects of different exposures, we computed Average Marginal Effects and report the outcome changes that correspond to one standard deviation change of the exposure, incidence rate ratios (IRR) or odds ratios (OR).</p><p><strong>Results: </strong>The exposures and incidence of FEP displayed heterogeneous spatial distribution, with no spatially organized pattern. Accordingly, incidence and characteristics were best modelled as non-spatial, three-level hierarchical models. The incidence of FEP was influenced by population density (IRR, 1.14; 95% CrI, 1.03; 1.29), educational deprivation (IRR, 1.15; 95% CrI, 1.02; 1.31) and frequent cannabis use (IRR, 1.31; 95% CrI, 0.98; 1.82), more than socioeconomic deprivation. Higher migrant density in an area shortened the DUP on average by 3.4 months (95% CrI, -1.122; 0.76), while an increase of cannabis use of one standard deviation increased the DUP of 12.9 months (95% CrI, -2.86; 6229). Socioeconomic deprivation increased the likelihood of FEP cases being substance users (OR, 1.12; 95% CrI, 1.01; 1.26), while population density decreased it (OR, 0.91; 95% CrI, 0.83; 1.00).</p><p><strong>Conclusions: </strong>Area-level socioeconomic features affect both the incidence and the characteristics of FEP, including the probability of individual being migrants, substance users or having a different DUP. Educational deprivation may function as a proxy for culture- or cognitive-related factors. Area-level socioeconomic data may inform public healthcare strategies for early identification and availability of tertiary clinical services.</p>","PeriodicalId":11787,"journal":{"name":"Epidemiology and Psychiatric Sciences","volume":"34 ","pages":"e45"},"PeriodicalIF":6.1000,"publicationDate":"2025-09-02","publicationTypes":"Journal Article","fieldsOfStudy":null,"isOpenAccess":false,"openAccessPdf":"https://www.ncbi.nlm.nih.gov/pmc/articles/PMC12450539/pdf/","citationCount":"0","resultStr":"{\"title\":\"The impact of socioeconomic factors on the incidence and characteristics of first-episode psychosis.\",\"authors\":\"Martino Belvederi Murri, Alice Onofrio, Chiara Punzi, Nicola Caranci, Enrico Rubolino, Francesco Giovinazzi, Danila Azzolina, Federica Folesani, Luigi Grassi, Ilaria Tarricone, Fabrizio Starace\",\"doi\":\"10.1017/S2045796025100206\",\"DOIUrl\":null,\"url\":null,\"abstract\":\"<p><strong>Aim: </strong>The environment shapes the risk of psychosis. In particular, urbanicity, deprivation or inequality, migrant density and cannabis availability may not only influence psychosis incidence, but also the characteristics of individuals who arrive at clinical services. This study examined how socioeconomic factors influence the incidence and characteristics of cases of First-Episode Psychosis (FEP).</p><p><strong>Methods: </strong>We analysed prospective data collected from the FEP early detection programme of Emilia-Romagna, a high-income Italian region. Participants were 1240 individuals aged 18-35 years, who presented at the public healthcare services for a FEP. Exposures were derived from area-level data of 331 municipalities. We used population density, socioeconomic deprivation, educational deprivation, economic inequality, migrant density (proportion of migrants), frequent cannabis use (proportion of people aged 15-19 years old who reported frequent cannabis use). Outcome measures were FEP incidence (cases/100 000 inhabitants at risk per year) and characteristics (age of onset, migrant status, unemployment, substance use, treatment lag [DUP], family and resource problems). We reviewed pertinent literature, and formulated a Directed Acyclic Graph to present causal assumptions and provide adjustment sets for Bayesian spatial and multilevel models of social causation. To compare the effects of different exposures, we computed Average Marginal Effects and report the outcome changes that correspond to one standard deviation change of the exposure, incidence rate ratios (IRR) or odds ratios (OR).</p><p><strong>Results: </strong>The exposures and incidence of FEP displayed heterogeneous spatial distribution, with no spatially organized pattern. Accordingly, incidence and characteristics were best modelled as non-spatial, three-level hierarchical models. The incidence of FEP was influenced by population density (IRR, 1.14; 95% CrI, 1.03; 1.29), educational deprivation (IRR, 1.15; 95% CrI, 1.02; 1.31) and frequent cannabis use (IRR, 1.31; 95% CrI, 0.98; 1.82), more than socioeconomic deprivation. Higher migrant density in an area shortened the DUP on average by 3.4 months (95% CrI, -1.122; 0.76), while an increase of cannabis use of one standard deviation increased the DUP of 12.9 months (95% CrI, -2.86; 6229). Socioeconomic deprivation increased the likelihood of FEP cases being substance users (OR, 1.12; 95% CrI, 1.01; 1.26), while population density decreased it (OR, 0.91; 95% CrI, 0.83; 1.00).</p><p><strong>Conclusions: </strong>Area-level socioeconomic features affect both the incidence and the characteristics of FEP, including the probability of individual being migrants, substance users or having a different DUP. Educational deprivation may function as a proxy for culture- or cognitive-related factors. Area-level socioeconomic data may inform public healthcare strategies for early identification and availability of tertiary clinical services.</p>\",\"PeriodicalId\":11787,\"journal\":{\"name\":\"Epidemiology and Psychiatric Sciences\",\"volume\":\"34 \",\"pages\":\"e45\"},\"PeriodicalIF\":6.1000,\"publicationDate\":\"2025-09-02\",\"publicationTypes\":\"Journal Article\",\"fieldsOfStudy\":null,\"isOpenAccess\":false,\"openAccessPdf\":\"https://www.ncbi.nlm.nih.gov/pmc/articles/PMC12450539/pdf/\",\"citationCount\":\"0\",\"resultStr\":null,\"platform\":\"Semanticscholar\",\"paperid\":null,\"PeriodicalName\":\"Epidemiology and Psychiatric Sciences\",\"FirstCategoryId\":\"3\",\"ListUrlMain\":\"https://doi.org/10.1017/S2045796025100206\",\"RegionNum\":2,\"RegionCategory\":\"医学\",\"ArticlePicture\":[],\"TitleCN\":null,\"AbstractTextCN\":null,\"PMCID\":null,\"EPubDate\":\"\",\"PubModel\":\"\",\"JCR\":\"Q1\",\"JCRName\":\"PSYCHIATRY\",\"Score\":null,\"Total\":0}","platform":"Semanticscholar","paperid":null,"PeriodicalName":"Epidemiology and Psychiatric Sciences","FirstCategoryId":"3","ListUrlMain":"https://doi.org/10.1017/S2045796025100206","RegionNum":2,"RegionCategory":"医学","ArticlePicture":[],"TitleCN":null,"AbstractTextCN":null,"PMCID":null,"EPubDate":"","PubModel":"","JCR":"Q1","JCRName":"PSYCHIATRY","Score":null,"Total":0}
引用次数: 0

