阴道加德纳菌降解耐药α-1,4-葡聚糖与细菌性阴道病有关

IF 2.6 3区 生物学 Q3 MICROBIOLOGY
Rosanne Hertzberger, Sara Morselli, Sara Botschuijver, Lisa Himschoot, Leon Steenbergen, Sylvia Bruisten, Warren Lewis, Piet Cools, Remco Kort
{"title":"阴道加德纳菌降解耐药α-1,4-葡聚糖与细菌性阴道病有关","authors":"Rosanne Hertzberger, Sara Morselli, Sara Botschuijver, Lisa Himschoot, Leon Steenbergen, Sylvia Bruisten, Warren Lewis, Piet Cools, Remco Kort","doi":"10.1007/s00284-025-04459-9","DOIUrl":null,"url":null,"abstract":"<p><p>This study investigates the degradation of resistant α-1,4-glucan by vaginal bacterial species, with a focus on Gardnerella spp., to elucidate its role in bacterial vaginosis (BV). The ability of Gardnerella vaginalis, Gardnerella swidsinskii, Gardnerella leopoldii, Gardnerella piotii, Lactobacillus iners, and Lactobacillus crispatus was assessed to metabolize an ungelatinized, labeled form of raw amylose, a degradation-resistant α-1,4-glucan. The enzymatic activity of these species was evaluated in vitro, and its association with BV was examined in vaginal swabs. Gardnerella vaginalis, G. swidsinskii, and G. leopoldii demonstrated the best ability to degrade resistant α-1,4-glucan in vitro. Unlike the cell-bound, S-layer-associated glycogen-degrading activity in L. crispatus, this α-glucosidase activity in Gardnerella was also extracellular, but not cell-bound and not repressed by glucose. Vaginal swabs showing high rates of resistant α-1,4-glucan degradation activity were associated with BV, particularly in the concurrent presence of G. leopoldii, G. swidsinskii, and G. vaginalis. These findings suggest a role of α-1,4-glucan degradation in BV pathogenesis mediated by Gardnerella species. The results indicate the potential of targeting bacterial amylase activity as therapeutic strategy for BV prevention and treatment.</p>","PeriodicalId":11360,"journal":{"name":"Current Microbiology","volume":"82 10","pages":"487"},"PeriodicalIF":2.6000,"publicationDate":"2025-09-02","publicationTypes":"Journal Article","fieldsOfStudy":null,"isOpenAccess":false,"openAccessPdf":"https://www.ncbi.nlm.nih.gov/pmc/articles/PMC12405377/pdf/","citationCount":"0","resultStr":"{\"title\":\"Degradation of Resistant α-1,4-glucan by Vaginal Gardnerella Species is Associated with Bacterial Vaginosis.\",\"authors\":\"Rosanne Hertzberger, Sara Morselli, Sara Botschuijver, Lisa Himschoot, Leon Steenbergen, Sylvia Bruisten, Warren Lewis, Piet Cools, Remco Kort\",\"doi\":\"10.1007/s00284-025-04459-9\",\"DOIUrl\":null,\"url\":null,\"abstract\":\"<p><p>This study investigates the degradation of resistant α-1,4-glucan by vaginal bacterial species, with a focus on Gardnerella spp., to elucidate its role in bacterial vaginosis (BV). The ability of Gardnerella vaginalis, Gardnerella swidsinskii, Gardnerella leopoldii, Gardnerella piotii, Lactobacillus iners, and Lactobacillus crispatus was assessed to metabolize an ungelatinized, labeled form of raw amylose, a degradation-resistant α-1,4-glucan. The enzymatic activity of these species was evaluated in vitro, and its association with BV was examined in vaginal swabs. Gardnerella vaginalis, G. swidsinskii, and G. leopoldii demonstrated the best ability to degrade resistant α-1,4-glucan in vitro. Unlike the cell-bound, S-layer-associated glycogen-degrading activity in L. crispatus, this α-glucosidase activity in Gardnerella was also extracellular, but not cell-bound and not repressed by glucose. Vaginal swabs showing high rates of resistant α-1,4-glucan degradation activity were associated with BV, particularly in the concurrent presence of G. leopoldii, G. swidsinskii, and G. vaginalis. These findings suggest a role of α-1,4-glucan degradation in BV pathogenesis mediated by Gardnerella species. The results indicate the potential of targeting bacterial amylase activity as therapeutic strategy for BV prevention and treatment.</p>\",\"PeriodicalId\":11360,\"journal\":{\"name\":\"Current Microbiology\",\"volume\":\"82 10\",\"pages\":\"487\"},\"PeriodicalIF\":2.6000,\"publicationDate\":\"2025-09-02\",\"publicationTypes\":\"Journal Article\",\"fieldsOfStudy\":null,\"isOpenAccess\":false,\"openAccessPdf\":\"https://www.ncbi.nlm.nih.gov/pmc/articles/PMC12405377/pdf/\",\"citationCount\":\"0\",\"resultStr\":null,\"platform\":\"Semanticscholar\",\"paperid\":null,\"PeriodicalName\":\"Current Microbiology\",\"FirstCategoryId\":\"99\",\"ListUrlMain\":\"https://doi.org/10.1007/s00284-025-04459-9\",\"RegionNum\":3,\"RegionCategory\":\"生物学\",\"ArticlePicture\":[],\"TitleCN\":null,\"AbstractTextCN\":null,\"PMCID\":null,\"EPubDate\":\"\",\"PubModel\":\"\",\"JCR\":\"Q3\",\"JCRName\":\"MICROBIOLOGY\",\"Score\":null,\"Total\":0}","platform":"Semanticscholar","paperid":null,"PeriodicalName":"Current Microbiology","FirstCategoryId":"99","ListUrlMain":"https://doi.org/10.1007/s00284-025-04459-9","RegionNum":3,"RegionCategory":"生物学","ArticlePicture":[],"TitleCN":null,"AbstractTextCN":null,"PMCID":null,"EPubDate":"","PubModel":"","JCR":"Q3","JCRName":"MICROBIOLOGY","Score":null,"Total":0}
引用次数: 0

