免疫检查点抑制剂与胸部放疗联合治疗后肺炎的危险因素

IF 2.8 3区 医学 Q2 RESPIRATORY SYSTEM
Yang Tang, Haifeng Yu, Siyu Guo, Yihan Yao, Jing Zhao, Binbin Zheng, Dang Wu, Yang Xia, Qichun Wei, Ting Zhang
{"title":"免疫检查点抑制剂与胸部放疗联合治疗后肺炎的危险因素","authors":"Yang Tang, Haifeng Yu, Siyu Guo, Yihan Yao, Jing Zhao, Binbin Zheng, Dang Wu, Yang Xia, Qichun Wei, Ting Zhang","doi":"10.1186/s12890-025-03871-y","DOIUrl":null,"url":null,"abstract":"<p><strong>Background: </strong>The combination of immune checkpoint inhibitors (ICIs) and thoracic radiotherapy (TRT) has played a significant role in the improvement of tumor therapy, but the increased incidence of pneumonitis has greatly limited its application. To identify potential intervention targets, we analyzed risk factors for pneumonitis after combination therapy with ICIs and TRT.</p><p><strong>Methods: </strong>Overall, 335 patients who received TRT and ICI therapy concurrently or sequentially were included in our study. Pneumonitis was assessed and the related factors were analyzed.</p><p><strong>Results: </strong>After combined TRT and ICI therapy, among the 335 patients, 219 (65.4%) patients had no pneumonitis or Grade 1 pneumonitis, 77 (23.0%) patients had Grade 2 pneumonitis, and 39 (11.6%) patients had Grade 3 or above pneumonitis. The incidence of Grade 2 or above pneumonitis was significantly related to the patients' age at diagnosis, sex, time interval and ipsilateral or bilateral lung dose‒volume parameters.</p><p><strong>Conclusion: </strong>We first showed that older, male patients are more likely to suffer from pneumonitis of Grade 2 and above. We also found that, numerically, patients who received ICIs before radiotherapy (RT) were more likely to have pneumonitis than those who received RT before ICIs. Moreover, a longer interval between treatments, lower mean lung dose (MLD) and smaller ipsilateral or bilateral lung dose‒volume parameters are correlated with a lower incidence of pneumonitis of Grade 2 or above.</p>","PeriodicalId":9148,"journal":{"name":"BMC Pulmonary Medicine","volume":"25 1","pages":"404"},"PeriodicalIF":2.8000,"publicationDate":"2025-08-25","publicationTypes":"Journal Article","fieldsOfStudy":null,"isOpenAccess":false,"openAccessPdf":"https://www.ncbi.nlm.nih.gov/pmc/articles/PMC12376604/pdf/","citationCount":"0","resultStr":"{\"title\":\"Risk factors for pneumonitis after the combination treatment of immune checkpoint inhibitors and thoracic radiotherapy.\",\"authors\":\"Yang Tang, Haifeng Yu, Siyu Guo, Yihan Yao, Jing Zhao, Binbin Zheng, Dang Wu, Yang Xia, Qichun Wei, Ting Zhang\",\"doi\":\"10.1186/s12890-025-03871-y\",\"DOIUrl\":null,\"url\":null,\"abstract\":\"<p><strong>Background: </strong>The combination of immune checkpoint inhibitors (ICIs) and thoracic radiotherapy (TRT) has played a significant role in the improvement of tumor therapy, but the increased incidence of pneumonitis has greatly limited its application. To identify potential intervention targets, we analyzed risk factors for pneumonitis after combination therapy with ICIs and TRT.</p><p><strong>Methods: </strong>Overall, 335 patients who received TRT and ICI therapy concurrently or sequentially were included in our study. Pneumonitis was assessed and the related factors were analyzed.</p><p><strong>Results: </strong>After combined TRT and ICI therapy, among the 335 patients, 219 (65.4%) patients had no pneumonitis or Grade 1 pneumonitis, 77 (23.0%) patients had Grade 2 pneumonitis, and 39 (11.6%) patients had Grade 3 or above pneumonitis. The incidence of Grade 2 or above pneumonitis was significantly related to the patients' age at diagnosis, sex, time interval and ipsilateral or bilateral lung dose‒volume parameters.</p><p><strong>Conclusion: </strong>We first showed that older, male patients are more likely to suffer from pneumonitis of Grade 2 and above. We also found that, numerically, patients who received ICIs before radiotherapy (RT) were more likely to have pneumonitis than those who received RT before ICIs. Moreover, a longer interval between treatments, lower mean lung dose (MLD) and smaller ipsilateral or bilateral lung dose‒volume parameters are correlated with a lower incidence of pneumonitis of Grade 2 or above.</p>\",\"PeriodicalId\":9148,\"journal\":{\"name\":\"BMC Pulmonary Medicine\",\"volume\":\"25 1\",\"pages\":\"404\"},\"PeriodicalIF\":2.8000,\"publicationDate\":\"2025-08-25\",\"publicationTypes\":\"Journal Article\",\"fieldsOfStudy\":null,\"isOpenAccess\":false,\"openAccessPdf\":\"https://www.ncbi.nlm.nih.gov/pmc/articles/PMC12376604/pdf/\",\"citationCount\":\"0\",\"resultStr\":null,\"platform\":\"Semanticscholar\",\"paperid\":null,\"PeriodicalName\":\"BMC Pulmonary Medicine\",\"FirstCategoryId\":\"3\",\"ListUrlMain\":\"https://doi.org/10.1186/s12890-025-03871-y\",\"RegionNum\":3,\"RegionCategory\":\"医学\",\"ArticlePicture\":[],\"TitleCN\":null,\"AbstractTextCN\":null,\"PMCID\":null,\"EPubDate\":\"\",\"PubModel\":\"\",\"JCR\":\"Q2\",\"JCRName\":\"RESPIRATORY SYSTEM\",\"Score\":null,\"Total\":0}","platform":"Semanticscholar","paperid":null,"PeriodicalName":"BMC Pulmonary Medicine","FirstCategoryId":"3","ListUrlMain":"https://doi.org/10.1186/s12890-025-03871-y","RegionNum":3,"RegionCategory":"医学","ArticlePicture":[],"TitleCN":null,"AbstractTextCN":null,"PMCID":null,"EPubDate":"","PubModel":"","JCR":"Q2","JCRName":"RESPIRATORY SYSTEM","Score":null,"Total":0}
引用次数: 0

