贮存温度和贮存时间对商业口服润肤霜pH值和氧化还原电位的影响。

IF 3.1 Q2 DENTISTRY, ORAL SURGERY & MEDICINE
Mamoru Murakami, Sara Komabashiri, Kae Harada, Takaharu Shimizu, Masahiro Nishimura
{"title":"贮存温度和贮存时间对商业口服润肤霜pH值和氧化还原电位的影响。","authors":"Mamoru Murakami, Sara Komabashiri, Kae Harada, Takaharu Shimizu, Masahiro Nishimura","doi":"10.3390/dj13080344","DOIUrl":null,"url":null,"abstract":"<p><p><b>Background/Objective</b>: The criteria for selecting and managing oral moisturizers have yet to be clearly defined. The purpose of this study was to examine the effects of storage temperature and storage time on the pH and oxidation-reduction potential (ORP) of oral moisturizers. <b>Methods</b>: The pH and ORP of 20 commercially available oral moisturizers stored at 37 °C, 25 °C, and 4 °C were measured immediately after opening (0M) and at 1 month (1M), 3 months (3M), and 6 months (6M) post-opening. The data were analyzed using Fisher's exact test based on the critical pH of enamel and dentin, two-way repeated-measures analysis of variance (ANOVA), and Pearson's correlation analysis. <b>Results</b>: At 0M, 25% of the products had pH values below the critical threshold for enamel, and 75% fell below that for dentin. The distribution of products significantly differed based on critical pH thresholds (<i>p</i> < 0.05). The two-way repeated-measures ANOVA showed that the pH was significantly affected by the storage time (<i>p</i> < 0.05), but not by the storage temperature or its interaction with time. By contrast, ORP was significantly affected by the storage temperature, storage time, and their interaction (<i>p</i> < 0.05). The Pearson's correlation analysis revealed a significant negative correlation between pH and ORP at 4 °C (6M), 25 °C (1M, 3M, 6M), and 37 °C (all time points) (<i>p</i> < 0.05). <b>Conclusions</b>: Many oral moisturizers exhibit acidic pH values, indicating that products with a pH of 6.7 or higher should be selected. Additionally, to minimize degradation, oral moisturizers should be stored at 4 °C and used within 3 months of opening.</p>","PeriodicalId":11269,"journal":{"name":"Dentistry Journal","volume":"13 8","pages":""},"PeriodicalIF":3.1000,"publicationDate":"2025-07-24","publicationTypes":"Journal Article","fieldsOfStudy":null,"isOpenAccess":false,"openAccessPdf":"https://www.ncbi.nlm.nih.gov/pmc/articles/PMC12384499/pdf/","citationCount":"0","resultStr":"{\"title\":\"Effect of Storage Temperature and Storage Time on the pH and Oxidation-Reduction Potential of Commercial Oral Moisturizers.\",\"authors\":\"Mamoru Murakami, Sara Komabashiri, Kae Harada, Takaharu Shimizu, Masahiro Nishimura\",\"doi\":\"10.3390/dj13080344\",\"DOIUrl\":null,\"url\":null,\"abstract\":\"<p><p><b>Background/Objective</b>: The criteria for selecting and managing oral moisturizers have yet to be clearly defined. The purpose of this study was to examine the effects of storage temperature and storage time on the pH and oxidation-reduction potential (ORP) of oral moisturizers. <b>Methods</b>: The pH and ORP of 20 commercially available oral moisturizers stored at 37 °C, 25 °C, and 4 °C were measured immediately after opening (0M) and at 1 month (1M), 3 months (3M), and 6 months (6M) post-opening. The data were analyzed using Fisher's exact test based on the critical pH of enamel and dentin, two-way repeated-measures analysis of variance (ANOVA), and Pearson's correlation analysis. <b>Results</b>: At 0M, 25% of the products had pH values below the critical threshold for enamel, and 75% fell below that for dentin. The distribution of products significantly differed based on critical pH thresholds (<i>p</i> < 0.05). The two-way repeated-measures ANOVA showed that the pH was significantly affected by the storage time (<i>p</i> < 0.05), but not by the storage temperature or its interaction with time. By contrast, ORP was significantly affected by the storage temperature, storage time, and their interaction (<i>p</i> < 0.05). The Pearson's correlation analysis revealed a significant negative correlation between pH and ORP at 4 °C (6M), 25 °C (1M, 3M, 6M), and 37 °C (all time points) (<i>p</i> < 0.05). <b>Conclusions</b>: Many oral moisturizers exhibit acidic pH values, indicating that products with a pH of 6.7 or higher should be selected. Additionally, to minimize degradation, oral moisturizers should be stored at 4 °C and used within 3 months of opening.</p>\",\"PeriodicalId\":11269,\"journal\":{\"name\":\"Dentistry Journal\",\"volume\":\"13 8\",\"pages\":\"\"},\"PeriodicalIF\":3.1000,\"publicationDate\":\"2025-07-24\",\"publicationTypes\":\"Journal Article\",\"fieldsOfStudy\":null,\"isOpenAccess\":false,\"openAccessPdf\":\"https://www.ncbi.nlm.nih.gov/pmc/articles/PMC12384499/pdf/\",\"citationCount\":\"0\",\"resultStr\":null,\"platform\":\"Semanticscholar\",\"paperid\":null,\"PeriodicalName\":\"Dentistry Journal\",\"FirstCategoryId\":\"1085\",\"ListUrlMain\":\"https://doi.org/10.3390/dj13080344\",\"RegionNum\":0,\"RegionCategory\":null,\"ArticlePicture\":[],\"TitleCN\":null,\"AbstractTextCN\":null,\"PMCID\":null,\"EPubDate\":\"\",\"PubModel\":\"\",\"JCR\":\"Q2\",\"JCRName\":\"DENTISTRY, ORAL SURGERY & MEDICINE\",\"Score\":null,\"Total\":0}","platform":"Semanticscholar","paperid":null,"PeriodicalName":"Dentistry Journal","FirstCategoryId":"1085","ListUrlMain":"https://doi.org/10.3390/dj13080344","RegionNum":0,"RegionCategory":null,"ArticlePicture":[],"TitleCN":null,"AbstractTextCN":null,"PMCID":null,"EPubDate":"","PubModel":"","JCR":"Q2","JCRName":"DENTISTRY, ORAL SURGERY & MEDICINE","Score":null,"Total":0}
引用次数: 0

