基于炎症的肾细胞癌预后标志物:来自15年经验的见解。

IF 1.9 3区 医学 Q3 UROLOGY & NEPHROLOGY
Volkan Sen, Muhammed Selcuk Ozer, Alper Ege Sarıkaya, Bora Irer, Ozan Bozkurt
{"title":"基于炎症的肾细胞癌预后标志物:来自15年经验的见解。","authors":"Volkan Sen, Muhammed Selcuk Ozer, Alper Ege Sarıkaya, Bora Irer, Ozan Bozkurt","doi":"10.1186/s12894-025-01915-3","DOIUrl":null,"url":null,"abstract":"<p><strong>Introduction: </strong>Renal cell carcinoma (RCC) represents nearly 90% of kidney cancers. With improvements in treatment and longer survival, reliable prognostic markers are increasingly important. This study investigated the prognostic value of systemic inflammatory markers and clinicopathological features in RCC patients undergoing nephrectomy.</p><p><strong>Materials and methods: </strong>We retrospectively analyzed 418 patients who underwent radical or partial nephrectomy for RCC between 2009 and 2024. Preoperative hematologic markers, including neutrophil-to-lymphocyte ratio (NLR), platelet-to-lymphocyte ratio (PLR), lymphocyte-to-monocyte ratio (LMR), systemic inflammatory response index (SIRI), and systemic immune-inflammation index (SII), were evaluated. Their associations with overall survival (OS) and recurrence-free survival (RFS) were assessed using survival analyses and multivariate Cox regression.</p><p><strong>Results: </strong>The cohort had a median age of 60.5 years and a median follow-up of 72.3 months. Elevated NLR, PLR, SIRI, SII, and reduced LMR were associated with worse OS and RFS. On multivariate analysis, age > 64.5 years, higher tumor grade, NLR ≥ 2.93, and LMR < 3.67 independently predicted poorer OS.</p><p><strong>Conclusions: </strong>Simple, routinely available preoperative inflammatory markers, particularly NLR and LMR, may serve as useful predictors of survival in RCC patients.</p>","PeriodicalId":9285,"journal":{"name":"BMC Urology","volume":"25 1","pages":"220"},"PeriodicalIF":1.9000,"publicationDate":"2025-08-26","publicationTypes":"Journal Article","fieldsOfStudy":null,"isOpenAccess":false,"openAccessPdf":"https://www.ncbi.nlm.nih.gov/pmc/articles/PMC12382283/pdf/","citationCount":"0","resultStr":"{\"title\":\"Inflammation-based prognostic markers in renal cell carcinoma: insights from a 15-year experience.\",\"authors\":\"Volkan Sen, Muhammed Selcuk Ozer, Alper Ege Sarıkaya, Bora Irer, Ozan Bozkurt\",\"doi\":\"10.1186/s12894-025-01915-3\",\"DOIUrl\":null,\"url\":null,\"abstract\":\"<p><strong>Introduction: </strong>Renal cell carcinoma (RCC) represents nearly 90% of kidney cancers. With improvements in treatment and longer survival, reliable prognostic markers are increasingly important. This study investigated the prognostic value of systemic inflammatory markers and clinicopathological features in RCC patients undergoing nephrectomy.</p><p><strong>Materials and methods: </strong>We retrospectively analyzed 418 patients who underwent radical or partial nephrectomy for RCC between 2009 and 2024. Preoperative hematologic markers, including neutrophil-to-lymphocyte ratio (NLR), platelet-to-lymphocyte ratio (PLR), lymphocyte-to-monocyte ratio (LMR), systemic inflammatory response index (SIRI), and systemic immune-inflammation index (SII), were evaluated. Their associations with overall survival (OS) and recurrence-free survival (RFS) were assessed using survival analyses and multivariate Cox regression.</p><p><strong>Results: </strong>The cohort had a median age of 60.5 years and a median follow-up of 72.3 months. Elevated NLR, PLR, SIRI, SII, and reduced LMR were associated with worse OS and RFS. On multivariate analysis, age > 64.5 years, higher tumor grade, NLR ≥ 2.93, and LMR < 3.67 independently predicted poorer OS.</p><p><strong>Conclusions: </strong>Simple, routinely available preoperative inflammatory markers, particularly NLR and LMR, may serve as useful predictors of survival in RCC patients.</p>\",\"PeriodicalId\":9285,\"journal\":{\"name\":\"BMC Urology\",\"volume\":\"25 1\",\"pages\":\"220\"},\"PeriodicalIF\":1.9000,\"publicationDate\":\"2025-08-26\",\"publicationTypes\":\"Journal Article\",\"fieldsOfStudy\":null,\"isOpenAccess\":false,\"openAccessPdf\":\"https://www.ncbi.nlm.nih.gov/pmc/articles/PMC12382283/pdf/\",\"citationCount\":\"0\",\"resultStr\":null,\"platform\":\"Semanticscholar\",\"paperid\":null,\"PeriodicalName\":\"BMC Urology\",\"FirstCategoryId\":\"3\",\"ListUrlMain\":\"https://doi.org/10.1186/s12894-025-01915-3\",\"RegionNum\":3,\"RegionCategory\":\"医学\",\"ArticlePicture\":[],\"TitleCN\":null,\"AbstractTextCN\":null,\"PMCID\":null,\"EPubDate\":\"\",\"PubModel\":\"\",\"JCR\":\"Q3\",\"JCRName\":\"UROLOGY & NEPHROLOGY\",\"Score\":null,\"Total\":0}","platform":"Semanticscholar","paperid":null,"PeriodicalName":"BMC Urology","FirstCategoryId":"3","ListUrlMain":"https://doi.org/10.1186/s12894-025-01915-3","RegionNum":3,"RegionCategory":"医学","ArticlePicture":[],"TitleCN":null,"AbstractTextCN":null,"PMCID":null,"EPubDate":"","PubModel":"","JCR":"Q3","JCRName":"UROLOGY & NEPHROLOGY","Score":null,"Total":0}
引用次数: 0

