不同类型屈光不正与糖尿病视网膜病变风险之间的因果关系:一项双样本孟德尔随机化研究。

IF 2.2 Q2 OPHTHALMOLOGY
Qian Ma, Hongyan Yao, Sangsang Wang, Jinbo Chen, Yongqing Shao, Zhe Zhang, Tianyu Wang
{"title":"不同类型屈光不正与糖尿病视网膜病变风险之间的因果关系:一项双样本孟德尔随机化研究。","authors":"Qian Ma, Hongyan Yao, Sangsang Wang, Jinbo Chen, Yongqing Shao, Zhe Zhang, Tianyu Wang","doi":"10.1136/bmjophth-2024-001909","DOIUrl":null,"url":null,"abstract":"<p><strong>Objective: </strong>To investigate the causal link between ametropia and diabetic retinopathy, as well as to offer genetic support for the association between these two conditions.</p><p><strong>Methods: </strong>This study employed a methodology involving the utilisation of genome-wide association studies data that are publicly accessible. Specifically, single nucleotide polymorphisms (SNPs) that exhibit a strong association with ametropia were employed as instrumental variables, and a two-sample Mendelian randomization (MR) approach was employed to examine the causal relationship between different types of ametropia and diabetic retinopathy. The main findings were derived from the utilisation of inverse variance weighted (IVW), while supplementary results were obtained through the utilisation of MR Egger, weighted median, simple mode and weighted mode. Additionally, a sensitivity analysis was conducted using the 'leave-one-out' method. Cochran's Q statistics were also used to quantify the heterogeneity of SNPs.</p><p><strong>Results: </strong>38 SNPs were finally included. The results of the IVW analysis indicate that myopia may exert an inhibitory effect on the development of diabetic retinopathy (OR=0.596, 95% CI (0.371, 0.957), p<0.05). Conversely, hypermetropia (OR=8.882, 95% CI (0.389×10<sup>-3</sup>, 2.06×10<sup>5</sup>), p>0.05) and astigmatism (OR=1.004, 95% CI (0.888, 1.135), p>0.05) do not exhibit a causal relationship with the risk of diabetic retinopathy.</p><p><strong>Conclusion: </strong>This two-sample Mendelian randomization study provides evidence that myopia may impede diabetic retinopathy occurrence, while hypermetropia and astigmatism show no significant causal effects. However, our analysis treats refractive errors as independent entities, which may not reflect their clinical interdependence. Further investigations are warranted to elucidate myopia's protective mechanisms.</p>","PeriodicalId":9286,"journal":{"name":"BMJ Open Ophthalmology","volume":"10 1","pages":""},"PeriodicalIF":2.2000,"publicationDate":"2025-08-24","publicationTypes":"Journal Article","fieldsOfStudy":null,"isOpenAccess":false,"openAccessPdf":"https://www.ncbi.nlm.nih.gov/pmc/articles/PMC12410644/pdf/","citationCount":"0","resultStr":"{\"title\":\"Causal association between different types of ametropia and risk of diabetic retinopathy: a two-sample Mendelian randomization study.\",\"authors\":\"Qian Ma, Hongyan Yao, Sangsang Wang, Jinbo Chen, Yongqing Shao, Zhe Zhang, Tianyu Wang\",\"doi\":\"10.1136/bmjophth-2024-001909\",\"DOIUrl\":null,\"url\":null,\"abstract\":\"<p><strong>Objective: </strong>To investigate the causal link between ametropia and diabetic retinopathy, as well as to offer genetic support for the association between these two conditions.</p><p><strong>Methods: </strong>This study employed a methodology involving the utilisation of genome-wide association studies data that are publicly accessible. Specifically, single nucleotide polymorphisms (SNPs) that exhibit a strong association with ametropia were employed as instrumental variables, and a two-sample Mendelian randomization (MR) approach was employed to examine the causal relationship between different types of ametropia and diabetic retinopathy. The main findings were derived from the utilisation of inverse variance weighted (IVW), while supplementary results were obtained through the utilisation of MR Egger, weighted median, simple mode and weighted mode. Additionally, a sensitivity analysis was conducted using the 'leave-one-out' method. Cochran's Q statistics were also used to quantify the heterogeneity of SNPs.</p><p><strong>Results: </strong>38 SNPs were finally included. The results of the IVW analysis indicate that myopia may exert an inhibitory effect on the development of diabetic retinopathy (OR=0.596, 95% CI (0.371, 0.957), p<0.05). Conversely, hypermetropia (OR=8.882, 95% CI (0.389×10<sup>-3</sup>, 2.06×10<sup>5</sup>), p>0.05) and astigmatism (OR=1.004, 95% CI (0.888, 1.135), p>0.05) do not exhibit a causal relationship with the risk of diabetic retinopathy.</p><p><strong>Conclusion: </strong>This two-sample Mendelian randomization study provides evidence that myopia may impede diabetic retinopathy occurrence, while hypermetropia and astigmatism show no significant causal effects. However, our analysis treats refractive errors as independent entities, which may not reflect their clinical interdependence. Further investigations are warranted to elucidate myopia's protective mechanisms.</p>\",\"PeriodicalId\":9286,\"journal\":{\"name\":\"BMJ Open Ophthalmology\",\"volume\":\"10 1\",\"pages\":\"\"},\"PeriodicalIF\":2.2000,\"publicationDate\":\"2025-08-24\",\"publicationTypes\":\"Journal Article\",\"fieldsOfStudy\":null,\"isOpenAccess\":false,\"openAccessPdf\":\"https://www.ncbi.nlm.nih.gov/pmc/articles/PMC12410644/pdf/\",\"citationCount\":\"0\",\"resultStr\":null,\"platform\":\"Semanticscholar\",\"paperid\":null,\"PeriodicalName\":\"BMJ Open Ophthalmology\",\"FirstCategoryId\":\"1085\",\"ListUrlMain\":\"https://doi.org/10.1136/bmjophth-2024-001909\",\"RegionNum\":0,\"RegionCategory\":null,\"ArticlePicture\":[],\"TitleCN\":null,\"AbstractTextCN\":null,\"PMCID\":null,\"EPubDate\":\"\",\"PubModel\":\"\",\"JCR\":\"Q2\",\"JCRName\":\"OPHTHALMOLOGY\",\"Score\":null,\"Total\":0}","platform":"Semanticscholar","paperid":null,"PeriodicalName":"BMJ Open Ophthalmology","FirstCategoryId":"1085","ListUrlMain":"https://doi.org/10.1136/bmjophth-2024-001909","RegionNum":0,"RegionCategory":null,"ArticlePicture":[],"TitleCN":null,"AbstractTextCN":null,"PMCID":null,"EPubDate":"","PubModel":"","JCR":"Q2","JCRName":"OPHTHALMOLOGY","Score":null,"Total":0}
引用次数: 0