摘要

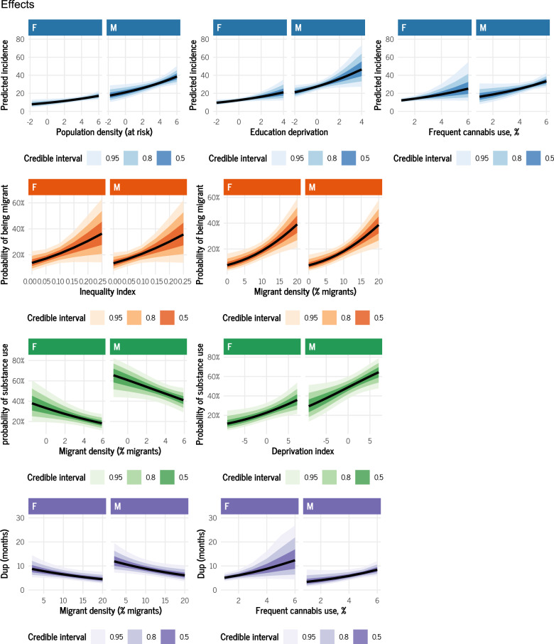
目的:环境塑造精神病的风险。特别是,城市化、贫困或不平等、移徙人口密度和大麻供应不仅可能影响精神病发病率,而且还可能影响到获得临床服务的个人的特征。本研究探讨了社会经济因素如何影响首发精神病(FEP)的发生率和特征。方法:我们分析了意大利高收入地区艾米利亚-罗马涅地区FEP早期检测项目收集的前瞻性数据。参与者是1240名年龄在18-35岁之间的人,他们在公共医疗保健服务机构接受了FEP。暴露量来源于331个城市的地区级数据。我们使用了人口密度、社会经济剥夺、教育剥夺、经济不平等、移民密度(移民比例)、频繁使用大麻(15-19岁经常使用大麻的人的比例)。结局指标是FEP发病率(每年每10万有风险居民的病例数)和特征(发病年龄、移民身份、失业、药物使用、治疗滞后(DUP)、家庭和资源问题)。我们回顾了相关文献,并制定了一个有向无环图来呈现因果假设,并为贝叶斯空间和多层次社会因果模型提供调整集。为了比较不同暴露的影响,我们计算了平均边际效应,并报告了暴露、发病率比(IRR)或优势比(or)的一个标准差变化所对应的结果变化。结果:FEP暴露量和发生率在空间上呈非均匀分布,无空间组织规律。因此,发病率和特征最好采用非空间的三层分层模型。人口密度(IRR, 1.14; 95% CrI, 1.03; 1.29)、教育剥夺(IRR, 1.15; 95% CrI, 1.02; 1.31)和频繁使用大麻(IRR, 1.31; 95% CrI, 0.98; 1.82)对FEP发病率的影响大于社会经济剥夺。移民密度越高,DUP平均缩短3.4个月(95% CrI, -1.122; 0.76),大麻使用量每增加一个标准差,DUP平均增加12.9个月(95% CrI, -2.86; 6229)。社会经济剥夺增加了FEP病例为物质使用者的可能性(OR, 1.12; 95% CrI, 1.01; 1.26),而人口密度降低了FEP病例为物质使用者的可能性(OR, 0.91; 95% CrI, 0.83; 1.00)。结论:区域层面的社会经济特征影响FEP的发生率和特征,包括个体是移民、物质使用者或具有不同DUP的概率。教育剥夺可能是文化或认知相关因素的代表。地区一级的社会经济数据可以为公共卫生保健战略提供信息,以便及早发现和提供三级临床服务。
本文章由计算机程序翻译,如有差异,请以英文原文为准。

The impact of socioeconomic factors on the incidence and characteristics of first-episode psychosis.

