双酚A对根性状和根际细菌的影响:探讨根际细菌与根生长的关系。

IF 4.2 2区 生物学 Q2 MICROBIOLOGY
Manli Yang, Shanningmei Zuo, Ahui Liu, Nana Zhong, Xueping Lu, Xun Liu, Xiasen Jiang, Tao Hu, Yuntong Liu, Xiaogang Ren, Kang Zhou, Chuansheng Wu
{"title":"双酚A对根性状和根际细菌的影响:探讨根际细菌与根生长的关系。","authors":"Manli Yang, Shanningmei Zuo, Ahui Liu, Nana Zhong, Xueping Lu, Xun Liu, Xiasen Jiang, Tao Hu, Yuntong Liu, Xiaogang Ren, Kang Zhou, Chuansheng Wu","doi":"10.1186/s12866-025-04306-8","DOIUrl":null,"url":null,"abstract":"<p><strong>Background: </strong>Bisphenol A (BPA), a widespread environmental pollutant, has been extensively studied for its effects on bacteria and plant, but its impact on rhizosphere bacterial communities and plant root traits is less understood. At the same time, the role of bacteria in helping plants resist adversity is widely recognized, but the relationship between BPA-induced with rhizosphere bacterial changes and root development is still unclear. Therefore, this study investigated the effects of varying BPA concentrations (1.5, 17.2, and 50 mg/L) on soybean root traits and rhizosphere bacterial communities, as well as the relationship between them.</p><p><strong>Result: </strong>The results revealed that BPA exposure significantly altered root traits, with root length, surface area, volume, and tip numbers being suppressed at 50 mg/L, while lower concentrations (1.5 and 17.2 mg/L) promoted root elongation and thickening. Bacterial community composition shifted notably, with Bacillota increasing and Pseudomonadota decreasing in relative abundance across all BPA treatments. Alpha diversity, measured by richness and Shannon_e indices, increased slightly at lower BPA concentrations, while beta diversity (Bray_Curtis and UniFrac) analysis showed significant differences, particularly at 50 mg/L. Community assembly processes (βNRI and βNTI) were dominated by deterministic mechanisms at lower BPA concentrations but shifted toward stochastic processes at 50 mg/L. Correlation analysis revealed significant relationships between bacterial community dynamics and root traits (Principal component PC1 and PC2), with alpha diversity indices influencing root traits represented by PC2 and beta diversity indices showing a negative correlation with PC1.</p><p><strong>Conclusions: </strong>BPA exposure not only alters root morphology and bacterial community structure but also highlights the intricate interplay between rhizosphere bacteria and plant roots under BPA stress. This study contributes to the theoretical understanding of plant-microbe interactions in contaminated environments and may inform future research on microbial involvement in plant stress responses.</p>","PeriodicalId":9233,"journal":{"name":"BMC Microbiology","volume":"25 1","pages":"560"},"PeriodicalIF":4.2000,"publicationDate":"2025-08-29","publicationTypes":"Journal Article","fieldsOfStudy":null,"isOpenAccess":false,"openAccessPdf":"https://www.ncbi.nlm.nih.gov/pmc/articles/PMC12395689/pdf/","citationCount":"0","resultStr":"{\"title\":\"Effects of bisphenol A on root traits and rhizosphere bacteria: exploring the link between rhizosphere bacterial and root growth.\",\"authors\":\"Manli Yang, Shanningmei Zuo, Ahui Liu, Nana Zhong, Xueping Lu, Xun Liu, Xiasen Jiang, Tao Hu, Yuntong Liu, Xiaogang Ren, Kang Zhou, Chuansheng Wu\",\"doi\":\"10.1186/s12866-025-04306-8\",\"DOIUrl\":null,\"url\":null,\"abstract\":\"<p><strong>Background: </strong>Bisphenol A (BPA), a widespread environmental pollutant, has been extensively studied for its effects on bacteria and plant, but its impact on rhizosphere bacterial communities and plant root traits is less understood. At the same time, the role of bacteria in helping plants resist adversity is widely recognized, but the relationship between BPA-induced with rhizosphere bacterial changes and root development is still unclear. Therefore, this study investigated the effects of varying BPA concentrations (1.5, 17.2, and 50 mg/L) on soybean root traits and rhizosphere bacterial communities, as well as the relationship between them.</p><p><strong>Result: </strong>The results revealed that BPA exposure significantly altered root traits, with root length, surface area, volume, and tip numbers being suppressed at 50 mg/L, while lower concentrations (1.5 and 17.2 mg/L) promoted root elongation and thickening. Bacterial community composition shifted notably, with Bacillota increasing and Pseudomonadota decreasing in relative abundance across all BPA treatments. Alpha diversity, measured by richness and Shannon_e indices, increased slightly at lower BPA concentrations, while beta diversity (Bray_Curtis and UniFrac) analysis showed significant differences, particularly at 50 mg/L. Community assembly processes (βNRI and βNTI) were dominated by deterministic mechanisms at lower BPA concentrations but shifted toward stochastic processes at 50 mg/L. Correlation analysis revealed significant relationships between bacterial community dynamics and root traits (Principal component PC1 and PC2), with alpha diversity indices influencing root traits represented by PC2 and beta diversity indices showing a negative correlation with PC1.</p><p><strong>Conclusions: </strong>BPA exposure not only alters root morphology and bacterial community structure but also highlights the intricate interplay between rhizosphere bacteria and plant roots under BPA stress. This study contributes to the theoretical understanding of plant-microbe interactions in contaminated environments and may inform future research on microbial involvement in plant stress responses.</p>\",\"PeriodicalId\":9233,\"journal\":{\"name\":\"BMC Microbiology\",\"volume\":\"25 1\",\"pages\":\"560\"},\"PeriodicalIF\":4.2000,\"publicationDate\":\"2025-08-29\",\"publicationTypes\":\"Journal Article\",\"fieldsOfStudy\":null,\"isOpenAccess\":false,\"openAccessPdf\":\"https://www.ncbi.nlm.nih.gov/pmc/articles/PMC12395689/pdf/\",\"citationCount\":\"0\",\"resultStr\":null,\"platform\":\"Semanticscholar\",\"paperid\":null,\"PeriodicalName\":\"BMC Microbiology\",\"FirstCategoryId\":\"99\",\"ListUrlMain\":\"https://doi.org/10.1186/s12866-025-04306-8\",\"RegionNum\":2,\"RegionCategory\":\"生物学\",\"ArticlePicture\":[],\"TitleCN\":null,\"AbstractTextCN\":null,\"PMCID\":null,\"EPubDate\":\"\",\"PubModel\":\"\",\"JCR\":\"Q2\",\"JCRName\":\"MICROBIOLOGY\",\"Score\":null,\"Total\":0}","platform":"Semanticscholar","paperid":null,"PeriodicalName":"BMC Microbiology","FirstCategoryId":"99","ListUrlMain":"https://doi.org/10.1186/s12866-025-04306-8","RegionNum":2,"RegionCategory":"生物学","ArticlePicture":[],"TitleCN":null,"AbstractTextCN":null,"PMCID":null,"EPubDate":"","PubModel":"","JCR":"Q2","JCRName":"MICROBIOLOGY","Score":null,"Total":0}
引用次数: 0

