在亚的斯亚贝巴,埃塞俄比亚卫生保健提供者中多囊卵巢综合征诊断的知识、态度和实践。

IF 2.7 3区 医学 Q2 OBSTETRICS & GYNECOLOGY
Ephrata W Erku, Mariamawit M Yanni, Hikma M Mohamed, Saba F Weldehawaria, Elham M Asfaw, Melatwork Tibebu, Abay Sisay, Mikias Negash
{"title":"在亚的斯亚贝巴,埃塞俄比亚卫生保健提供者中多囊卵巢综合征诊断的知识、态度和实践。","authors":"Ephrata W Erku, Mariamawit M Yanni, Hikma M Mohamed, Saba F Weldehawaria, Elham M Asfaw, Melatwork Tibebu, Abay Sisay, Mikias Negash","doi":"10.1186/s12905-025-03948-0","DOIUrl":null,"url":null,"abstract":"<p><strong>Background: </strong>Polycystic Ovary Syndrome (PCOS) is an endocrine disorder affecting women of reproductive age, characterized by hormonal imbalances, reproductive abnormalities, and metabolic disturbances. The diagnosis and management of PCOS is not well documented, particularly in the Ethiopian healthcare setup.</p><p><strong>Methods: </strong>A cross-sectional study was conducted on 210 healthcare professionals selected from hospitals in Addis Ababa from April 10 to May 24, 2024. Data was collected using a standardized questionnaire and double entered using Microsoft Excel and analyzed by using the Statistical Package for Social Sciences (SPSS) Version 25. Likert scale was used for the attitude analysis and the average score measure of difference was used for knowledge, attitude and practice (KAP) level of measurements. ANOVA was used for testing the association of p-value less than 0.05% and Spearman's rho was used to test correlation.</p><p><strong>Result: </strong>Out of 210 respondents, only 43 (20.5%) had \"Good Knowledge\" about PCOS and its diagnosis. Gynecologists exhibited the highest knowledge (58.3%) and practice (50%) scores compared to other professions. A majority, 187 individuals (89.0%), were classified as having a \"Good Attitude\" towards PCOS and its diagnosis. Only 42 (22.0%) of participants indicated Good Practice. Among the hormonal markers, Follicle Stimulating Hormone (FSH) on its own was the most frequently used (75 participants, 41.4%), Anti-Müllerian hormone (AMH) and Dehydroepiandrosterone Sulfate (DHEAS) were only utilized by 15.5% (28) and 17.7% (32) of participants respectively.</p><p><strong>Conclusion: </strong>The study highlighted significant gaps in knowledge, attitude, and practices among healthcare professionals in Ethiopia regarding PCOS diagnosis. Inadequate practices were common, with reliance on ultrasonography and physical symptoms alone. More attention should be given to creating proper diagnosis and referring channels along with teaching and advocacy in academia and the public to promote women's reproductive health.</p>","PeriodicalId":9204,"journal":{"name":"BMC Women's Health","volume":"25 1","pages":"414"},"PeriodicalIF":2.7000,"publicationDate":"2025-08-29","publicationTypes":"Journal Article","fieldsOfStudy":null,"isOpenAccess":false,"openAccessPdf":"https://www.ncbi.nlm.nih.gov/pmc/articles/PMC12395725/pdf/","citationCount":"0","resultStr":"{\"title\":\"Knowledge, Attitude, and Practice of Polycystic Ovarian Syndrome Diagnosis among Health Care Providers in Addis Ababa, Ethiopia.\",\"authors\":\"Ephrata W Erku, Mariamawit M Yanni, Hikma M Mohamed, Saba F Weldehawaria, Elham M Asfaw, Melatwork Tibebu, Abay Sisay, Mikias Negash\",\"doi\":\"10.1186/s12905-025-03948-0\",\"DOIUrl\":null,\"url\":null,\"abstract\":\"<p><strong>Background: </strong>Polycystic Ovary Syndrome (PCOS) is an endocrine disorder affecting women of reproductive age, characterized by hormonal imbalances, reproductive abnormalities, and metabolic disturbances. The diagnosis and management of PCOS is not well documented, particularly in the Ethiopian healthcare setup.</p><p><strong>Methods: </strong>A cross-sectional study was conducted on 210 healthcare professionals selected from hospitals in Addis Ababa from April 10 to May 24, 2024. Data was collected using a standardized questionnaire and double entered using Microsoft Excel and analyzed by using the Statistical Package for Social Sciences (SPSS) Version 25. Likert scale was used for the attitude analysis and the average score measure of difference was used for knowledge, attitude and practice (KAP) level of measurements. ANOVA was used for testing the association of p-value less than 0.05% and Spearman's rho was used to test correlation.</p><p><strong>Result: </strong>Out of 210 respondents, only 43 (20.5%) had \\\"Good Knowledge\\\" about PCOS and its diagnosis. Gynecologists exhibited the highest knowledge (58.3%) and practice (50%) scores compared to other professions. A majority, 187 individuals (89.0%), were classified as having a \\\"Good Attitude\\\" towards PCOS and its diagnosis. Only 42 (22.0%) of participants indicated Good Practice. Among the hormonal markers, Follicle Stimulating Hormone (FSH) on its own was the most frequently used (75 participants, 41.4%), Anti-Müllerian hormone (AMH) and Dehydroepiandrosterone Sulfate (DHEAS) were only utilized by 15.5% (28) and 17.7% (32) of participants respectively.</p><p><strong>Conclusion: </strong>The study highlighted significant gaps in knowledge, attitude, and practices among healthcare professionals in Ethiopia regarding PCOS diagnosis. Inadequate practices were common, with reliance on ultrasonography and physical symptoms alone. More attention should be given to creating proper diagnosis and referring channels along with teaching and advocacy in academia and the public to promote women's reproductive health.</p>\",\"PeriodicalId\":9204,\"journal\":{\"name\":\"BMC Women's Health\",\"volume\":\"25 1\",\"pages\":\"414\"},\"PeriodicalIF\":2.7000,\"publicationDate\":\"2025-08-29\",\"publicationTypes\":\"Journal Article\",\"fieldsOfStudy\":null,\"isOpenAccess\":false,\"openAccessPdf\":\"https://www.ncbi.nlm.nih.gov/pmc/articles/PMC12395725/pdf/\",\"citationCount\":\"0\",\"resultStr\":null,\"platform\":\"Semanticscholar\",\"paperid\":null,\"PeriodicalName\":\"BMC Women's Health\",\"FirstCategoryId\":\"3\",\"ListUrlMain\":\"https://doi.org/10.1186/s12905-025-03948-0\",\"RegionNum\":3,\"RegionCategory\":\"医学\",\"ArticlePicture\":[],\"TitleCN\":null,\"AbstractTextCN\":null,\"PMCID\":null,\"EPubDate\":\"\",\"PubModel\":\"\",\"JCR\":\"Q2\",\"JCRName\":\"OBSTETRICS & GYNECOLOGY\",\"Score\":null,\"Total\":0}","platform":"Semanticscholar","paperid":null,"PeriodicalName":"BMC Women's Health","FirstCategoryId":"3","ListUrlMain":"https://doi.org/10.1186/s12905-025-03948-0","RegionNum":3,"RegionCategory":"医学","ArticlePicture":[],"TitleCN":null,"AbstractTextCN":null,"PMCID":null,"EPubDate":"","PubModel":"","JCR":"Q2","JCRName":"OBSTETRICS & GYNECOLOGY","Score":null,"Total":0}
引用次数: 0

