钠-葡萄糖转运蛋白2抑制剂和西马鲁肽对2型糖尿病和慢性肾病患者体成分的影响:一项生物电阻抗分析的真实世界队列研究

IF 3 3区 医学 Q3 ENDOCRINOLOGY & METABOLISM
Qing Yang, Chunmei Qin, Yanlin Lang, Wenjie Yang, Fenghao Yang, Jia Yang, Ke Liu, Jiamin Yuan, Yutong Zou, Fang Liu
{"title":"钠-葡萄糖转运蛋白2抑制剂和西马鲁肽对2型糖尿病和慢性肾病患者体成分的影响:一项生物电阻抗分析的真实世界队列研究","authors":"Qing Yang, Chunmei Qin, Yanlin Lang, Wenjie Yang, Fenghao Yang, Jia Yang, Ke Liu, Jiamin Yuan, Yutong Zou, Fang Liu","doi":"10.2147/DMSO.S531413","DOIUrl":null,"url":null,"abstract":"<p><strong>Background: </strong>Sodium-glucose transporter 2 inhibitors (SGLT-2Is) and Semaglutide may increase the risk of sarcopenia and bone fragility in vulnerable populations, yet their effects on body composition in patients with type 2 diabetes mellitus (T2DM) and chronic kidney disease (CKD) remain unclear. This study evaluated changes in body composition by SGLT-2Is alone or combined with Semaglutide.</p><p><strong>Methods: </strong>This retrospective cohort included T2DM-CKD patients treated with SGLT-2Is ± Semaglutide for ≥6 months. Body composition (fat, muscle, water, bone mineral content [BMC]) was measured via bioelectrical impedance analysis pre- and post-treatment.</p><p><strong>Results: </strong>Among 73 participants (SGLT-2Is: n = 61; combination: n = 12), both groups showed reductions in total fat mass, total muscle mass, total body water, and BMC. Combination therapy exhibited greater fat mass loss (-0.9 kg [IQR: -3.7,0.4] vs -0.6 kg [-1.7,0.7]; <i>P</i> = 0.011) and muscle mass decline (-1.1 ± 1.2 kg vs -0.4 ± 0.8 kg; <i>P</i> = 0.015) versus monotherapy. Fat mass index (FMI: -1.3 ± 2.4 kg/m² vs -0.2 ± 0.8 kg/m²; <i>P</i> = 0.008) and skeletal muscle index (SMI: -0.4 ± 0.3 kg/m² vs -0.2 ± 0.2 kg/m²; <i>P</i> = 0.002) reduction were also larger with combination therapy. However, muscle mass-to-body weight percentage was increased more in the combination group (1.2 ± 2.4% vs 0.2 ± 1.2%; <i>P</i> = 0.041). No differences between to groups in BMC, fat percentage, or fat-to-muscle ratio (<i>P</i>>0.05). Within the SGLT-2Is group, higher baseline SMI correlated with greater muscle loss, while higher baseline FMI was associated with attenuated BMC decline.</p><p><strong>Conclusion: </strong>SGLT-2Is with/without Semaglutide reduced body composition parameters of fat, muscle, water, and BMC in T2DM-CKD. Combination therapy exacerbated absolute muscle loss but increased the muscle mass-to-body weight percentage, without significantly altering fat-to-muscle ratio. Baseline muscle and fat mass may influence treatment-related changes. Long-term studies in high-risk populations are needed.</p>","PeriodicalId":11116,"journal":{"name":"Diabetes, Metabolic Syndrome and Obesity: Targets and Therapy","volume":"18 ","pages":"2885-2897"},"PeriodicalIF":3.0000,"publicationDate":"2025-08-15","publicationTypes":"Journal Article","fieldsOfStudy":null,"isOpenAccess":false,"openAccessPdf":"https://www.ncbi.nlm.nih.gov/pmc/articles/PMC12363543/pdf/","citationCount":"0","resultStr":"{\"title\":\"Effectiveness of Sodium-Glucose Transporter 2 Inhibitors and Semaglutide on Body Composition in Type 2 Diabetes Mellitus and Chronic Kidney Disease: A Real-World Cohort Study with Bioelectrical Impedance Analysis.