摘要

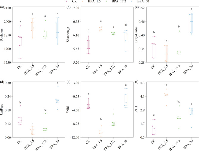
背景:双酚A (BPA)是一种广泛存在的环境污染物,其对细菌和植物的影响已被广泛研究,但其对根际细菌群落和植物根系性状的影响尚不清楚。同时,细菌在帮助植物抵抗逆境中的作用已被广泛认识,但bpa诱导的根际细菌变化与根系发育之间的关系尚不清楚。因此,本研究考察了不同BPA浓度(1.5、17.2和50 mg/L)对大豆根系性状和根际细菌群落的影响,以及它们之间的关系。结果:BPA暴露显著改变了根的性状,在50 mg/L浓度下,根的长度、表面积、体积和根尖数量受到抑制,而在1.5和17.2 mg/L浓度下,根的伸长和增粗得到促进。细菌群落组成发生明显变化,在所有BPA处理中,杆状杆菌的相对丰度增加,假单胞菌的相对丰度减少。丰富度和shannon指数测定的α多样性在低BPA浓度下略有增加,而β多样性(Bray_Curtis和UniFrac)分析显示差异显著,特别是在50 mg/L浓度下。在低BPA浓度下,群落组装过程(βNRI和βNTI)以确定性机制为主,而在50 mg/L浓度下则转向随机过程。相关分析表明,细菌群落动态与根系性状(主成分PC1和PC2)呈显著相关,α多样性指数影响以PC2为代表的根系性状,β多样性指数与PC1呈负相关。结论:BPA暴露不仅改变了植物根系形态和细菌群落结构,还揭示了BPA胁迫下根际细菌与植物根系之间复杂的相互作用。该研究有助于从理论上了解污染环境下植物与微生物的相互作用,并为未来微生物参与植物胁迫反应的研究提供信息。
本文章由计算机程序翻译,如有差异,请以英文原文为准。