摘要

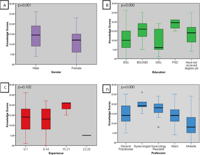
背景:多囊卵巢综合征(PCOS)是一种影响育龄妇女的内分泌疾病,以激素失衡、生殖异常和代谢紊乱为特征。多囊卵巢综合征的诊断和管理没有很好的记录,特别是在埃塞俄比亚的医疗机构。方法:对2024年4月10日至5月24日在亚的斯亚贝巴各医院抽取的210名医护人员进行横断面研究。采用标准化问卷收集数据,使用Microsoft Excel进行双重录入,并使用SPSS (Statistical Package for Social Sciences) Version 25进行分析。态度分析采用李克特量表,knowledge, attitude and practice (KAP)水平测量采用差异平均分量表。检验p值小于0.05%的相关性采用方差分析(ANOVA),检验相关性采用Spearman’s rho。结果:210名受访者中,仅有43名(20.5%)对PCOS及其诊断有“良好的了解”。与其他职业相比,妇科医生的知识(58.3%)和实践(50%)得分最高。187人(89.0%)对PCOS及其诊断持“良好态度”。只有42名(22.0%)参与者表示良好实践。在激素标志物中,卵泡刺激素(FSH)本身使用频率最高(75人,41.4%),抗勒氏激素(AMH)和硫酸脱氢表雄酮(DHEAS)分别只有15.5%(28人)和17.7%(32人)的参与者使用。结论:该研究突出了埃塞俄比亚医疗保健专业人员在多囊卵巢综合征诊断方面的知识、态度和实践方面的显著差距。不适当的做法是常见的,仅依靠超声检查和身体症状。应更加重视建立适当的诊断和转诊渠道,同时在学术界和公众中进行教学和宣传,以促进妇女的生殖健康。
本文章由计算机程序翻译,如有差异,请以英文原文为准。