\",\"authors\":\"Qing Yang, Chunmei Qin, Yanlin Lang, Wenjie Yang, Fenghao Yang, Jia Yang, Ke Liu, Jiamin Yuan, Yutong Zou, Fang Liu\",\"doi\":\"10.2147/DMSO.S531413\",\"DOIUrl\":null,\"url\":null,\"abstract\":\"<p><strong>Background: </strong>Sodium-glucose transporter 2 inhibitors (SGLT-2Is) and Semaglutide may increase the risk of sarcopenia and bone fragility in vulnerable populations, yet their effects on body composition in patients with type 2 diabetes mellitus (T2DM) and chronic kidney disease (CKD) remain unclear. This study evaluated changes in body composition by SGLT-2Is alone or combined with Semaglutide.</p><p><strong>Methods: </strong>This retrospective cohort included T2DM-CKD patients treated with SGLT-2Is ± Semaglutide for ≥6 months. Body composition (fat, muscle, water, bone mineral content [BMC]) was measured via bioelectrical impedance analysis pre- and post-treatment.</p><p><strong>Results: </strong>Among 73 participants (SGLT-2Is: n = 61; combination: n = 12), both groups showed reductions in total fat mass, total muscle mass, total body water, and BMC. Combination therapy exhibited greater fat mass loss (-0.9 kg [IQR: -3.7,0.4] vs -0.6 kg [-1.7,0.7]; <i>P</i> = 0.011) and muscle mass decline (-1.1 ± 1.2 kg vs -0.4 ± 0.8 kg; <i>P</i> = 0.015) versus monotherapy. Fat mass index (FMI: -1.3 ± 2.4 kg/m² vs -0.2 ± 0.8 kg/m²; <i>P</i> = 0.008) and skeletal muscle index (SMI: -0.4 ± 0.3 kg/m² vs -0.2 ± 0.2 kg/m²; <i>P</i> = 0.002) reduction were also larger with combination therapy. However, muscle mass-to-body weight percentage was increased more in the combination group (1.2 ± 2.4% vs 0.2 ± 1.2%; <i>P</i> = 0.041). No differences between to groups in BMC, fat percentage, or fat-to-muscle ratio (<i>P</i>>0.05). Within the SGLT-2Is group, higher baseline SMI correlated with greater muscle loss, while higher baseline FMI was associated with attenuated BMC decline.</p><p><strong>Conclusion: </strong>SGLT-2Is with/without Semaglutide reduced body composition parameters of fat, muscle, water, and BMC in T2DM-CKD. Combination therapy exacerbated absolute muscle loss but increased the muscle mass-to-body weight percentage, without significantly altering fat-to-muscle ratio. Baseline muscle and fat mass may influence treatment-related changes. Long-term studies in high-risk populations are needed.</p>\",\"PeriodicalId\":11116,\"journal\":{\"name\":\"Diabetes, Metabolic Syndrome and Obesity: Targets and Therapy\",\"volume\":\"18 \",\"pages\":\"2885-2897\"},\"PeriodicalIF\":3.0000,\"publicationDate\":\"2025-08-15\",\"publicationTypes\":\"Journal Article\",\"fieldsOfStudy\":null,\"isOpenAccess\":false,\"openAccessPdf\":\"https://www.ncbi.nlm.nih.gov/pmc/articles/PMC12363543/pdf/\",\"citationCount\":\"0\",\"resultStr\":null,\"platform\":\"Semanticscholar\",\"paperid\":null,\"PeriodicalName\":\"Diabetes, Metabolic Syndrome and Obesity: Targets and Therapy\",\"FirstCategoryId\":\"3\",\"ListUrlMain\":\"https://doi.org/10.2147/DMSO.S531413\",\"RegionNum\":3,\"RegionCategory\":\"医学\",\"ArticlePicture\":[],\"TitleCN\":null,\"AbstractTextCN\":null,\"PMCID\":null,\"EPubDate\":\"2025/1/1 0:00:00\",\"PubModel\":\"eCollection\",\"JCR\":\"Q3\",\"JCRName\":\"ENDOCRINOLOGY & METABOLISM\",\"Score\":null,\"Total\":0}","platform":"Semanticscholar","paperid":null,"PeriodicalName":"Diabetes, Metabolic Syndrome and Obesity: Targets and Therapy","FirstCategoryId":"3","ListUrlMain":"https://doi.org/10.2147/DMSO.S531413","RegionNum":3,"RegionCategory":"医学","ArticlePicture":[],"TitleCN":null,"AbstractTextCN":null,"PMCID":null,"EPubDate":"2025/1/1 0:00:00","PubModel":"eCollection","JCR":"Q3","JCRName":"ENDOCRINOLOGY & METABOLISM","Score":null,"Total":0}
引用次数: 0

