鸢尾素通过诱导细胞周期阻滞和铁下垂抑制胰腺癌进展。

IF 2.6 4区 医学 Q3 ONCOLOGY
Cancer Management and Research Pub Date : 2025-08-15 eCollection Date: 2025-01-01 DOI:10.2147/CMAR.S540437
Xiao Qu, Bin He, Yaohui Zhang, Li Hang, Ping Lu
{"title":"鸢尾素通过诱导细胞周期阻滞和铁下垂抑制胰腺癌进展。","authors":"Xiao Qu, Bin He, Yaohui Zhang, Li Hang, Ping Lu","doi":"10.2147/CMAR.S540437","DOIUrl":null,"url":null,"abstract":"<p><strong>Background: </strong>Pancreatic cancer is a highly aggressive malignancy with limited therapeutic options and poor prognosis. Erianin, a natural product, has shown anti-cancer properties in various malignancies, but its effects on pancreatic cancer and the underlying mechanisms remain poorly understood.</p><p><strong>Aim: </strong>This study aimed to evaluate the anti-tumor effects of erianin on pancreatic cancer cells and to explore the regulatory mechanisms involved.</p><p><strong>Methods: </strong>PANC-1 and ASPC-1 pancreatic cancer cells were treated with erianin at different concentrations. Cell viability and proliferation were assessed using the Cell Counting Kit-8 (CCK-8) assay and colony formation assay. Cell cycle distribution was analyzed by flow cytometry. Ferroptosis was evaluated by measuring levels of Fe²⁺, total iron, and lipid reactive oxygen species (ROS). Western blotting was used to detect</mark> the expression of cell cycle regulators and ferroptosis-related proteins.</p><p><strong>Results: </strong>Erianin significantly suppressed pancreatic cancer cell viability and proliferation in a dose-dependent manner. It induced G0/G1 phase arrest, accompanied by downregulation of cyclin D1 and cyclin A. Furthermore, erianin promoted ferroptosis, as evidenced by increased Fe²⁺, total iron, and lipid ROS levels, along with reduced glutathione peroxidase 4 (GPX4) and solute carrier family 7 member 11 (SLC7A11) expression. The ferroptosis inhibitor Ferrostatin-1 reversed these effects, validating ferroptosis as a critical mechanism in erianin's anti-cancer activity.</p><p><strong>Conclusion: </strong>Erianin exerts potent anti-tumor effects on pancreatic cancer cells by inducing cell cycle arrest and ferroptosis. These findings establish erianin as a promising therapeutic candidate for pancreatic cancer treatment.</p>","PeriodicalId":9479,"journal":{"name":"Cancer Management and Research","volume":"17 ","pages":"1657-1666"},"PeriodicalIF":2.6000,"publicationDate":"2025-08-15","publicationTypes":"Journal Article","fieldsOfStudy":null,"isOpenAccess":false,"openAccessPdf":"https://www.ncbi.nlm.nih.gov/pmc/articles/PMC12364003/pdf/","citationCount":"0","resultStr":"{\"title\":\"Erianin Suppresses Pancreatic Cancer Progression by Inducing Cell Cycle Arrest and Ferroptosis.\",\"authors\":\"Xiao Qu, Bin He, Yaohui Zhang, Li Hang, Ping Lu\",\"doi\":\"10.2147/CMAR.S540437\",\"DOIUrl\":null,\"url\":null,\"abstract\":\"<p><strong>Background: </strong>Pancreatic cancer is a highly aggressive malignancy with limited therapeutic options and poor prognosis. Erianin, a natural product, has shown anti-cancer properties in various malignancies, but its effects on pancreatic cancer and the underlying mechanisms remain poorly understood.</p><p><strong>Aim: </strong>This study aimed to evaluate the anti-tumor effects of erianin on pancreatic cancer cells and to explore the regulatory mechanisms involved.</p><p><strong>Methods: </strong>PANC-1 and ASPC-1 pancreatic cancer cells were treated with erianin at different concentrations. Cell viability and proliferation were assessed using the Cell Counting Kit-8 (CCK-8) assay and colony formation assay. Cell cycle distribution was analyzed by flow cytometry. Ferroptosis was evaluated by measuring levels of Fe²⁺, total iron, and lipid reactive oxygen species (ROS). Western blotting was used to detect</mark> the expression of cell cycle regulators and ferroptosis-related proteins.</p><p><strong>Results: </strong>Erianin significantly suppressed pancreatic cancer cell viability and proliferation in a dose-dependent manner. It induced G0/G1 phase arrest, accompanied by downregulation of cyclin D1 and cyclin A. Furthermore, erianin promoted ferroptosis, as evidenced by increased Fe²⁺, total iron, and lipid ROS levels, along with reduced glutathione peroxidase 4 (GPX4) and solute carrier family 7 member 11 (SLC7A11) expression. The ferroptosis inhibitor Ferrostatin-1 reversed these effects, validating ferroptosis as a critical mechanism in erianin's anti-cancer activity.</p><p><strong>Conclusion: </strong>Erianin exerts potent anti-tumor effects on pancreatic cancer cells by inducing cell cycle arrest and ferroptosis. These findings establish erianin as a promising therapeutic candidate for pancreatic cancer treatment.</p>\",\"PeriodicalId\":9479,\"journal\":{\"name\":\"Cancer Management and Research\",\"volume\":\"17 \",\"pages\":\"1657-1666\"},\"PeriodicalIF\":2.6000,\"publicationDate\":\"2025-08-15\",\"publicationTypes\":\"Journal Article\",\"fieldsOfStudy\":null,\"isOpenAccess\":false,\"openAccessPdf\":\"https://www.ncbi.nlm.nih.gov/pmc/articles/PMC12364003/pdf/\",\"citationCount\":\"0\",\"resultStr\":null,\"platform\":\"Semanticscholar\",\"paperid\":null,\"PeriodicalName\":\"Cancer Management and Research\",\"FirstCategoryId\":\"3\",\"ListUrlMain\":\"https://doi.org/10.2147/CMAR.S540437\",\"RegionNum\":4,\"RegionCategory\":\"医学\",\"ArticlePicture\":[],\"TitleCN\":null,\"AbstractTextCN\":null,\"PMCID\":null,\"EPubDate\":\"2025/1/1 0:00:00\",\"PubModel\":\"eCollection\",\"JCR\":\"Q3\",\"JCRName\":\"ONCOLOGY\",\"Score\":null,\"Total\":0}","platform":"Semanticscholar","paperid":null,"PeriodicalName":"Cancer Management and Research","FirstCategoryId":"3","ListUrlMain":"https://doi.org/10.2147/CMAR.S540437","RegionNum":4,"RegionCategory":"医学","ArticlePicture":[],"TitleCN":null,"AbstractTextCN":null,"PMCID":null,"EPubDate":"2025/1/1 0:00:00","PubModel":"eCollection","JCR":"Q3","JCRName":"ONCOLOGY","Score":null,"Total":0}
引用次数: 0

