年轻人脂肪变性肝病亚型与房颤发生率之间的关系:一项全国性队列研究

IF 10.6 1区 医学 Q1 CARDIAC & CARDIOVASCULAR SYSTEMS
Jeayeon Park, Goh Eun Chung, Su Jong Yu, Yoon Jun Kim, Jung-Hwan Yoon, Kyungdo Han, Eun Ju Cho
{"title":"年轻人脂肪变性肝病亚型与房颤发生率之间的关系:一项全国性队列研究","authors":"Jeayeon Park, Goh Eun Chung, Su Jong Yu, Yoon Jun Kim, Jung-Hwan Yoon, Kyungdo Han, Eun Ju Cho","doi":"10.1186/s12933-025-02905-3","DOIUrl":null,"url":null,"abstract":"<p><strong>Background/aim: </strong>Metabolic dysfunction is emerging as a significant risk factor for atrial fibrillation (AF) and serves as a foundational component of both metabolic dysfunction-associated steatotic liver disease (MASLD) and MASLD with moderate alcohol intake (MetALD). As the prevalence of steatotic liver disease (SLD) rises among young adults, clarifying its association with AF in this population has become a clinical priority. Accordingly, we aimed to investigate the link between different SLD subtypes and the risk of incident AF in young adults.</p><p><strong>Methods: </strong>In this nationwide cohort study, we analyzed data from the Korean National Health Insurance Service and included individuals aged 20-39 years who underwent health screening examinations between 2009 and 2012. The participants were categorized into either the non-SLD group or the SLD group, which was defined by a fatty liver index ≥ 30. SLD was further subclassified into MASLD, MetALD, and alcohol-associated liver disease (ALD) for analysis. The risk of incident AF was evaluated using Cox proportional hazards models.</p><p><strong>Results: </strong>A total of 6,375,710 young adults (mean age 30.9 years; 59.4% male) were included, with a median follow-up period of 10.6 years. The prevalence of SLD was 27.8%, which included cases of MASLD (81.7%), MetALD (13.5%), and ALD (4.7%). The risk of incident AF was significantly elevated in individuals with SLD, with progressive increases across MASLD, MetALD, and ALD subtypes. Compared with those of the non-SLD group, the adjusted hazard ratios for AF were 1.09 (95% confidence interval [CI], 1.05-1.31) in the MASLD group, 1.29 (95% CI, 1.22-1.36) in the MetALD group, and 1.52 (95% CI, 1.41-1.65) in the ALD group.</p><p><strong>Conclusion: </strong>SLD is associated with new-onset AF, with a progressively increased risk across MASLD, MetALD, and ALD subtypes in young adults. Given the modifiable nature of these risks, early interventions are essential to prevent long-term cardiovascular complications and reduce the future disease burden.</p>","PeriodicalId":9374,"journal":{"name":"Cardiovascular Diabetology","volume":"24 1","pages":"348"},"PeriodicalIF":10.6000,"publicationDate":"2025-08-25","publicationTypes":"Journal Article","fieldsOfStudy":null,"isOpenAccess":false,"openAccessPdf":"https://www.ncbi.nlm.nih.gov/pmc/articles/PMC12376484/pdf/","citationCount":"0","resultStr":"{\"title\":\"Associations between steatotic liver disease subtypes and incident atrial fibrillation in young adults: a nationwide cohort study.\",\"authors\":\"Jeayeon Park, Goh Eun Chung, Su Jong Yu, Yoon Jun Kim, Jung-Hwan Yoon, Kyungdo Han, Eun Ju Cho\",\"doi\":\"10.1186/s12933-025-02905-3\",\"DOIUrl\":null,\"url\":null,\"abstract\":\"<p><strong>Background/aim: </strong>Metabolic dysfunction is emerging as a significant risk factor for atrial fibrillation (AF) and serves as a foundational component of both metabolic dysfunction-associated steatotic liver disease (MASLD) and MASLD with moderate alcohol intake (MetALD). As the prevalence of steatotic liver disease (SLD) rises among young adults, clarifying its association with AF in this population has become a clinical priority. Accordingly, we aimed to investigate the link between different SLD subtypes and the risk of incident AF in young adults.</p><p><strong>Methods: </strong>In this nationwide cohort study, we analyzed data from the Korean National Health Insurance Service and included individuals aged 20-39 years who underwent health screening examinations between 2009 and 2012. The participants were categorized into either the non-SLD group or the SLD group, which was defined by a fatty liver index ≥ 30. SLD was further subclassified into MASLD, MetALD, and alcohol-associated liver disease (ALD) for analysis. The risk of incident AF was evaluated using Cox proportional hazards models.</p><p><strong>Results: </strong>A total of 6,375,710 young adults (mean age 30.9 years; 59.4% male) were included, with a median follow-up period of 10.6 years. The prevalence of SLD was 27.8%, which included cases of MASLD (81.7%), MetALD (13.5%), and ALD (4.7%). The risk of incident AF was significantly elevated in individuals with SLD, with progressive increases across MASLD, MetALD, and ALD subtypes. Compared with those of the non-SLD group, the adjusted hazard ratios for AF were 1.09 (95% confidence interval [CI], 1.05-1.31) in the MASLD group, 1.29 (95% CI, 1.22-1.36) in the MetALD group, and 1.52 (95% CI, 1.41-1.65) in the ALD group.</p><p><strong>Conclusion: </strong>SLD is associated with new-onset AF, with a progressively increased risk across MASLD, MetALD, and ALD subtypes in young adults. Given the modifiable nature of these risks, early interventions are essential to prevent long-term cardiovascular complications and reduce the future disease burden.</p>\",\"PeriodicalId\":9374,\"journal\":{\"name\":\"Cardiovascular Diabetology\",\"volume\":\"24 1\",\"pages\":\"348\"},\"PeriodicalIF\":10.6000,\"publicationDate\":\"2025-08-25\",\"publicationTypes\":\"Journal Article\",\"fieldsOfStudy\":null,\"isOpenAccess\":false,\"openAccessPdf\":\"https://www.ncbi.nlm.nih.gov/pmc/articles/PMC12376484/pdf/\",\"citationCount\":\"0\",\"resultStr\":null,\"platform\":\"Semanticscholar\",\"paperid\":null,\"PeriodicalName\":\"Cardiovascular Diabetology\",\"FirstCategoryId\":\"3\",\"ListUrlMain\":\"https://doi.org/10.1186/s12933-025-02905-3\",\"RegionNum\":1,\"RegionCategory\":\"医学\",\"ArticlePicture\":[],\"TitleCN\":null,\"AbstractTextCN\":null,\"PMCID\":null,\"EPubDate\":\"\",\"PubModel\":\"\",\"JCR\":\"Q1\",\"JCRName\":\"CARDIAC & CARDIOVASCULAR SYSTEMS\",\"Score\":null,\"Total\":0}","platform":"Semanticscholar","paperid":null,"PeriodicalName":"Cardiovascular Diabetology","FirstCategoryId":"3","ListUrlMain":"https://doi.org/10.1186/s12933-025-02905-3","RegionNum":1,"RegionCategory":"医学","ArticlePicture":[],"TitleCN":null,"AbstractTextCN":null,"PMCID":null,"EPubDate":"","PubModel":"","JCR":"Q1","JCRName":"CARDIAC & CARDIOVASCULAR SYSTEMS","Score":null,"Total":0}
引用次数: 0