摘要

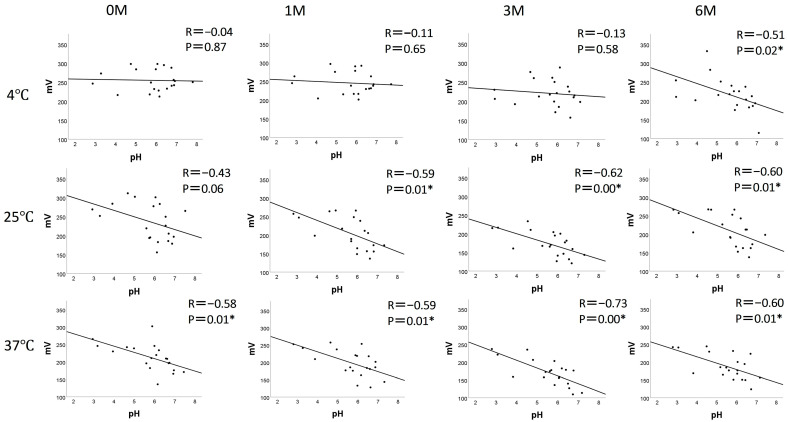
背景/目的:选择和管理口服润肤霜的标准尚未明确定义。本研究的目的是考察贮存温度和贮存时间对口腔润肤霜pH值和氧化还原电位(ORP)的影响。方法:20种市售口服保湿霜分别在37°C、25°C和4°C保存,分别在开启后即刻(0M)、开启后1个月(1M)、3个月(3M)和6个月(6M)测量pH和ORP。采用基于牙釉质和牙本质临界pH值的Fisher精确检验、双向重复测量方差分析(ANOVA)和Pearson相关分析对数据进行分析。结果:0M时,25%的产品pH值低于牙本质的临界值,75%的产品pH值低于牙本质的临界值。不同临界pH阈值的产品分布差异显著(p < 0.05)。双向重复测量方差分析显示,pH值受贮藏时间的影响显著(p < 0.05),但不受贮藏温度及其与时间的交互作用的影响。贮藏温度、贮藏时间及其交互作用对ORP有显著影响(p < 0.05)。Pearson相关分析显示,pH与ORP在4°C (6M)、25°C (1M、3M、6M)和37°C(所有时间点)呈显著负相关(p < 0.05)。结论:许多口服保湿剂呈现酸性pH值,表明应选择pH值为6.7或更高的产品。此外,为了尽量减少降解,口服保湿霜应存放在4°C,并在打开后3个月内使用。
本文章由计算机程序翻译,如有差异,请以英文原文为准。