摘要

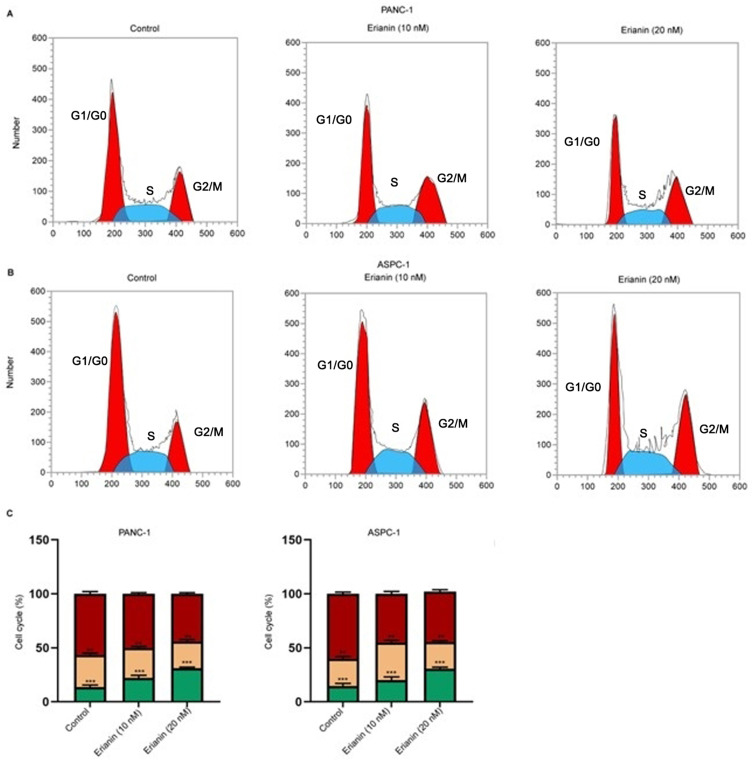
背景:胰腺癌是一种高度侵袭性的恶性肿瘤,治疗选择有限,预后差。Erianin是一种天然产物,在多种恶性肿瘤中显示出抗癌特性,但其对胰腺癌的作用及其潜在机制尚不清楚。目的:研究羊藿苷对胰腺癌细胞的抗肿瘤作用,并探讨其调控机制。方法:用不同浓度的羊角苷处理胰腺癌细胞PANC-1和ASPC-1。采用细胞计数试剂盒-8 (CCK-8)法和集落形成法评估细胞活力和增殖能力。流式细胞术分析细胞周期分布。通过测量Fe 2 +、总铁和脂质活性氧(ROS)的水平来评估铁下垂。Western blotting检测细胞周期调节因子和凋亡相关蛋白的表达。结果:苦楝苷能明显抑制胰腺癌细胞活力和增殖,并呈剂量依赖性。它诱导G0/G1期阻滞,并伴有cyclin D1和cyclin a的下调。此外,羊角苷促进铁下垂,这可以通过增加Fe 2 +、总铁和脂质ROS水平,以及降低谷胱甘肽过氧化物酶4 (GPX4)和溶质载体家族7成员11 (SLC7A11)的表达来证明。铁下垂抑制剂铁抑素-1逆转了这些作用,验证了铁下垂是缬草蛋白抗癌活性的关键机制。结论:苦楝苷对胰腺癌细胞具有较强的抗肿瘤作用,其机制可能是诱导细胞周期阻滞和铁下垂。这些发现确立了缬氨酸作为胰腺癌治疗的有希望的候选药物。
本文章由计算机程序翻译,如有差异,请以英文原文为准。