Effects of bisphenol A on root traits and rhizosphere bacteria: exploring the link between rhizosphere bacterial and root growth.

Effects of bisphenol A on root traits and rhizosphere bacteria: exploring the link between rhizosphere bacterial and root growth.

Effects of bisphenol A on root traits and rhizosphere bacteria: exploring the link between rhizosphere bacterial and root growth.

Effects of bisphenol A on root traits and rhizosphere bacteria: exploring the link between rhizosphere bacterial and root growth.

Background: Bisphenol A (BPA), a widespread environmental pollutant, has been extensively studied for its effects on bacteria and plant, but its impact on rhizosphere bacterial communities and plant root traits is less understood. At the same time, the role of bacteria in helping plants resist adversity is widely recognized, but the relationship between BPA-induced with rhizosphere bacterial changes and root development is still unclear. Therefore, this study investigated the effects of varying BPA concentrations (1.5, 17.2, and 50 mg/L) on soybean root traits and rhizosphere bacterial communities, as well as the relationship between them.

Result: The results revealed that BPA exposure significantly altered root traits, with root length, surface area, volume, and tip numbers being suppressed at 50 mg/L, while lower concentrations (1.5 and 17.2 mg/L) promoted root elongation and thickening. Bacterial community composition shifted notably, with Bacillota increasing and Pseudomonadota decreasing in relative abundance across all BPA treatments. Alpha diversity, measured by richness and Shannon_e indices, increased slightly at lower BPA concentrations, while beta diversity (Bray_Curtis and UniFrac) analysis showed significant differences, particularly at 50 mg/L. Community assembly processes (βNRI and βNTI) were dominated by deterministic mechanisms at lower BPA concentrations but shifted toward stochastic processes at 50 mg/L. Correlation analysis revealed significant relationships between bacterial community dynamics and root traits (Principal component PC1 and PC2), with alpha diversity indices influencing root traits represented by PC2 and beta diversity indices showing a negative correlation with PC1.

Conclusions: BPA exposure not only alters root morphology and bacterial community structure but also highlights the intricate interplay between rhizosphere bacteria and plant roots under BPA stress. This study contributes to the theoretical understanding of plant-microbe interactions in contaminated environments and may inform future research on microbial involvement in plant stress responses.

求助全文
通过发布文献求助,成功后即可免费获取论文全文。 去求助
来源期刊
BMC Microbiology
BMC Microbiology 生物-微生物学
CiteScore
7.20
自引率
0.00%
发文量
280
审稿时长
3 months
期刊介绍: BMC Microbiology is an open access, peer-reviewed journal that considers articles on analytical and functional studies of prokaryotic and eukaryotic microorganisms, viruses and small parasites, as well as host and therapeutic responses to them and their interaction with the environment.
×
引用
GB/T 7714-2015
复制
MLA
复制
APA
复制
导出至
BibTeX EndNote RefMan NoteFirst NoteExpress
×
提示
您的信息不完整,为了账户安全,请先补充。
现在去补充
×
提示
您因"违规操作"
具体请查看互助需知
我知道了
×
提示
确定
请完成安全验证×
copy
已复制链接
快去分享给好友吧!
我知道了
右上角分享
点击右上角分享
0
联系我们:info@booksci.cn Book学术提供免费学术资源搜索服务,方便国内外学者检索中英文文献。致力于提供最便捷和优质的服务体验。 Copyright © 2023 布克学术 All rights reserved.
京ICP备2023020795号-1
ghs 京公网安备 11010802042870号
Book学术文献互助
Book学术文献互助群
群 号:604180095
Book学术官方微信