摘要

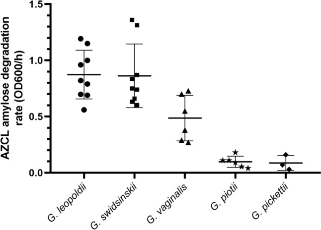
本研究研究了阴道细菌对耐药α-1,4-葡聚糖的降解,以加德纳菌为研究对象,以阐明其在细菌性阴道病(BV)中的作用。评估了阴道加德纳菌、swidsinskii加德纳菌、leopoldii加德纳菌、piotii加德纳菌、iners乳杆菌和crispatus乳杆菌代谢未糊化、标记形式的生直链淀粉的能力,这是一种抗降解的α-1,4-葡聚糖。在体外评估了这些物种的酶活性,并在阴道拭子中检测了其与细菌性阴道炎的关系。阴道加德纳菌、swidsinski和leopoldii对抗性α-1,4-葡聚糖的体外降解能力最好。与L. crispatus中细胞结合的s层相关的糖原降解活性不同,加德纳菌中的α-葡萄糖苷酶活性也是细胞外的,但不是细胞结合的,也不受葡萄糖的抑制。阴道棉签显示出较高的抗性α-1,4-葡聚糖降解活性与细菌性阴道炎有关,特别是在同时存在G. leopoldii、G. swidsinskii和G. vaginalis的情况下。这些结果提示α-1,4-葡聚糖降解在加德纳菌介导的细菌性阴道炎发病机制中的作用。研究结果表明,以细菌淀粉酶活性为靶点,可作为细菌性肠胃炎预防和治疗的治疗策略。
本文章由计算机程序翻译,如有差异,请以英文原文为准。

Degradation of Resistant α-1,4-glucan by Vaginal Gardnerella Species is Associated with Bacterial Vaginosis.

Degradation of Resistant α-1,4-glucan by Vaginal Gardnerella Species is Associated with Bacterial Vaginosis.

Degradation of Resistant α-1,4-glucan by Vaginal Gardnerella Species is Associated with Bacterial Vaginosis.

Degradation of Resistant α-1,4-glucan by Vaginal Gardnerella Species is Associated with Bacterial Vaginosis.

This study investigates the degradation of resistant α-1,4-glucan by vaginal bacterial species, with a focus on Gardnerella spp., to elucidate its role in bacterial vaginosis (BV). The ability of Gardnerella vaginalis, Gardnerella swidsinskii, Gardnerella leopoldii, Gardnerella piotii, Lactobacillus iners, and Lactobacillus crispatus was assessed to metabolize an ungelatinized, labeled form of raw amylose, a degradation-resistant α-1,4-glucan. The enzymatic activity of these species was evaluated in vitro, and its association with BV was examined in vaginal swabs. Gardnerella vaginalis, G. swidsinskii, and G. leopoldii demonstrated the best ability to degrade resistant α-1,4-glucan in vitro. Unlike the cell-bound, S-layer-associated glycogen-degrading activity in L. crispatus, this α-glucosidase activity in Gardnerella was also extracellular, but not cell-bound and not repressed by glucose. Vaginal swabs showing high rates of resistant α-1,4-glucan degradation activity were associated with BV, particularly in the concurrent presence of G. leopoldii, G. swidsinskii, and G. vaginalis. These findings suggest a role of α-1,4-glucan degradation in BV pathogenesis mediated by Gardnerella species. The results indicate the potential of targeting bacterial amylase activity as therapeutic strategy for BV prevention and treatment.

求助全文
通过发布文献求助,成功后即可免费获取论文全文。 去求助
来源期刊
Current Microbiology
Current Microbiology 生物-微生物学
CiteScore
4.80
自引率
3.80%
发文量
380
审稿时长
2.5 months
期刊介绍: Current Microbiology is a well-established journal that publishes articles in all aspects of microbial cells and the interactions between the microorganisms, their hosts and the environment. Current Microbiology publishes original research articles, short communications, reviews and letters to the editor, spanning the following areas: physiology, biochemistry, genetics, genomics, biotechnology, ecology, evolution, morphology, taxonomy, diagnostic methods, medical and clinical microbiology and immunology as applied to microorganisms.
×
引用
GB/T 7714-2015
复制
MLA
复制
APA
复制
导出至
BibTeX EndNote RefMan NoteFirst NoteExpress
×
提示
您的信息不完整,为了账户安全,请先补充。
现在去补充
×
提示
您因"违规操作"
具体请查看互助需知
我知道了
×
提示
确定
请完成安全验证×
copy
已复制链接
快去分享给好友吧!
我知道了
右上角分享
点击右上角分享
0
联系我们:info@booksci.cn Book学术提供免费学术资源搜索服务,方便国内外学者检索中英文文献。致力于提供最便捷和优质的服务体验。 Copyright © 2023 布克学术 All rights reserved.
京ICP备2023020795号-1
ghs 京公网安备 11010802042870号
Book学术文献互助
Book学术文献互助群
群 号:604180095
Book学术官方微信