摘要

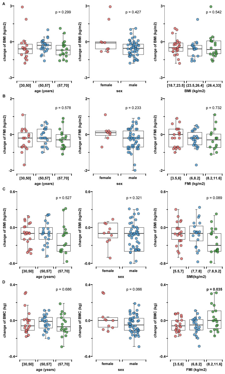
背景:钠-葡萄糖转运蛋白2抑制剂(SGLT-2Is)和Semaglutide可能会增加易感人群肌肉减少症和骨脆性的风险,但它们对2型糖尿病(T2DM)和慢性肾脏疾病(CKD)患者体内成分的影响尚不清楚。本研究评估了SGLT-2Is单独使用或与Semaglutide联合使用对机体成分的影响。方法:本回顾性队列研究纳入了接受SGLT-2Is±Semaglutide治疗≥6个月的T2DM-CKD患者。通过生物阻抗分析测定预处理前后的体成分(脂肪、肌肉、水、骨矿物质含量[BMC])。结果:在73名参与者中(SGLT-2Is: n = 61;联合:n = 12),两组的总脂肪量、总肌肉量、总体内水分和BMC均有所减少。与单一治疗相比,联合治疗表现出更大的脂肪量减少(-0.9 kg [IQR: -3.7,0.4] vs -0.6 kg [-1.7,0.7], P = 0.011)和肌肉量下降(-1.1±1.2 kg vs -0.4±0.8 kg, P = 0.015)。脂肪质量指数(FMI: -1.3±2.4 kg/m²vs -0.2±0.8 kg/m²,P = 0.008)和骨骼肌指数(SMI: -0.4±0.3 kg/m²vs -0.2±0.2 kg/m²,P = 0.002)的降低幅度也更大。然而,联合用药组肌肉质量与体重的比例增加更多(1.2±2.4% vs 0.2±1.2%;P = 0.041)。两组间BMC、脂肪百分比、脂肌比无差异(P < 0.05)。在SGLT-2Is组中,较高的基线SMI与较大的肌肉损失相关,而较高的基线FMI与减轻的BMC下降相关。结论:SGLT-2Is加/不加Semaglutide可降低T2DM-CKD患者体内脂肪、肌肉、水和BMC的组成参数。联合治疗加剧了绝对肌肉损失,但增加了肌肉质量与体重的百分比,没有显著改变脂肪与肌肉的比例。基线肌肉和脂肪量可能影响治疗相关的变化。需要对高危人群进行长期研究。
本文章由计算机程序翻译,如有差异,请以英文原文为准。

Effectiveness of Sodium-Glucose Transporter 2 Inhibitors and Semaglutide on Body Composition in Type 2 Diabetes Mellitus and Chronic Kidney Disease: A Real-World Cohort Study with Bioelectrical Impedance Analysis.

Effectiveness of Sodium-Glucose Transporter 2 Inhibitors and Semaglutide on Body Composition in Type 2 Diabetes Mellitus and Chronic Kidney Disease: A Real-World Cohort Study with Bioelectrical Impedance Analysis.

Effectiveness of Sodium-Glucose Transporter 2 Inhibitors and Semaglutide on Body Composition in Type 2 Diabetes Mellitus and Chronic Kidney Disease: A Real-World Cohort Study with Bioelectrical Impedance Analysis.