The impact of socioeconomic factors on the incidence and characteristics of first-episode psychosis.

The impact of socioeconomic factors on the incidence and characteristics of first-episode psychosis.

The impact of socioeconomic factors on the incidence and characteristics of first-episode psychosis.

Aim: The environment shapes the risk of psychosis. In particular, urbanicity, deprivation or inequality, migrant density and cannabis availability may not only influence psychosis incidence, but also the characteristics of individuals who arrive at clinical services. This study examined how socioeconomic factors influence the incidence and characteristics of cases of First-Episode Psychosis (FEP).

Methods: We analysed prospective data collected from the FEP early detection programme of Emilia-Romagna, a high-income Italian region. Participants were 1240 individuals aged 18-35 years, who presented at the public healthcare services for a FEP. Exposures were derived from area-level data of 331 municipalities. We used population density, socioeconomic deprivation, educational deprivation, economic inequality, migrant density (proportion of migrants), frequent cannabis use (proportion of people aged 15-19 years old who reported frequent cannabis use). Outcome measures were FEP incidence (cases/100 000 inhabitants at risk per year) and characteristics (age of onset, migrant status, unemployment, substance use, treatment lag [DUP], family and resource problems). We reviewed pertinent literature, and formulated a Directed Acyclic Graph to present causal assumptions and provide adjustment sets for Bayesian spatial and multilevel models of social causation. To compare the effects of different exposures, we computed Average Marginal Effects and report the outcome changes that correspond to one standard deviation change of the exposure, incidence rate ratios (IRR) or odds ratios (OR).

Results: The exposures and incidence of FEP displayed heterogeneous spatial distribution, with no spatially organized pattern. Accordingly, incidence and characteristics were best modelled as non-spatial, three-level hierarchical models. The incidence of FEP was influenced by population density (IRR, 1.14; 95% CrI, 1.03; 1.29), educational deprivation (IRR, 1.15; 95% CrI, 1.02; 1.31) and frequent cannabis use (IRR, 1.31; 95% CrI, 0.98; 1.82), more than socioeconomic deprivation. Higher migrant density in an area shortened the DUP on average by 3.4 months (95% CrI, -1.122; 0.76), while an increase of cannabis use of one standard deviation increased the DUP of 12.9 months (95% CrI, -2.86; 6229). Socioeconomic deprivation increased the likelihood of FEP cases being substance users (OR, 1.12; 95% CrI, 1.01; 1.26), while population density decreased it (OR, 0.91; 95% CrI, 0.83; 1.00).

Conclusions: Area-level socioeconomic features affect both the incidence and the characteristics of FEP, including the probability of individual being migrants, substance users or having a different DUP. Educational deprivation may function as a proxy for culture- or cognitive-related factors. Area-level socioeconomic data may inform public healthcare strategies for early identification and availability of tertiary clinical services.

求助全文
通过发布文献求助,成功后即可免费获取论文全文。 去求助
来源期刊
CiteScore
7.80
自引率
1.20%
发文量
121
审稿时长
>12 weeks
期刊介绍: Epidemiology and Psychiatric Sciences is a prestigious international, peer-reviewed journal that has been publishing in Open Access format since 2020. Formerly known as Epidemiologia e Psichiatria Sociale and established in 1992 by Michele Tansella, the journal prioritizes highly relevant and innovative research articles and systematic reviews in the areas of public mental health and policy, mental health services and system research, as well as epidemiological and social psychiatry. Join us in advancing knowledge and understanding in these critical fields.
×
引用
GB/T 7714-2015
复制
MLA
复制
APA
复制
导出至
BibTeX EndNote RefMan NoteFirst NoteExpress
×
提示
您的信息不完整,为了账户安全,请先补充。
现在去补充
×
提示
您因"违规操作"
具体请查看互助需知
我知道了
×
提示
确定
请完成安全验证×
copy
已复制链接
快去分享给好友吧!
我知道了
右上角分享
点击右上角分享
0
联系我们:info@booksci.cn Book学术提供免费学术资源搜索服务,方便国内外学者检索中英文文献。致力于提供最便捷和优质的服务体验。 Copyright © 2023 布克学术 All rights reserved.
京ICP备2023020795号-1
ghs 京公网安备 11010802042870号
Book学术文献互助
Book学术文献互助群
群 号:604180095
Book学术官方微信