Effect of Storage Temperature and Storage Time on the pH and Oxidation-Reduction Potential of Commercial Oral Moisturizers.

Effect of Storage Temperature and Storage Time on the pH and Oxidation-Reduction Potential of Commercial Oral Moisturizers.

Effect of Storage Temperature and Storage Time on the pH and Oxidation-Reduction Potential of Commercial Oral Moisturizers.

Background/Objective: The criteria for selecting and managing oral moisturizers have yet to be clearly defined. The purpose of this study was to examine the effects of storage temperature and storage time on the pH and oxidation-reduction potential (ORP) of oral moisturizers. Methods: The pH and ORP of 20 commercially available oral moisturizers stored at 37 °C, 25 °C, and 4 °C were measured immediately after opening (0M) and at 1 month (1M), 3 months (3M), and 6 months (6M) post-opening. The data were analyzed using Fisher's exact test based on the critical pH of enamel and dentin, two-way repeated-measures analysis of variance (ANOVA), and Pearson's correlation analysis. Results: At 0M, 25% of the products had pH values below the critical threshold for enamel, and 75% fell below that for dentin. The distribution of products significantly differed based on critical pH thresholds (p < 0.05). The two-way repeated-measures ANOVA showed that the pH was significantly affected by the storage time (p < 0.05), but not by the storage temperature or its interaction with time. By contrast, ORP was significantly affected by the storage temperature, storage time, and their interaction (p < 0.05). The Pearson's correlation analysis revealed a significant negative correlation between pH and ORP at 4 °C (6M), 25 °C (1M, 3M, 6M), and 37 °C (all time points) (p < 0.05). Conclusions: Many oral moisturizers exhibit acidic pH values, indicating that products with a pH of 6.7 or higher should be selected. Additionally, to minimize degradation, oral moisturizers should be stored at 4 °C and used within 3 months of opening.

求助全文
通过发布文献求助,成功后即可免费获取论文全文。 去求助
来源期刊
Dentistry Journal
Dentistry Journal Dentistry-Dentistry (all)
CiteScore
3.70
自引率
7.70%
发文量
213
审稿时长
11 weeks
×
引用
GB/T 7714-2015
复制
MLA
复制
APA
复制
导出至
BibTeX EndNote RefMan NoteFirst NoteExpress
×
提示
您的信息不完整,为了账户安全,请先补充。
现在去补充
×
提示
您因"违规操作"
具体请查看互助需知
我知道了
×
提示
确定
请完成安全验证×
copy
已复制链接
快去分享给好友吧!
我知道了
右上角分享
点击右上角分享
0
联系我们:info@booksci.cn Book学术提供免费学术资源搜索服务,方便国内外学者检索中英文文献。致力于提供最便捷和优质的服务体验。 Copyright © 2023 布克学术 All rights reserved.
京ICP备2023020795号-1
ghs 京公网安备 11010802042870号
Book学术文献互助
Book学术文献互助群
群 号:604180095
Book学术官方微信