2型糖尿病患者振动感知阈值估计的内脏脂肪面积与大神经纤维功能障碍的j型关系:一项横断面研究。

IF 3 3区 医学 Q3 ENDOCRINOLOGY & METABOLISM
Dou Tang, Xi Gu, Yan Xuan, Qiong Liu, Leiqun Lu
{"title":"2型糖尿病患者振动感知阈值估计的内脏脂肪面积与大神经纤维功能障碍的j型关系:一项横断面研究。","authors":"Dou Tang, Xi Gu, Yan Xuan, Qiong Liu, Leiqun Lu","doi":"10.2147/DMSO.S535989","DOIUrl":null,"url":null,"abstract":"<p><strong>Introduction: </strong>Although obesity has been implicated in the development of diabetic peripheral neuropathy (DPN), the relationship remains controversial. This study aimed to clarify the association between visceral fat area (VFA) and large nerve fiber dysfunction, as estimated by vibration perception threshold (VPT), in young and middle-aged Chinese patients with type 2 diabetes mellitus (T2DM).</p><p><strong>Methods: </strong>This cross-sectional study enrolled 501 adults aged 18-65 years with T2DM between March 2020 and August 2024. Visceral fat area was assessed using bioelectrical impedance analysis, and large nerve fiber dysfunction was evaluated via vibration perception threshold measurement. Multivariable logistic regression, generalized additive models, smooth curve fitting, and two-piecewise regression analyses were employed to explore the relationship between VFA and VPT.</p><p><strong>Results: </strong>Among the participants, 27.5% exhibited abnormal VPT. After adjustment for potential confounders, a nonlinear J-shaped association between VFA and VPT was observed. Two-piecewise logistic regression revealed a turning point at 133.9 cm² with a significant threshold effect (P for log-likelihood ratio test = 0.020). Below this threshold, VFA showed no significant association with abnormal VPT (OR = 1.00; 95% CI, 0.90-1.11; P = 0.978). However, above this threshold, each 10 cm² increase in VFA was associated with a 22% higher risk of abnormal VPT (OR = 1.22; 95% CI, 1.07-1.40; P = 0.003). Subgroup analyses and interaction tests were not significant (all P > 0.05).</p><p><strong>Conclusion: </strong>In young and middle-aged patients with T2DM, the relationship between visceral fat accumulation and large nerve fiber dysfunction exhibits a J-shaped curve. Notably, VFA exceeding the defined threshold of 133.9 cm² significantly increased the risk of impaired nerve function as measured by VPT.</p>","PeriodicalId":11116,"journal":{"name":"Diabetes, Metabolic Syndrome and Obesity: Targets and Therapy","volume":"18 ","pages":"2935-2943"},"PeriodicalIF":3.0000,"publicationDate":"2025-08-20","publicationTypes":"Journal Article","fieldsOfStudy":null,"isOpenAccess":false,"openAccessPdf":"https://www.ncbi.nlm.nih.gov/pmc/articles/PMC12375345/pdf/","citationCount":"0","resultStr":"{\"title\":\"J-Shaped Relationship Between Visceral Fat Area and Large-Nerve Fiber Dysfunction Estimated by Vibration Perception Threshold in Type 2 Diabetes: A Cross-Sectional Study.\",\"authors\":\"Dou Tang, Xi Gu, Yan Xuan, Qiong Liu, Leiqun Lu\",\"doi\":\"10.2147/DMSO.S535989\",\"DOIUrl\":null,\"url\":null,\"abstract\":\"<p><strong>Introduction: </strong>Although obesity has been implicated in the development of diabetic peripheral neuropathy (DPN), the relationship remains controversial. This study aimed to clarify the association between visceral fat area (VFA) and large nerve fiber dysfunction, as estimated by vibration perception threshold (VPT), in young and middle-aged Chinese patients with type 2 diabetes mellitus (T2DM).</p><p><strong>Methods: </strong>This cross-sectional study enrolled 501 adults aged 18-65 years with T2DM between March 2020 and August 2024. Visceral fat area was assessed using bioelectrical impedance analysis, and large nerve fiber dysfunction was evaluated via vibration perception threshold measurement. Multivariable logistic regression, generalized additive models, smooth curve fitting, and two-piecewise regression analyses were employed to explore the relationship between VFA and VPT.</p><p><strong>Results: </strong>Among the participants, 27.5% exhibited abnormal VPT. After adjustment for potential confounders, a nonlinear J-shaped association between VFA and VPT was observed. Two-piecewise logistic regression revealed a turning point at 133.9 cm² with a significant threshold effect (P for log-likelihood ratio test = 0.020). Below this threshold, VFA showed no significant association with abnormal VPT (OR = 1.00; 95% CI, 0.90-1.11; P = 0.978). However, above this threshold, each 10 cm² increase in VFA was associated with a 22% higher risk of abnormal VPT (OR = 1.22; 95% CI, 1.07-1.40; P = 0.003). Subgroup analyses and interaction tests were not significant (all P > 0.05).</p><p><strong>Conclusion: </strong>In young and middle-aged patients with T2DM, the relationship between visceral fat accumulation and large nerve fiber dysfunction exhibits a J-shaped curve. Notably, VFA exceeding the defined threshold of 133.9 cm² significantly increased the risk of impaired nerve function as measured by VPT.</p>\",\"PeriodicalId\":11116,\"journal\":{\"name\":\"Diabetes, Metabolic Syndrome and Obesity: Targets and Therapy\",\"volume\":\"18 \",\"pages\":\"2935-2943\"},\"PeriodicalIF\":3.0000,\"publicationDate\":\"2025-08-20\",\"publicationTypes\":\"Journal Article\",\"fieldsOfStudy\":null,\"isOpenAccess\":false,\"openAccessPdf\":\"https://www.ncbi.nlm.nih.gov/pmc/articles/PMC12375345/pdf/\",\"citationCount\":\"0\",\"resultStr\":null,\"platform\":\"Semanticscholar\",\"paperid\":null,\"PeriodicalName\":\"Diabetes, Metabolic Syndrome and Obesity: Targets and Therapy\",\"FirstCategoryId\":\"3\",\"ListUrlMain\":\"https://doi.org/10.2147/DMSO.S535989\",\"RegionNum\":3,\"RegionCategory\":\"医学\",\"ArticlePicture\":[],\"TitleCN\":null,\"AbstractTextCN\":null,\"PMCID\":null,\"EPubDate\":\"2025/1/1 0:00:00\",\"PubModel\":\"eCollection\",\"JCR\":\"Q3\",\"JCRName\":\"ENDOCRINOLOGY & METABOLISM\",\"Score\":null,\"Total\":0}","platform":"Semanticscholar","paperid":null,"PeriodicalName":"Diabetes, Metabolic Syndrome and Obesity: Targets and Therapy","FirstCategoryId":"3","ListUrlMain":"https://doi.org/10.2147/DMSO.S535989","RegionNum":3,"RegionCategory":"医学","ArticlePicture":[],"TitleCN":null,"AbstractTextCN":null,"PMCID":null,"EPubDate":"2025/1/1 0:00:00","PubModel":"eCollection","JCR":"Q3","JCRName":"ENDOCRINOLOGY & METABOLISM","Score":null,"Total":0}
引用次数: 0