摘要

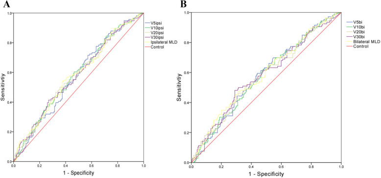
背景:免疫检查点抑制剂(ICIs)联合胸部放疗(TRT)在改善肿瘤治疗方面发挥了重要作用,但肺炎发病率的增加极大地限制了其应用。为了确定潜在的干预目标,我们分析了ICIs和TRT联合治疗后肺炎的危险因素。方法:本研究共纳入335例同时或先后接受TRT和ICI治疗的患者。评估肺炎并分析相关因素。结果:在335例患者中,经TRT联合ICI治疗后,219例(65.4%)患者无肺炎或1级肺炎,77例(23.0%)患者为2级肺炎,39例(11.6%)患者为3级及以上肺炎。2级及以上肺炎的发病率与患者的诊断年龄、性别、时间间隔、同侧或双侧肺剂量-容积参数有显著相关。结论:我们首先发现年龄较大的男性患者更容易患2级及以上肺炎。我们还发现,在数字上,在放疗(RT)前接受ICIs的患者比在ICIs前接受RT的患者更容易患肺炎。此外,较长的治疗间隔、较低的平均肺剂量(MLD)和较小的同侧或双侧肺剂量-体积参数与较低的2级或以上肺炎发病率相关。
本文章由计算机程序翻译,如有差异,请以英文原文为准。

Risk factors for pneumonitis after the combination treatment of immune checkpoint inhibitors and thoracic radiotherapy.

Risk factors for pneumonitis after the combination treatment of immune checkpoint inhibitors and thoracic radiotherapy.

Background: The combination of immune checkpoint inhibitors (ICIs) and thoracic radiotherapy (TRT) has played a significant role in the improvement of tumor therapy, but the increased incidence of pneumonitis has greatly limited its application. To identify potential intervention targets, we analyzed risk factors for pneumonitis after combination therapy with ICIs and TRT.

Methods: Overall, 335 patients who received TRT and ICI therapy concurrently or sequentially were included in our study. Pneumonitis was assessed and the related factors were analyzed.

Results: After combined TRT and ICI therapy, among the 335 patients, 219 (65.4%) patients had no pneumonitis or Grade 1 pneumonitis, 77 (23.0%) patients had Grade 2 pneumonitis, and 39 (11.6%) patients had Grade 3 or above pneumonitis. The incidence of Grade 2 or above pneumonitis was significantly related to the patients' age at diagnosis, sex, time interval and ipsilateral or bilateral lung dose‒volume parameters.

Conclusion: We first showed that older, male patients are more likely to suffer from pneumonitis of Grade 2 and above. We also found that, numerically, patients who received ICIs before radiotherapy (RT) were more likely to have pneumonitis than those who received RT before ICIs. Moreover, a longer interval between treatments, lower mean lung dose (MLD) and smaller ipsilateral or bilateral lung dose‒volume parameters are correlated with a lower incidence of pneumonitis of Grade 2 or above.

求助全文
通过发布文献求助,成功后即可免费获取论文全文。 去求助
来源期刊
BMC Pulmonary Medicine
BMC Pulmonary Medicine RESPIRATORY SYSTEM-
CiteScore
4.40
自引率
3.20%
发文量
423
审稿时长
6-12 weeks
期刊介绍: BMC Pulmonary Medicine is an open access, peer-reviewed journal that considers articles on all aspects of the prevention, diagnosis and management of pulmonary and associated disorders, as well as related molecular genetics, pathophysiology, and epidemiology.
×
引用
GB/T 7714-2015
复制
MLA
复制
APA
复制
导出至
BibTeX EndNote RefMan NoteFirst NoteExpress
×
提示
您的信息不完整,为了账户安全,请先补充。
现在去补充
×
提示
您因"违规操作"
具体请查看互助需知
我知道了
×
提示
确定
请完成安全验证×
copy
已复制链接
快去分享给好友吧!
我知道了
右上角分享
点击右上角分享
0
联系我们:info@booksci.cn Book学术提供免费学术资源搜索服务,方便国内外学者检索中英文文献。致力于提供最便捷和优质的服务体验。 Copyright © 2023 布克学术 All rights reserved.
京ICP备2023020795号-1
ghs 京公网安备 11010802042870号
Book学术文献互助
Book学术文献互助群
群 号:604180095
Book学术官方微信