眼科基础模型:超广角眼底图像人工智能辅助诊断近视黄斑病和后葡萄肿的初步研究。

IF 2.2 Q2 OPHTHALMOLOGY
Juzhao Zhang, Tao Yu, Mengjia Zhang, Yuzhu Zhang, Yingyan Ma, Wenwen Xue, Hao Zhou, Senlin Lin, Haidong Zou, Xian Xu
{"title":"眼科基础模型:超广角眼底图像人工智能辅助诊断近视黄斑病和后葡萄肿的初步研究。","authors":"Juzhao Zhang, Tao Yu, Mengjia Zhang, Yuzhu Zhang, Yingyan Ma, Wenwen Xue, Hao Zhou, Senlin Lin, Haidong Zou, Xian Xu","doi":"10.1136/bmjophth-2024-002073","DOIUrl":null,"url":null,"abstract":"<p><strong>Objectives: </strong>This study aims to detect characteristic fundus changes in pathological myopia using deep learning (DL)-based analysis of ultra-widefield (UWF) fundus imaging.</p><p><strong>Methods: </strong>Following the exclusion of low-quality images, this cross-sectional study used 1105 UWF images from 543 patients with high myopia to develop the model, along with 293 images from 150 patients with high myopia for external testing. All images were retrospectively collected from patients with high myopia at Shanghai General Hospital and Shanghai Eye Diseases Prevention and Treatment Center between 2018 and 2024. We trained a DL model based on an ophthalmology foundational model to detect myopic maculopathy (MM) and posterior staphyloma (PS).</p><p><strong>Results: </strong>The proposed RETFound-enhanced model demonstrated robust performance. For five-category classification of MM, it achieved 65.4% accuracy and an F1 score of 0.648, outperforming other methods. In three-category MM classification, it achieved 79.4% accuracy and an F1 score of 0.793. For PS detection, the model reached 84.1% accuracy, an F1 score of 0.814 and an area under the receiver operating characteristic curve (AUROC) of 0.886, highlighting its effectiveness as a screening tool. External validation showed consistent performance, with 64.4% accuracy for five-category MM classification, 79.8% accuracy for three-category classification and 81.2% accuracy for PS, confirming robustness across cohorts.</p><p><strong>Conclusions: </strong>This study presents an effective diagnostic model for pathological myopia using UWF fundus imaging and a foundation model. The integration of DL with non-mydriatic UWF fundus imaging demonstrates promising potential for applications in primary healthcare, particularly in underserved areas, enabling accessible screening for high myopia-related fundus changes.</p>","PeriodicalId":9286,"journal":{"name":"BMJ Open Ophthalmology","volume":"10 1","pages":""},"PeriodicalIF":2.2000,"publicationDate":"2025-08-28","publicationTypes":"Journal Article","fieldsOfStudy":null,"isOpenAccess":false,"openAccessPdf":"https://www.ncbi.nlm.nih.gov/pmc/articles/PMC12410655/pdf/","citationCount":"0","resultStr":"{\"title\":\"Foundation models in ophthalmology: a preliminary study on AI-assisted diagnosis of myopic maculopathy and posterior staphyloma using ultra-widefield fundus images.\",\"authors\":\"Juzhao Zhang, Tao Yu, Mengjia Zhang, Yuzhu Zhang, Yingyan Ma, Wenwen Xue, Hao Zhou, Senlin Lin, Haidong Zou, Xian Xu\",\"doi\":\"10.1136/bmjophth-2024-002073\",\"DOIUrl\":null,\"url\":null,\"abstract\":\"<p><strong>Objectives: </strong>This study aims to detect characteristic fundus changes in pathological myopia using deep learning (DL)-based analysis of ultra-widefield (UWF) fundus imaging.</p><p><strong>Methods: </strong>Following the exclusion of low-quality images, this cross-sectional study used 1105 UWF images from 543 patients with high myopia to develop the model, along with 293 images from 150 patients with high myopia for external testing. All images were retrospectively collected from patients with high myopia at Shanghai General Hospital and Shanghai Eye Diseases Prevention and Treatment Center between 2018 and 2024. We trained a DL model based on an ophthalmology foundational model to detect myopic maculopathy (MM) and posterior staphyloma (PS).</p><p><strong>Results: </strong>The proposed RETFound-enhanced model demonstrated robust performance. For five-category classification of MM, it achieved 65.4% accuracy and an F1 score of 0.648, outperforming other methods. In three-category MM classification, it achieved 79.4% accuracy and an F1 score of 0.793. For PS detection, the model reached 84.1% accuracy, an F1 score of 0.814 and an area under the receiver operating characteristic curve (AUROC) of 0.886, highlighting its effectiveness as a screening tool. External validation showed consistent performance, with 64.4% accuracy for five-category MM classification, 79.8% accuracy for three-category classification and 81.2% accuracy for PS, confirming robustness across cohorts.</p><p><strong>Conclusions: </strong>This study presents an effective diagnostic model for pathological myopia using UWF fundus imaging and a foundation model. The integration of DL with non-mydriatic UWF fundus imaging demonstrates promising potential for applications in primary healthcare, particularly in underserved areas, enabling accessible screening for high myopia-related fundus changes.</p>\",\"PeriodicalId\":9286,\"journal\":{\"name\":\"BMJ Open Ophthalmology\",\"volume\":\"10 1\",\"pages\":\"\"},\"PeriodicalIF\":2.2000,\"publicationDate\":\"2025-08-28\",\"publicationTypes\":\"Journal Article\",\"fieldsOfStudy\":null,\"isOpenAccess\":false,\"openAccessPdf\":\"https://www.ncbi.nlm.nih.gov/pmc/articles/PMC12410655/pdf/\",\"citationCount\":\"0\",\"resultStr\":null,\"platform\":\"Semanticscholar\",\"paperid\":null,\"PeriodicalName\":\"BMJ Open Ophthalmology\",\"FirstCategoryId\":\"1085\",\"ListUrlMain\":\"https://doi.org/10.1136/bmjophth-2024-002073\",\"RegionNum\":0,\"RegionCategory\":null,\"ArticlePicture\":[],\"TitleCN\":null,\"AbstractTextCN\":null,\"PMCID\":null,\"EPubDate\":\"\",\"PubModel\":\"\",\"JCR\":\"Q2\",\"JCRName\":\"OPHTHALMOLOGY\",\"Score\":null,\"Total\":0}","platform":"Semanticscholar","paperid":null,"PeriodicalName":"BMJ Open Ophthalmology","FirstCategoryId":"1085","ListUrlMain":"https://doi.org/10.1136/bmjophth-2024-002073","RegionNum":0,"RegionCategory":null,"ArticlePicture":[],"TitleCN":null,"AbstractTextCN":null,"PMCID":null,"EPubDate":"","PubModel":"","JCR":"Q2","JCRName":"OPHTHALMOLOGY","Score":null,"Total":0}
引用次数: 0