摘要

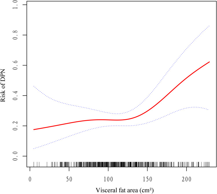
虽然肥胖与糖尿病周围神经病变(DPN)的发展有关,但两者之间的关系仍存在争议。本研究旨在阐明中国中青年2型糖尿病(T2DM)患者通过振动感知阈值(VPT)估计的内脏脂肪面积(VFA)与大神经纤维功能障碍之间的关系。方法:这项横断面研究在2020年3月至2024年8月期间招募了501名年龄在18-65岁的T2DM患者。使用生物电阻抗分析评估内脏脂肪面积,通过振动感知阈值测量评估大神经纤维功能障碍。采用多变量logistic回归、广义加性模型、光滑曲线拟合和两分段回归分析探讨VFA与VPT之间的关系。结果:27.5%的参与者表现为VPT异常。调整潜在混杂因素后,观察到VFA和VPT之间呈非线性j型关联。两段逻辑回归显示转折点在133.9 cm²处,具有显著的阈值效应(对数似然比检验的P = 0.020)。低于该阈值,VFA与VPT异常无显著相关性(OR = 1.00; 95% CI, 0.90-1.11; P = 0.978)。然而,超过这个阈值,VFA每增加10 cm²,VPT异常的风险增加22% (OR = 1.22; 95% CI, 1.07-1.40; P = 0.003)。亚组分析和相互作用试验均无统计学意义(P < 0.05)。结论:中青年T2DM患者内脏脂肪堆积与大神经纤维功能障碍呈“j”型关系。值得注意的是,VFA超过133.9 cm²的定义阈值显著增加了VPT测量的神经功能受损的风险。
本文章由计算机程序翻译,如有差异,请以英文原文为准。

