环境重金属暴露与改变女性抗苗勒管激素水平。

IF 2.7 3区 医学 Q2 OBSTETRICS & GYNECOLOGY
Zahra Namvar, Anoushiravan Mohseni-Bandpei, Abbas Shahsavani, Akbar Eslami, Maryam Mousavi, Fatemeh Shokri Dariyan, Philip K Hopke, Fereidoun Azizi, Fahimeh Ramezani Tehrani
{"title":"环境重金属暴露与改变女性抗苗勒管激素水平。","authors":"Zahra Namvar, Anoushiravan Mohseni-Bandpei, Abbas Shahsavani, Akbar Eslami, Maryam Mousavi, Fatemeh Shokri Dariyan, Philip K Hopke, Fereidoun Azizi, Fahimeh Ramezani Tehrani","doi":"10.1186/s12905-025-03952-4","DOIUrl":null,"url":null,"abstract":"<p><strong>Background: </strong>Serum levels of anti-Mullerian hormone (AMH), a key indicator of ovarian aging, decrease with age. This decline may be accelerated by genetic and environmental factors. Accordingly, the present study investigates the relationship between serum AMH concentrations and exposure to heavy metals.</p><p><strong>Methods: </strong>This cohort study was conducted on 220 women with a median age of 42 years (Range: 37-45). Participants were reproductive-age women from the Tehran Lipid and Glucose Study (TLGS) that met our inclusion criteria. Serum concentration of heavy metals - including lead (Pb), cadmium (Cd), copper (Cu), aluminum (Al) and chromium (Cr) - as well as AMH levels, were measured using stored samples from the second and fifth follow-up visits with a time interval of approximately 10 years. A multivariate linear regression model was used to assess the relationship between AMH and heavy metals, adjusting for age, body mass index (BMI), smoking, physical activity, age at menarche, education, marital status and parity.</p><p><strong>Results: </strong>The results indicated that serum AMH concentration in women classified within the fourth and third quartiles of Cu was reduced by -0.43 (95%CI: -0.73, -0.13) ng/ml and - 0.34 (95%CI: -0.65, -0.03) ng/ml, respectively. No statistically significant associations were observed between AMH levels and other heavy metals, including Pb, Al, and Cr (P > 0.05).</p><p><strong>Conclusion: </strong>These findings suggest a possible link between elevated Cu levels and diminished AMH concentrations in reproductive-age women. However, further research is needed to confirm these findings and to elucidate the underlying factors, particularly in younger age groups.</p>","PeriodicalId":9204,"journal":{"name":"BMC Women's Health","volume":"25 1","pages":"404"},"PeriodicalIF":2.7000,"publicationDate":"2025-08-23","publicationTypes":"Journal Article","fieldsOfStudy":null,"isOpenAccess":false,"openAccessPdf":"https://www.ncbi.nlm.nih.gov/pmc/articles/PMC12374403/pdf/","citationCount":"0","resultStr":"{\"title\":\"Environmental heavy metal exposure and altering anti-Mullerian hormone levels in women.\",\"authors\":\"Zahra Namvar, Anoushiravan Mohseni-Bandpei, Abbas Shahsavani, Akbar Eslami, Maryam Mousavi, Fatemeh Shokri Dariyan, Philip K Hopke, Fereidoun Azizi, Fahimeh Ramezani Tehrani\",\"doi\":\"10.1186/s12905-025-03952-4\",\"DOIUrl\":null,\"url\":null,\"abstract\":\"<p><strong>Background: </strong>Serum levels of anti-Mullerian hormone (AMH), a key indicator of ovarian aging, decrease with age. This decline may be accelerated by genetic and environmental factors. Accordingly, the present study investigates the relationship between serum AMH concentrations and exposure to heavy metals.</p><p><strong>Methods: </strong>This cohort study was conducted on 220 women with a median age of 42 years (Range: 37-45). Participants were reproductive-age women from the Tehran Lipid and Glucose Study (TLGS) that met our inclusion criteria. Serum concentration of heavy metals - including lead (Pb), cadmium (Cd), copper (Cu), aluminum (Al) and chromium (Cr) - as well as AMH levels, were measured using stored samples from the second and fifth follow-up visits with a time interval of approximately 10 years. A multivariate linear regression model was used to assess the relationship between AMH and heavy metals, adjusting for age, body mass index (BMI), smoking, physical activity, age at menarche, education, marital status and parity.</p><p><strong>Results: </strong>The results indicated that serum AMH concentration in women classified within the fourth and third quartiles of Cu was reduced by -0.43 (95%CI: -0.73, -0.13) ng/ml and - 0.34 (95%CI: -0.65, -0.03) ng/ml, respectively. No statistically significant associations were observed between AMH levels and other heavy metals, including Pb, Al, and Cr (P > 0.05).</p><p><strong>Conclusion: </strong>These findings suggest a possible link between elevated Cu levels and diminished AMH concentrations in reproductive-age women. However, further research is needed to confirm these findings and to elucidate the underlying factors, particularly in younger age groups.</p>\",\"PeriodicalId\":9204,\"journal\":{\"name\":\"BMC Women's Health\",\"volume\":\"25 1\",\"pages\":\"404\"},\"PeriodicalIF\":2.7000,\"publicationDate\":\"2025-08-23\",\"publicationTypes\":\"Journal Article\",\"fieldsOfStudy\":null,\"isOpenAccess\":false,\"openAccessPdf\":\"https://www.ncbi.nlm.nih.gov/pmc/articles/PMC12374403/pdf/\",\"citationCount\":\"0\",\"resultStr\":null,\"platform\":\"Semanticscholar\",\"paperid\":null,\"PeriodicalName\":\"BMC Women's Health\",\"FirstCategoryId\":\"3\",\"ListUrlMain\":\"https://doi.org/10.1186/s12905-025-03952-4\",\"RegionNum\":3,\"RegionCategory\":\"医学\",\"ArticlePicture\":[],\"TitleCN\":null,\"AbstractTextCN\":null,\"PMCID\":null,\"EPubDate\":\"\",\"PubModel\":\"\",\"JCR\":\"Q2\",\"JCRName\":\"OBSTETRICS & GYNECOLOGY\",\"Score\":null,\"Total\":0}","platform":"Semanticscholar","paperid":null,"PeriodicalName":"BMC Women's Health","FirstCategoryId":"3","ListUrlMain":"https://doi.org/10.1186/s12905-025-03952-4","RegionNum":3,"RegionCategory":"医学","ArticlePicture":[],"TitleCN":null,"AbstractTextCN":null,"PMCID":null,"EPubDate":"","PubModel":"","JCR":"Q2","JCRName":"OBSTETRICS & GYNECOLOGY","Score":null,"Total":0}
引用次数: 0