摘要

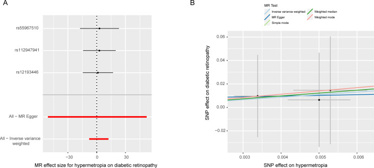
目的:探讨屈光不正与糖尿病视网膜病变之间的因果关系,并为两者之间的关联提供遗传学支持。方法:本研究采用了一种涉及利用全基因组关联研究数据的方法,这些数据是公开可访问的。具体来说,单核苷酸多态性(snp)与屈光不正表现出强烈的相关性被用作工具变量,并采用双样本孟德尔随机化(MR)方法来检查不同类型的屈光不正与糖尿病视网膜病变之间的因果关系。主要结果来自方差加权(IVW)的使用,而补充结果通过使用MR Egger、加权中位数、简单模式和加权模式获得。此外,使用“留一”方法进行敏感性分析。Cochran’s Q统计也用于量化snp的异质性。结果:最终纳入38个snp。IVW分析结果显示,近视可能对糖尿病视网膜病变的发生有抑制作用(OR=0.596, 95% CI (0.371, 0.957), p-3, 2.06×105), p- >0.05),而散光(OR=1.004, 95% CI (0.888, 1.135), p- >0.05)与糖尿病视网膜病变的发生无因果关系。结论:本双样本孟德尔随机化研究提供了近视可能阻碍糖尿病视网膜病变发生的证据,远视和散光无显著因果关系。然而,我们的分析将屈光不正视为独立的实体,这可能无法反映其临床相互依赖性。需要进一步的研究来阐明近视的保护机制。
本文章由计算机程序翻译,如有差异,请以英文原文为准。