摘要

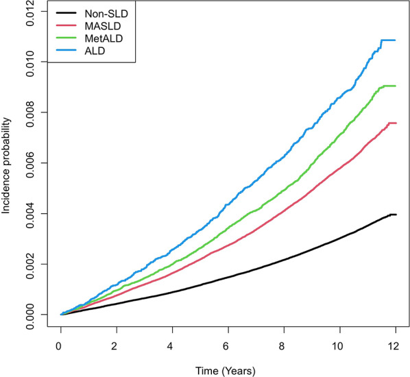
背景/目的:代谢功能障碍正在成为心房颤动(AF)的一个重要危险因素,并且是代谢功能障碍相关的脂肪变性肝病(MASLD)和中度酒精摄入的MASLD (MetALD)的基础组成部分。随着年轻人中脂肪变性肝病(SLD)患病率的上升,在这一人群中明确其与房颤的关系已成为临床重点。因此,我们的目的是研究不同SLD亚型与年轻成人发生房颤风险之间的联系。方法:在这项全国性队列研究中,我们分析了来自韩国国民健康保险服务的数据,并纳入了2009年至2012年间接受健康筛查的20-39岁个体。参与者分为非SLD组和SLD组,SLD组以脂肪肝指数≥30为标准。SLD进一步细分为MASLD、MetALD和酒精相关性肝病(ALD)进行分析。使用Cox比例风险模型评估偶发性房颤的风险。结果:共纳入6375710名年轻人(平均年龄30.9岁,男性59.4%),中位随访时间10.6年。SLD的患病率为27.8%,其中包括MASLD(81.7%)、MetALD(13.5%)和ALD(4.7%)。SLD患者发生AF的风险显著升高,在MASLD、MetALD和ALD亚型中逐渐增加。与非sld组相比,MASLD组AF的校正风险比为1.09(95%可信区间[CI], 1.05-1.31), MetALD组为1.29 (95% CI, 1.22-1.36), ALD组为1.52 (95% CI, 1.41-1.65)。结论:SLD与新发房颤相关,在年轻人中,MASLD、MetALD和ALD亚型的风险逐渐增加。鉴于这些风险的可改变性质,早期干预对于预防长期心血管并发症和减少未来的疾病负担至关重要。
本文章由计算机程序翻译,如有差异,请以英文原文为准。