摘要

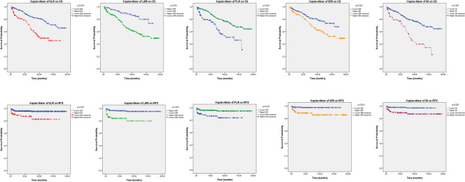
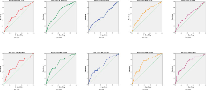
肾细胞癌(RCC)占肾癌的近90%。随着治疗的改善和生存期的延长,可靠的预后指标变得越来越重要。本研究探讨了系统性炎症标志物和临床病理特征在肾癌切除术患者中的预后价值。材料和方法:我们回顾性分析了2009年至2024年间418例接受肾细胞癌根治性或部分切除的患者。评估术前血液学指标,包括中性粒细胞与淋巴细胞比值(NLR)、血小板与淋巴细胞比值(PLR)、淋巴细胞与单核细胞比值(LMR)、全身炎症反应指数(SIRI)和全身免疫炎症指数(SII)。使用生存分析和多变量Cox回归评估其与总生存期(OS)和无复发生存期(RFS)的关系。结果:该队列的中位年龄为60.5岁,中位随访时间为72.3个月。NLR、PLR、SIRI、SII升高和LMR降低与更差的OS和RFS相关。在多因素分析中,年龄≥64.5岁、肿瘤分级较高、NLR≥2.93和LMR结论:简单、常规的术前炎症标志物,特别是NLR和LMR,可能是RCC患者生存的有用预测因素。
本文章由计算机程序翻译,如有差异,请以英文原文为准。

Inflammation-based prognostic markers in renal cell carcinoma: insights from a 15-year experience.

Inflammation-based prognostic markers in renal cell carcinoma: insights from a 15-year experience.

Inflammation-based prognostic markers in renal cell carcinoma: insights from a 15-year experience.

Inflammation-based prognostic markers in renal cell carcinoma: insights from a 15-year experience.

Introduction: Renal cell carcinoma (RCC) represents nearly 90% of kidney cancers. With improvements in treatment and longer survival, reliable prognostic markers are increasingly important. This study investigated the prognostic value of systemic inflammatory markers and clinicopathological features in RCC patients undergoing nephrectomy.

Materials and methods: We retrospectively analyzed 418 patients who underwent radical or partial nephrectomy for RCC between 2009 and 2024. Preoperative hematologic markers, including neutrophil-to-lymphocyte ratio (NLR), platelet-to-lymphocyte ratio (PLR), lymphocyte-to-monocyte ratio (LMR), systemic inflammatory response index (SIRI), and systemic immune-inflammation index (SII), were evaluated. Their associations with overall survival (OS) and recurrence-free survival (RFS) were assessed using survival analyses and multivariate Cox regression.

Results: The cohort had a median age of 60.5 years and a median follow-up of 72.3 months. Elevated NLR, PLR, SIRI, SII, and reduced LMR were associated with worse OS and RFS. On multivariate analysis, age > 64.5 years, higher tumor grade, NLR ≥ 2.93, and LMR < 3.67 independently predicted poorer OS.

Conclusions: Simple, routinely available preoperative inflammatory markers, particularly NLR and LMR, may serve as useful predictors of survival in RCC patients.

求助全文
通过发布文献求助,成功后即可免费获取论文全文。 去求助
来源期刊
BMC Urology
BMC Urology UROLOGY & NEPHROLOGY-
CiteScore
3.20
自引率
0.00%
发文量
177
审稿时长
>12 weeks
期刊介绍: BMC Urology is an open access journal publishing original peer-reviewed research articles in all aspects of the prevention, diagnosis and management of urological disorders, as well as related molecular genetics, pathophysiology, and epidemiology. The journal considers manuscripts in the following broad subject-specific sections of urology: Endourology and technology Epidemiology and health outcomes Pediatric urology Pre-clinical and basic research Reconstructive urology Sexual function and fertility Urological imaging Urological oncology Voiding dysfunction Case reports.
×
引用
GB/T 7714-2015
复制
MLA
复制
APA
复制
导出至
BibTeX EndNote RefMan NoteFirst NoteExpress
×
提示
您的信息不完整,为了账户安全,请先补充。
现在去补充
×
提示
您因"违规操作"
具体请查看互助需知
我知道了
×
提示
确定
请完成安全验证×
copy
已复制链接
快去分享给好友吧!
我知道了
右上角分享
点击右上角分享
0
联系我们:info@booksci.cn Book学术提供免费学术资源搜索服务,方便国内外学者检索中英文文献。致力于提供最便捷和优质的服务体验。 Copyright © 2023 布克学术 All rights reserved.
京ICP备2023020795号-1
ghs 京公网安备 11010802042870号
Book学术文献互助
Book学术文献互助群
群 号:604180095
Book学术官方微信