Erianin Suppresses Pancreatic Cancer Progression by Inducing Cell Cycle Arrest and Ferroptosis.

Erianin Suppresses Pancreatic Cancer Progression by Inducing Cell Cycle Arrest and Ferroptosis.

Erianin Suppresses Pancreatic Cancer Progression by Inducing Cell Cycle Arrest and Ferroptosis.

Erianin Suppresses Pancreatic Cancer Progression by Inducing Cell Cycle Arrest and Ferroptosis.

Background: Pancreatic cancer is a highly aggressive malignancy with limited therapeutic options and poor prognosis. Erianin, a natural product, has shown anti-cancer properties in various malignancies, but its effects on pancreatic cancer and the underlying mechanisms remain poorly understood.

Aim: This study aimed to evaluate the anti-tumor effects of erianin on pancreatic cancer cells and to explore the regulatory mechanisms involved.

Methods: PANC-1 and ASPC-1 pancreatic cancer cells were treated with erianin at different concentrations. Cell viability and proliferation were assessed using the Cell Counting Kit-8 (CCK-8) assay and colony formation assay. Cell cycle distribution was analyzed by flow cytometry. Ferroptosis was evaluated by measuring levels of Fe²⁺, total iron, and lipid reactive oxygen species (ROS). Western blotting was used to detect the expression of cell cycle regulators and ferroptosis-related proteins.

Results: Erianin significantly suppressed pancreatic cancer cell viability and proliferation in a dose-dependent manner. It induced G0/G1 phase arrest, accompanied by downregulation of cyclin D1 and cyclin A. Furthermore, erianin promoted ferroptosis, as evidenced by increased Fe²⁺, total iron, and lipid ROS levels, along with reduced glutathione peroxidase 4 (GPX4) and solute carrier family 7 member 11 (SLC7A11) expression. The ferroptosis inhibitor Ferrostatin-1 reversed these effects, validating ferroptosis as a critical mechanism in erianin's anti-cancer activity.

Conclusion: Erianin exerts potent anti-tumor effects on pancreatic cancer cells by inducing cell cycle arrest and ferroptosis. These findings establish erianin as a promising therapeutic candidate for pancreatic cancer treatment.

求助全文
通过发布文献求助,成功后即可免费获取论文全文。 去求助
来源期刊
Cancer Management and Research
Cancer Management and Research Medicine-Oncology
CiteScore
7.40
自引率
0.00%
发文量
448
审稿时长
16 weeks
期刊介绍: Cancer Management and Research is an international, peer reviewed, open access journal focusing on cancer research and the optimal use of preventative and integrated treatment interventions to achieve improved outcomes, enhanced survival, and quality of life for cancer patients. Specific topics covered in the journal include: ◦Epidemiology, detection and screening ◦Cellular research and biomarkers ◦Identification of biotargets and agents with novel mechanisms of action ◦Optimal clinical use of existing anticancer agents, including combination therapies ◦Radiation and surgery ◦Palliative care ◦Patient adherence, quality of life, satisfaction The journal welcomes submitted papers covering original research, basic science, clinical & epidemiological studies, reviews & evaluations, guidelines, expert opinion and commentary, and case series that shed novel insights on a disease or disease subtype.
×
引用
GB/T 7714-2015
复制
MLA
复制
APA
复制
导出至
BibTeX EndNote RefMan NoteFirst NoteExpress
×
提示
您的信息不完整,为了账户安全,请先补充。
现在去补充
×
提示
您因"违规操作"
具体请查看互助需知
我知道了
×
提示
确定
请完成安全验证×
copy
已复制链接
快去分享给好友吧!
我知道了
右上角分享
点击右上角分享
0
联系我们:info@booksci.cn Book学术提供免费学术资源搜索服务,方便国内外学者检索中英文文献。致力于提供最便捷和优质的服务体验。 Copyright © 2023 布克学术 All rights reserved.
京ICP备2023020795号-1
ghs 京公网安备 11010802042870号
Book学术文献互助
Book学术文献互助群
群 号:604180095
Book学术官方微信