J-Shaped Relationship Between Visceral Fat Area and Large-Nerve Fiber Dysfunction Estimated by Vibration Perception Threshold in Type 2 Diabetes: A Cross-Sectional Study.

J-Shaped Relationship Between Visceral Fat Area and Large-Nerve Fiber Dysfunction Estimated by Vibration Perception Threshold in Type 2 Diabetes: A Cross-Sectional Study.

Introduction: Although obesity has been implicated in the development of diabetic peripheral neuropathy (DPN), the relationship remains controversial. This study aimed to clarify the association between visceral fat area (VFA) and large nerve fiber dysfunction, as estimated by vibration perception threshold (VPT), in young and middle-aged Chinese patients with type 2 diabetes mellitus (T2DM).

Methods: This cross-sectional study enrolled 501 adults aged 18-65 years with T2DM between March 2020 and August 2024. Visceral fat area was assessed using bioelectrical impedance analysis, and large nerve fiber dysfunction was evaluated via vibration perception threshold measurement. Multivariable logistic regression, generalized additive models, smooth curve fitting, and two-piecewise regression analyses were employed to explore the relationship between VFA and VPT.

Results: Among the participants, 27.5% exhibited abnormal VPT. After adjustment for potential confounders, a nonlinear J-shaped association between VFA and VPT was observed. Two-piecewise logistic regression revealed a turning point at 133.9 cm² with a significant threshold effect (P for log-likelihood ratio test = 0.020). Below this threshold, VFA showed no significant association with abnormal VPT (OR = 1.00; 95% CI, 0.90-1.11; P = 0.978). However, above this threshold, each 10 cm² increase in VFA was associated with a 22% higher risk of abnormal VPT (OR = 1.22; 95% CI, 1.07-1.40; P = 0.003). Subgroup analyses and interaction tests were not significant (all P > 0.05).

Conclusion: In young and middle-aged patients with T2DM, the relationship between visceral fat accumulation and large nerve fiber dysfunction exhibits a J-shaped curve. Notably, VFA exceeding the defined threshold of 133.9 cm² significantly increased the risk of impaired nerve function as measured by VPT.

求助全文
通过发布文献求助,成功后即可免费获取论文全文。 去求助
来源期刊
Diabetes, Metabolic Syndrome and Obesity: Targets and Therapy
Diabetes, Metabolic Syndrome and Obesity: Targets and Therapy Pharmacology, Toxicology and Pharmaceutics-Pharmacology
CiteScore
5.90
自引率
6.10%
发文量
431
审稿时长
16 weeks
期刊介绍: An international, peer-reviewed, open access, online journal. The journal is committed to the rapid publication of the latest laboratory and clinical findings in the fields of diabetes, metabolic syndrome and obesity research. Original research, review, case reports, hypothesis formation, expert opinion and commentaries are all considered for publication.
×
引用
GB/T 7714-2015
复制
MLA
复制
APA
复制
导出至
BibTeX EndNote RefMan NoteFirst NoteExpress
×
提示
您的信息不完整,为了账户安全,请先补充。
现在去补充
×
提示
您因"违规操作"
具体请查看互助需知
我知道了
×
提示
确定
请完成安全验证×
copy
已复制链接
快去分享给好友吧!
我知道了
右上角分享
点击右上角分享
0
联系我们:info@booksci.cn Book学术提供免费学术资源搜索服务,方便国内外学者检索中英文文献。致力于提供最便捷和优质的服务体验。 Copyright © 2023 布克学术 All rights reserved.
京ICP备2023020795号-1
ghs 京公网安备 11010802042870号
Book学术文献互助
Book学术文献互助群
群 号:604180095
Book学术官方微信