Knowledge, Attitude, and Practice of Polycystic Ovarian Syndrome Diagnosis among Health Care Providers in Addis Ababa, Ethiopia.

Knowledge, Attitude, and Practice of Polycystic Ovarian Syndrome Diagnosis among Health Care Providers in Addis Ababa, Ethiopia.

Knowledge, Attitude, and Practice of Polycystic Ovarian Syndrome Diagnosis among Health Care Providers in Addis Ababa, Ethiopia.

Knowledge, Attitude, and Practice of Polycystic Ovarian Syndrome Diagnosis among Health Care Providers in Addis Ababa, Ethiopia.

Background: Polycystic Ovary Syndrome (PCOS) is an endocrine disorder affecting women of reproductive age, characterized by hormonal imbalances, reproductive abnormalities, and metabolic disturbances. The diagnosis and management of PCOS is not well documented, particularly in the Ethiopian healthcare setup.

Methods: A cross-sectional study was conducted on 210 healthcare professionals selected from hospitals in Addis Ababa from April 10 to May 24, 2024. Data was collected using a standardized questionnaire and double entered using Microsoft Excel and analyzed by using the Statistical Package for Social Sciences (SPSS) Version 25. Likert scale was used for the attitude analysis and the average score measure of difference was used for knowledge, attitude and practice (KAP) level of measurements. ANOVA was used for testing the association of p-value less than 0.05% and Spearman's rho was used to test correlation.

Result: Out of 210 respondents, only 43 (20.5%) had "Good Knowledge" about PCOS and its diagnosis. Gynecologists exhibited the highest knowledge (58.3%) and practice (50%) scores compared to other professions. A majority, 187 individuals (89.0%), were classified as having a "Good Attitude" towards PCOS and its diagnosis. Only 42 (22.0%) of participants indicated Good Practice. Among the hormonal markers, Follicle Stimulating Hormone (FSH) on its own was the most frequently used (75 participants, 41.4%), Anti-Müllerian hormone (AMH) and Dehydroepiandrosterone Sulfate (DHEAS) were only utilized by 15.5% (28) and 17.7% (32) of participants respectively.

Conclusion: The study highlighted significant gaps in knowledge, attitude, and practices among healthcare professionals in Ethiopia regarding PCOS diagnosis. Inadequate practices were common, with reliance on ultrasonography and physical symptoms alone. More attention should be given to creating proper diagnosis and referring channels along with teaching and advocacy in academia and the public to promote women's reproductive health.

求助全文
通过发布文献求助,成功后即可免费获取论文全文。 去求助
来源期刊
BMC Women's Health
BMC Women's Health OBSTETRICS & GYNECOLOGY-
CiteScore
3.40
自引率
4.00%
发文量
444
审稿时长
>12 weeks
期刊介绍: BMC Women''s Health is an open access, peer-reviewed journal that considers articles on all aspects of the health and wellbeing of adolescent girls and women, with a particular focus on the physical, mental, and emotional health of women in developed and developing nations. The journal welcomes submissions on women''s public health issues, health behaviours, breast cancer, gynecological diseases, mental health and health promotion.
×
引用
GB/T 7714-2015
复制
MLA
复制
APA
复制
导出至
BibTeX EndNote RefMan NoteFirst NoteExpress
×
提示
您的信息不完整,为了账户安全,请先补充。
现在去补充
×
提示
您因"违规操作"
具体请查看互助需知
我知道了
×
提示
确定
请完成安全验证×
copy
已复制链接
快去分享给好友吧!
我知道了
右上角分享
点击右上角分享
0
联系我们:info@booksci.cn Book学术提供免费学术资源搜索服务,方便国内外学者检索中英文文献。致力于提供最便捷和优质的服务体验。 Copyright © 2023 布克学术 All rights reserved.
京ICP备2023020795号-1
ghs 京公网安备 11010802042870号
Book学术文献互助
Book学术文献互助群
群 号:604180095
Book学术官方微信