Associations between steatotic liver disease subtypes and incident atrial fibrillation in young adults: a nationwide cohort study.

Associations between steatotic liver disease subtypes and incident atrial fibrillation in young adults: a nationwide cohort study.

Associations between steatotic liver disease subtypes and incident atrial fibrillation in young adults: a nationwide cohort study.

Background/aim: Metabolic dysfunction is emerging as a significant risk factor for atrial fibrillation (AF) and serves as a foundational component of both metabolic dysfunction-associated steatotic liver disease (MASLD) and MASLD with moderate alcohol intake (MetALD). As the prevalence of steatotic liver disease (SLD) rises among young adults, clarifying its association with AF in this population has become a clinical priority. Accordingly, we aimed to investigate the link between different SLD subtypes and the risk of incident AF in young adults.

Methods: In this nationwide cohort study, we analyzed data from the Korean National Health Insurance Service and included individuals aged 20-39 years who underwent health screening examinations between 2009 and 2012. The participants were categorized into either the non-SLD group or the SLD group, which was defined by a fatty liver index ≥ 30. SLD was further subclassified into MASLD, MetALD, and alcohol-associated liver disease (ALD) for analysis. The risk of incident AF was evaluated using Cox proportional hazards models.

Results: A total of 6,375,710 young adults (mean age 30.9 years; 59.4% male) were included, with a median follow-up period of 10.6 years. The prevalence of SLD was 27.8%, which included cases of MASLD (81.7%), MetALD (13.5%), and ALD (4.7%). The risk of incident AF was significantly elevated in individuals with SLD, with progressive increases across MASLD, MetALD, and ALD subtypes. Compared with those of the non-SLD group, the adjusted hazard ratios for AF were 1.09 (95% confidence interval [CI], 1.05-1.31) in the MASLD group, 1.29 (95% CI, 1.22-1.36) in the MetALD group, and 1.52 (95% CI, 1.41-1.65) in the ALD group.

Conclusion: SLD is associated with new-onset AF, with a progressively increased risk across MASLD, MetALD, and ALD subtypes in young adults. Given the modifiable nature of these risks, early interventions are essential to prevent long-term cardiovascular complications and reduce the future disease burden.

求助全文
通过发布文献求助,成功后即可免费获取论文全文。 去求助
来源期刊
Cardiovascular Diabetology
Cardiovascular Diabetology 医学-内分泌学与代谢
CiteScore
12.30
自引率
15.10%
发文量
240
审稿时长
1 months
期刊介绍: Cardiovascular Diabetology is a journal that welcomes manuscripts exploring various aspects of the relationship between diabetes, cardiovascular health, and the metabolic syndrome. We invite submissions related to clinical studies, genetic investigations, experimental research, pharmacological studies, epidemiological analyses, and molecular biology research in this field.
×
引用
GB/T 7714-2015
复制
MLA
复制
APA
复制
导出至
BibTeX EndNote RefMan NoteFirst NoteExpress
×
提示
您的信息不完整,为了账户安全,请先补充。
现在去补充
×
提示
您因"违规操作"
具体请查看互助需知
我知道了
×
提示
确定
请完成安全验证×
copy
已复制链接
快去分享给好友吧!
我知道了
右上角分享
点击右上角分享
0
联系我们:info@booksci.cn Book学术提供免费学术资源搜索服务,方便国内外学者检索中英文文献。致力于提供最便捷和优质的服务体验。 Copyright © 2023 布克学术 All rights reserved.
京ICP备2023020795号-1
ghs 京公网安备 11010802042870号
Book学术文献互助
Book学术文献互助群
群 号:604180095
Book学术官方微信