摘要

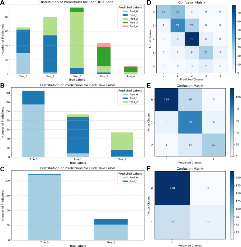
目的:本研究旨在利用基于深度学习(DL)的超宽视场(UWF)眼底成像分析,检测病理性近视的特征性眼底变化。方法:在排除低质量图像的基础上,采用543例高度近视患者的1105张UWF图像建立模型,并采用150例高度近视患者的293张图像进行外测。回顾性收集2018 - 2024年在上海总医院和上海眼病防治中心就诊的高度近视患者的图像。我们在眼科基础模型的基础上训练DL模型来检测近视黄斑病(MM)和后葡萄肿(PS)。结果:提出的retfound增强模型具有鲁棒性。对于MM的五类分类,准确率达到65.4%,F1得分为0.648,优于其他方法。在三类MM分类中,准确率达到79.4%,F1得分为0.793。对于PS检测,该模型准确率达到84.1%,F1得分为0.814,受试者工作特征曲线下面积(AUROC)为0.886,显示了其作为筛查工具的有效性。外部验证显示了一致的性能,5类MM分类准确率为64.4%,3类分类准确率为79.8%,PS准确率为81.2%,证实了队列间的稳健性。结论:本研究建立了一种有效的病理性近视眼眼底成像诊断模型和基础模型。DL与非散瞳UWF眼底成像的结合显示了在初级医疗保健中的应用潜力,特别是在服务不足的地区,可以方便地筛查与高度近视相关的眼底变化。
本文章由计算机程序翻译,如有差异,请以英文原文为准。