Effectiveness of Sodium-Glucose Transporter 2 Inhibitors and Semaglutide on Body Composition in Type 2 Diabetes Mellitus and Chronic Kidney Disease: A Real-World Cohort Study with Bioelectrical Impedance Analysis.

Background: Sodium-glucose transporter 2 inhibitors (SGLT-2Is) and Semaglutide may increase the risk of sarcopenia and bone fragility in vulnerable populations, yet their effects on body composition in patients with type 2 diabetes mellitus (T2DM) and chronic kidney disease (CKD) remain unclear. This study evaluated changes in body composition by SGLT-2Is alone or combined with Semaglutide.

Methods: This retrospective cohort included T2DM-CKD patients treated with SGLT-2Is ± Semaglutide for ≥6 months. Body composition (fat, muscle, water, bone mineral content [BMC]) was measured via bioelectrical impedance analysis pre- and post-treatment.

Results: Among 73 participants (SGLT-2Is: n = 61; combination: n = 12), both groups showed reductions in total fat mass, total muscle mass, total body water, and BMC. Combination therapy exhibited greater fat mass loss (-0.9 kg [IQR: -3.7,0.4] vs -0.6 kg [-1.7,0.7]; P = 0.011) and muscle mass decline (-1.1 ± 1.2 kg vs -0.4 ± 0.8 kg; P = 0.015) versus monotherapy. Fat mass index (FMI: -1.3 ± 2.4 kg/m² vs -0.2 ± 0.8 kg/m²; P = 0.008) and skeletal muscle index (SMI: -0.4 ± 0.3 kg/m² vs -0.2 ± 0.2 kg/m²; P = 0.002) reduction were also larger with combination therapy. However, muscle mass-to-body weight percentage was increased more in the combination group (1.2 ± 2.4% vs 0.2 ± 1.2%; P = 0.041). No differences between to groups in BMC, fat percentage, or fat-to-muscle ratio (P>0.05). Within the SGLT-2Is group, higher baseline SMI correlated with greater muscle loss, while higher baseline FMI was associated with attenuated BMC decline.

Conclusion: SGLT-2Is with/without Semaglutide reduced body composition parameters of fat, muscle, water, and BMC in T2DM-CKD. Combination therapy exacerbated absolute muscle loss but increased the muscle mass-to-body weight percentage, without significantly altering fat-to-muscle ratio. Baseline muscle and fat mass may influence treatment-related changes. Long-term studies in high-risk populations are needed.

求助全文
通过发布文献求助,成功后即可免费获取论文全文。 去求助
来源期刊
Diabetes, Metabolic Syndrome and Obesity: Targets and Therapy
Diabetes, Metabolic Syndrome and Obesity: Targets and Therapy Pharmacology, Toxicology and Pharmaceutics-Pharmacology
CiteScore
5.90
自引率
6.10%
发文量
431
审稿时长
16 weeks
期刊介绍: An international, peer-reviewed, open access, online journal. The journal is committed to the rapid publication of the latest laboratory and clinical findings in the fields of diabetes, metabolic syndrome and obesity research. Original research, review, case reports, hypothesis formation, expert opinion and commentaries are all considered for publication.
×
引用
GB/T 7714-2015
复制
MLA
复制
APA
复制
导出至
BibTeX EndNote RefMan NoteFirst NoteExpress
×
提示
您的信息不完整,为了账户安全,请先补充。
现在去补充
×
提示
您因"违规操作"
具体请查看互助需知
我知道了
×
提示
确定
请完成安全验证×
copy
已复制链接
快去分享给好友吧!
我知道了
右上角分享
点击右上角分享
0
联系我们:info@booksci.cn Book学术提供免费学术资源搜索服务,方便国内外学者检索中英文文献。致力于提供最便捷和优质的服务体验。 Copyright © 2023 布克学术 All rights reserved.
京ICP备2023020795号-1
ghs 京公网安备 11010802042870号
Book学术文献互助
Book学术文献互助群
群 号:604180095
Book学术官方微信