摘要

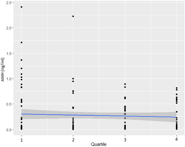
背景:血清抗苗勒管激素(AMH)水平随着年龄的增长而下降,这是卵巢衰老的关键指标。遗传和环境因素可能加速这种下降。因此,本研究探讨血清AMH浓度与重金属暴露之间的关系。方法:本队列研究纳入220名女性,中位年龄42岁(范围:37-45岁)。参与者是来自德黑兰脂质和葡萄糖研究(TLGS)的育龄妇女,符合我们的纳入标准。血清重金属浓度——包括铅(Pb)、镉(Cd)、铜(Cu)、铝(Al)和铬(Cr)——以及AMH水平,使用第二次和第五次随访的存储样本进行测量,间隔时间约为10年。采用多元线性回归模型评估AMH与重金属的关系,调整年龄、体重指数(BMI)、吸烟、体育活动、月经初潮年龄、教育程度、婚姻状况和胎次。结果:结果表明,在第四和第三四分位数的妇女血清AMH浓度分别降低了-0.43 (95%CI: -0.73, -0.13) ng/ml和- 0.34 (95%CI: -0.65, -0.03) ng/ml。AMH水平与Pb、Al、Cr等其他重金属无统计学意义(P < 0.05)。结论:这些发现提示育龄妇女中Cu水平升高和AMH浓度降低之间可能存在联系。然而,需要进一步的研究来证实这些发现,并阐明潜在的因素,特别是在较年轻的年龄组。
本文章由计算机程序翻译,如有差异,请以英文原文为准。

Environmental heavy metal exposure and altering anti-Mullerian hormone levels in women.

Environmental heavy metal exposure and altering anti-Mullerian hormone levels in women.

Environmental heavy metal exposure and altering anti-Mullerian hormone levels in women.

Background: Serum levels of anti-Mullerian hormone (AMH), a key indicator of ovarian aging, decrease with age. This decline may be accelerated by genetic and environmental factors. Accordingly, the present study investigates the relationship between serum AMH concentrations and exposure to heavy metals.

Methods: This cohort study was conducted on 220 women with a median age of 42 years (Range: 37-45). Participants were reproductive-age women from the Tehran Lipid and Glucose Study (TLGS) that met our inclusion criteria. Serum concentration of heavy metals - including lead (Pb), cadmium (Cd), copper (Cu), aluminum (Al) and chromium (Cr) - as well as AMH levels, were measured using stored samples from the second and fifth follow-up visits with a time interval of approximately 10 years. A multivariate linear regression model was used to assess the relationship between AMH and heavy metals, adjusting for age, body mass index (BMI), smoking, physical activity, age at menarche, education, marital status and parity.

Results: The results indicated that serum AMH concentration in women classified within the fourth and third quartiles of Cu was reduced by -0.43 (95%CI: -0.73, -0.13) ng/ml and - 0.34 (95%CI: -0.65, -0.03) ng/ml, respectively. No statistically significant associations were observed between AMH levels and other heavy metals, including Pb, Al, and Cr (P > 0.05).

Conclusion: These findings suggest a possible link between elevated Cu levels and diminished AMH concentrations in reproductive-age women. However, further research is needed to confirm these findings and to elucidate the underlying factors, particularly in younger age groups.

求助全文
通过发布文献求助,成功后即可免费获取论文全文。 去求助
来源期刊
BMC Women's Health
BMC Women's Health OBSTETRICS & GYNECOLOGY-
CiteScore
3.40
自引率
4.00%
发文量
444
审稿时长
>12 weeks
期刊介绍: BMC Women''s Health is an open access, peer-reviewed journal that considers articles on all aspects of the health and wellbeing of adolescent girls and women, with a particular focus on the physical, mental, and emotional health of women in developed and developing nations. The journal welcomes submissions on women''s public health issues, health behaviours, breast cancer, gynecological diseases, mental health and health promotion.
×
引用
GB/T 7714-2015
复制
MLA
复制
APA
复制
导出至
BibTeX EndNote RefMan NoteFirst NoteExpress
×
提示
您的信息不完整,为了账户安全,请先补充。
现在去补充
×
提示
您因"违规操作"
具体请查看互助需知
我知道了
×
提示
确定
请完成安全验证×
copy
已复制链接
快去分享给好友吧!
我知道了
右上角分享
点击右上角分享
0
联系我们:info@booksci.cn Book学术提供免费学术资源搜索服务,方便国内外学者检索中英文文献。致力于提供最便捷和优质的服务体验。 Copyright © 2023 布克学术 All rights reserved.
京ICP备2023020795号-1
ghs 京公网安备 11010802042870号
Book学术文献互助
Book学术文献互助群
群 号:604180095
Book学术官方微信