Foundation models in ophthalmology: a preliminary study on AI-assisted diagnosis of myopic maculopathy and posterior staphyloma using ultra-widefield fundus images.

Foundation models in ophthalmology: a preliminary study on AI-assisted diagnosis of myopic maculopathy and posterior staphyloma using ultra-widefield fundus images.

Foundation models in ophthalmology: a preliminary study on AI-assisted diagnosis of myopic maculopathy and posterior staphyloma using ultra-widefield fundus images.

Foundation models in ophthalmology: a preliminary study on AI-assisted diagnosis of myopic maculopathy and posterior staphyloma using ultra-widefield fundus images.

Objectives: This study aims to detect characteristic fundus changes in pathological myopia using deep learning (DL)-based analysis of ultra-widefield (UWF) fundus imaging.

Methods: Following the exclusion of low-quality images, this cross-sectional study used 1105 UWF images from 543 patients with high myopia to develop the model, along with 293 images from 150 patients with high myopia for external testing. All images were retrospectively collected from patients with high myopia at Shanghai General Hospital and Shanghai Eye Diseases Prevention and Treatment Center between 2018 and 2024. We trained a DL model based on an ophthalmology foundational model to detect myopic maculopathy (MM) and posterior staphyloma (PS).

Results: The proposed RETFound-enhanced model demonstrated robust performance. For five-category classification of MM, it achieved 65.4% accuracy and an F1 score of 0.648, outperforming other methods. In three-category MM classification, it achieved 79.4% accuracy and an F1 score of 0.793. For PS detection, the model reached 84.1% accuracy, an F1 score of 0.814 and an area under the receiver operating characteristic curve (AUROC) of 0.886, highlighting its effectiveness as a screening tool. External validation showed consistent performance, with 64.4% accuracy for five-category MM classification, 79.8% accuracy for three-category classification and 81.2% accuracy for PS, confirming robustness across cohorts.

Conclusions: This study presents an effective diagnostic model for pathological myopia using UWF fundus imaging and a foundation model. The integration of DL with non-mydriatic UWF fundus imaging demonstrates promising potential for applications in primary healthcare, particularly in underserved areas, enabling accessible screening for high myopia-related fundus changes.

求助全文
通过发布文献求助,成功后即可免费获取论文全文。 去求助
来源期刊
BMJ Open Ophthalmology
BMJ Open Ophthalmology OPHTHALMOLOGY-
CiteScore
3.40
自引率
4.20%
发文量
104
审稿时长
20 weeks
×
引用
GB/T 7714-2015
复制
MLA
复制
APA
复制
导出至
BibTeX EndNote RefMan NoteFirst NoteExpress
×
提示
您的信息不完整,为了账户安全,请先补充。
现在去补充
×
提示
您因"违规操作"
具体请查看互助需知
我知道了
×
提示
确定
请完成安全验证×
copy
已复制链接
快去分享给好友吧!
我知道了
右上角分享
点击右上角分享
0
联系我们:info@booksci.cn Book学术提供免费学术资源搜索服务,方便国内外学者检索中英文文献。致力于提供最便捷和优质的服务体验。 Copyright © 2023 布克学术 All rights reserved.
京ICP备2023020795号-1
ghs 京公网安备 11010802042870号
Book学术文献互助
Book学术文献互助群
群 号:604180095
Book学术官方微信