Causal association between different types of ametropia and risk of diabetic retinopathy: a two-sample Mendelian randomization study.

Causal association between different types of ametropia and risk of diabetic retinopathy: a two-sample Mendelian randomization study.

Causal association between different types of ametropia and risk of diabetic retinopathy: a two-sample Mendelian randomization study.

Causal association between different types of ametropia and risk of diabetic retinopathy: a two-sample Mendelian randomization study.

Objective: To investigate the causal link between ametropia and diabetic retinopathy, as well as to offer genetic support for the association between these two conditions.

Methods: This study employed a methodology involving the utilisation of genome-wide association studies data that are publicly accessible. Specifically, single nucleotide polymorphisms (SNPs) that exhibit a strong association with ametropia were employed as instrumental variables, and a two-sample Mendelian randomization (MR) approach was employed to examine the causal relationship between different types of ametropia and diabetic retinopathy. The main findings were derived from the utilisation of inverse variance weighted (IVW), while supplementary results were obtained through the utilisation of MR Egger, weighted median, simple mode and weighted mode. Additionally, a sensitivity analysis was conducted using the 'leave-one-out' method. Cochran's Q statistics were also used to quantify the heterogeneity of SNPs.

Results: 38 SNPs were finally included. The results of the IVW analysis indicate that myopia may exert an inhibitory effect on the development of diabetic retinopathy (OR=0.596, 95% CI (0.371, 0.957), p<0.05). Conversely, hypermetropia (OR=8.882, 95% CI (0.389×10-3, 2.06×105), p>0.05) and astigmatism (OR=1.004, 95% CI (0.888, 1.135), p>0.05) do not exhibit a causal relationship with the risk of diabetic retinopathy.

Conclusion: This two-sample Mendelian randomization study provides evidence that myopia may impede diabetic retinopathy occurrence, while hypermetropia and astigmatism show no significant causal effects. However, our analysis treats refractive errors as independent entities, which may not reflect their clinical interdependence. Further investigations are warranted to elucidate myopia's protective mechanisms.

求助全文
通过发布文献求助,成功后即可免费获取论文全文。 去求助
来源期刊
BMJ Open Ophthalmology
BMJ Open Ophthalmology OPHTHALMOLOGY-
CiteScore
3.40
自引率
4.20%
发文量
104
审稿时长
20 weeks
×
引用
GB/T 7714-2015
复制
MLA
复制
APA
复制
导出至
BibTeX EndNote RefMan NoteFirst NoteExpress
×
提示
您的信息不完整,为了账户安全,请先补充。
现在去补充
×
提示
您因"违规操作"
具体请查看互助需知
我知道了
×
提示
确定
请完成安全验证×
copy
已复制链接
快去分享给好友吧!
我知道了
右上角分享
点击右上角分享
0
联系我们:info@booksci.cn Book学术提供免费学术资源搜索服务,方便国内外学者检索中英文文献。致力于提供最便捷和优质的服务体验。 Copyright © 2023 布克学术 All rights reserved.
京ICP备2023020795号-1
ghs 京公网安备 11010802042870号
Book学术文献互助
Book学术文献互助群
群 号:604180095
Book学术官方微信